生物基与生物可降解口罩过滤材料的研究进展
孙玉发, 孙刚

Research progress in bio-based and biodegradable facemask filter materials
SUN Yufa, SUN Gang
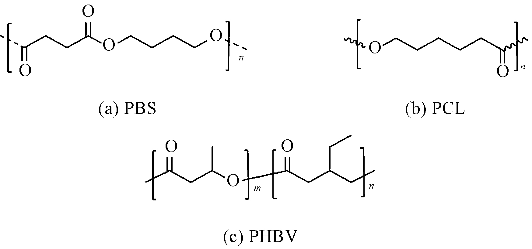
图3 常见的生物可降解聚合物
Fig.3 Chemical structures of common biodegradable polymers