多孔磺化氢化苯乙烯-丁二烯嵌段共聚物纤维膜制备及其吸附性能 |
| 刘轲, 王雨曦, 程盼, 朱丽萍, 夏明, 梅涛, 向阳, 周丰, 高飞, 王栋 |
|
Preparation of porous sulfonated hydrogenated styrene-butadiene block copolymer fiber membrane and its adsorption performance for lysozyme |
| LIU Ke, WANG Yuxi, CHENG Pan, ZHU Liping, XIA Ming, MEI Tao, XIANG Yang, ZHOU Feng, GAO Fei, WANG Dong |
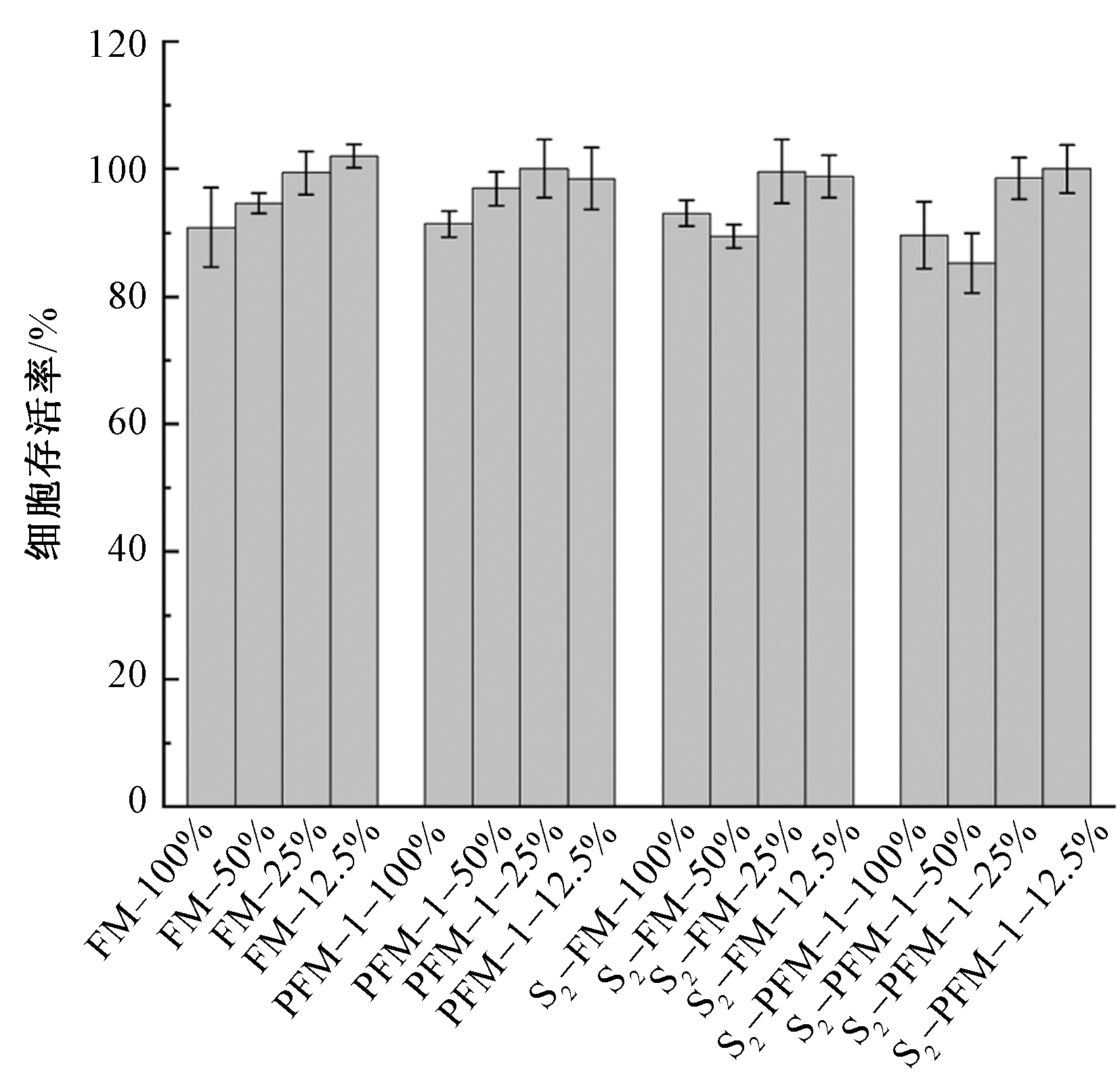
| 图10 不同体积分数浸取液试样的细胞存活率 |
| Fig.10 Cell viability rate of samples with different extract concentrations |
|