聚酯降膜增黏反应过程模拟 |
| 陈世昌, 曹峻华, 陈文兴 |
|
Process simulation of falling film liquid-state polymerization of polyester |
| CHEN Shichang, CAO Junhua, CHEN Wenxing |
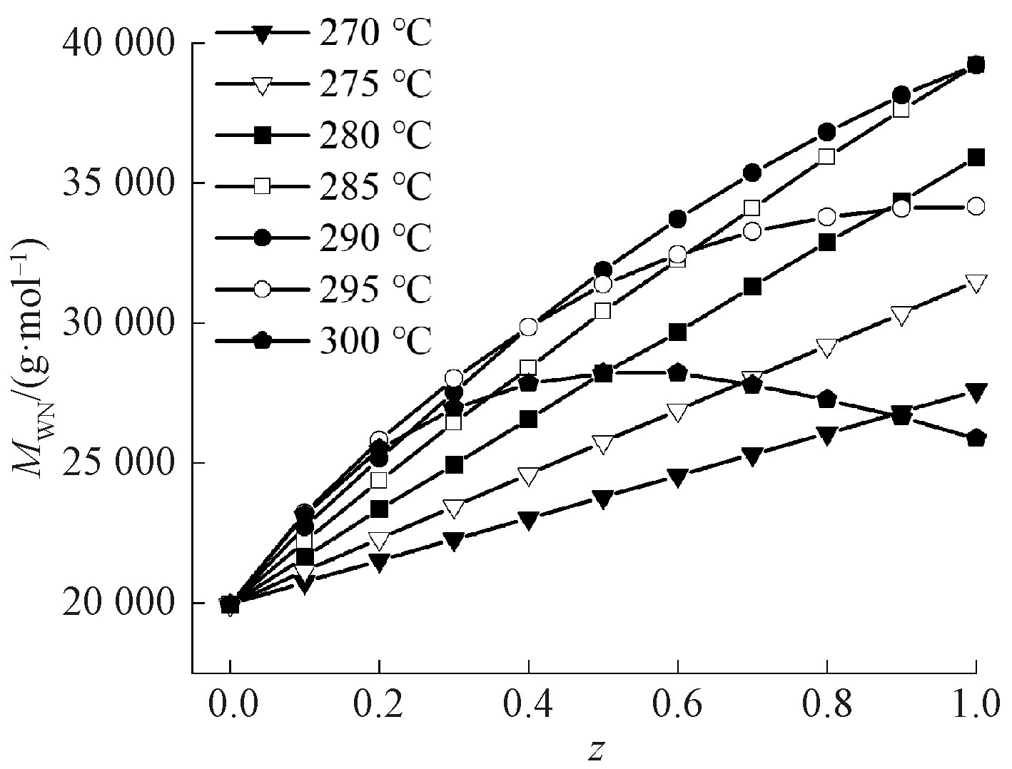
| 图5 聚合物数均分子量在不同温度下沿反应器轴向分布 |
| Fig.5 MWN distribution along reactor axis at different temperatures |
|