非对称结构聚四氟乙烯中空管式纤维膜的制备及油水分离性能 |
| 刘劲扬, 李成才, 朱海霖, 郭玉海, 姜学梁 |
|
Preparation and oil-water separation performance of asymmetric structure polytetrafluoroethene empty tube fiber membrane |
| LIU Jinyang, LI Chengcai, ZHU Hailin, GUO Yuhai, JIANG Xueliang |
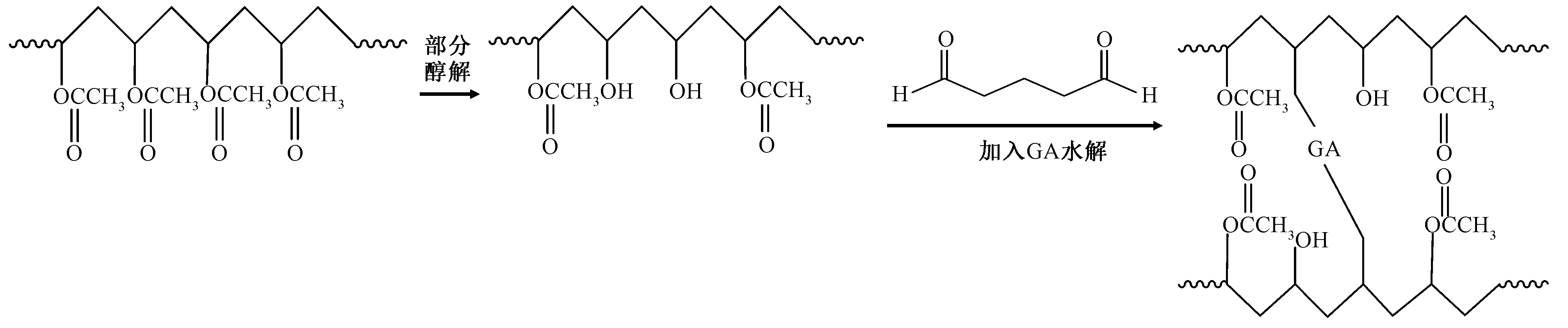
| 图2 亲水性非对称结构PTFE中空管式纤维膜制备机制 |
| Fig.2 Preparation mechanism of asymmetric PTFE empty tube fiber membrane in hydrophilic |
|