纺织学报 ›› 2020, Vol. 41 ›› Issue (03): 51-55.doi: 10.13475/j.fzxb.20190300905

• 纺织工程 • 上一篇    下一篇

高速经编机上纱线张力的波动规律

孙帅, 缪旭红(), 张琦, 王瑾   

  1. 江南大学 教育部针织技术工程研究中心, 江苏 无锡 214122
  • 收稿日期:2019-03-04 修回日期:2019-12-06 出版日期:2020-03-15 发布日期:2020-03-27
  • 通讯作者: 缪旭红
  • 作者简介:孙帅(1992—),男,硕士生。主要研究方向为纺织材料与纺织品设计。
  • 基金资助:
    中央高校基本科研业务费专项资金-重点项目(JUSRP51727A)

Yarn tension fluctuation on high-speed warp knitting machine

SUN Shuai, MIAO Xuhong(), ZHANG Qi, WANG Jin   

  1. Engineering Research Center for Knitting Technology, Ministry of Education, Jiangnan University, Wuxi, Jiangsu 214122, China
  • Received:2019-03-04 Revised:2019-12-06 Online:2020-03-15 Published:2020-03-27
  • Contact: MIAO Xuhong

摘要:

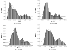
为更好地控制高速经编生产中的纱线张力,以HKS2-SE型高速经编机为实验平台,测量其在1 000~4 000 r/min时的纱线张力,并借助纱线张力的最大值、平均值及标准差对纱线张力水平进行评价,使用单周期纱线动态张力曲线、概率密度曲线、偏度与峰度对纱线张力分布、波动情况进行分析。结果表明:随着机速的提高,纱线张力的最大值、平均值、标准差逐渐降低,各纱线之间的张力差异逐渐下降,纱线整体织造张力水平降低,同时单个成圈周期张力主波峰的高度降低,纱线张力波动减弱;而机速过高或过低,纱线张力波动均有增大的趋势,机速在2 500~3 500 r/min时,张力分布曲线平均值附近数据分布较集中,纱线张力波动较为稳定。

关键词: 高速经编机, 纱线张力, 概率密度曲线, 张力分布曲线

Abstract:

In order to achieve better control over yarn tension during high speed warp knitting production, systematic experiments were carried out on HKS2-SE high speed warp knitting machine. Measuring the yarn tension under 1 000 r/min to 4 000 r/min, yarn tension levels were evaluated with the maximum, average and standard deviation. The dynamic tension curve, probability density curve, skewness and kurtosis of the single-cycle yarn were used to analyze the tension distribution and the fluctuation of the yarn tension. With the increase of machine speed, the maximum, average and standard deviation of yarn tension is found to decrease gradually, with the tension variation among the yarns becoming smaller and the overall yarn knitting tension declining. At the same time, it is witnessed that the height of the main wave peak of single cycle tension curve decreases with smaller fluctuation of yarn tension, while the fluctuation of yarn tension tends to increase when the machine speed is set too high or too low. When the machine speed is between 2 500 r/min and 3 500 r/min, the data distribution is closer to the average value of tension distribution curve, and the yarn tension become more stable.

Key words: high-speed warp knitting machine, yarn tension, probability density curve, tension distribution curve

中图分类号: 

  • TS184

图1

单个成圈周期的纱线张力波动曲线"

图2

不同速度下纱线张力评价指标"

图3

纱线动力学分析"

图4

不同机速概率密度曲线"

图5

纱线张力波动峰度和偏度"

[1] 张毅, 刘长伴. 纱线动态与静态断裂强力的比较分析[J]. 纺织学报, 2006,27(6):64-66.
ZHANG Yi, LIU Changban. The comparison of dynamic and static yarn breaking strength analysis[J]. Journal of Textile Research, 2006,27(6):64-66.
[2] 宗平生. 经编送经研究[J]. 针织工业, 1980(1):23-29.
ZONG Pingsheng. Warp let-off mechanism study[J]. Knitting Industries, 1980(1):23-29.
[3] PORAT I, GREENWOOD K, EREN R. Development of hybrid type warp let-off systems for weaving and warp knitting[J]. Indian Journal of Fibre & Textile Research, 1994,19(3):114-124.
[4] ROY A K, PORAT I, GROSBERG P. Reduction of within-cycle tension variations in warp-knitting[J]. Journal of The Textile Institute, 1995,86(4):682-689.
[5] MIKOłAJCZYK Z. Modeling of the knitting process with respect to the optimisation of the construction parameters of warp-knitting machines[J]. Fibers & Textiles in Eastern Europe, 2009,2(73):76-81.
[6] 冯勋伟. 经编机经纱张力分析及合理上机条件探讨[J]. 纺织学报, 1989,10(7):25-28.
FENG Xunwei. Analysis of the tension of warp knitting machine and its reasonable condition[J]. Journal of Textile Research, 1989,10(7):25-28.
[7] 胡瑜, 刘行, 缪旭红. 经编纱线动态张力评价指标[J]. 纺织学报, 2018,39(2):68-72.
HU Yu, LIU Xing, MIAO Xuhong. Dynamic tension evaluation index of warp knitting yarn[J]. Journal of Textile Research, 2018,39(2):68-72.
[8] LIU X, MIAO X. Analysis of yarn tension based on yarn demand variation on a tricot knitting machine[J]. Textile Research Journal, 2016,87(4):487-497.
[9] 戴斌. 随机振动的特征表述和测量[J]. 中国测试技术, 2004,30(6):43-44.
DAI Bin. Description and measurement of random vibration characteristics[J]. China Testing Technology, 2004,30(6):43-44.
[1] 徐云龙, 夏风林. 双针床经编机梳栉摆动对瞬时需纱量和纱线张力的影响[J]. 纺织学报, 2019, 40(06): 106-110.
[2] 孙帅 缪旭红 张灵婕 胡瑜. 经编纱线张力补偿装置的工作机制[J]. 纺织学报, 2018, 39(11): 140-144.
[3] 胡瑜 刘行 缪旭红. 经编纱线动态张力评价指标[J]. 纺织学报, 2018, 39(02): 68-72.
[4] 扈昕瞳 张玉井 孟婥 孙以泽. 编织锭子放线速度对纱线张力调控的建模与影响[J]. 纺织学报, 2017, 38(06): 111-117.
[5] 夏胜华 孙以泽 孟婥 任国斌 . 簇绒地毯织机提花装置的绕纱动态张力分析[J]. 纺织学报, 2015, 36(07): 136-141.
[6] 方园 夏凡甜 居婷婷. 基于UG的高速经编机槽针六连杆机构的建模[J]. 纺织学报, 2012, 33(12): 127-133.
[7] 丁彩红;唐军. 牵引罗拉稳定纱线张力的作用机制[J]. 纺织学报, 2010, 31(2): 110-114.
[8] 夏风林;葛明桥;蒋高明. 高速经编机梳栉横移运动的优化设计[J]. 纺织学报, 2009, 30(05): 118-121.
[9] 陈广锋;吴春晖;孙以泽;孙菁菁. 三圈高地毯簇绒机提花控制系统[J]. 纺织学报, 2008, 29(3): 113-117.
[10] MENG Jianjun孟建军. 高速经编机凸轮从动件运动规律的模糊综合评价[J]. 纺织学报, 2008, 29(12): 100-102.
[11] 庚在海;吴文英;陈瑞琪. 钢丝圈空间位置分析[J]. 纺织学报, 2006, 27(7): 37-39.
Viewed
Full text


Abstract

Cited

  Shared   
  Discussed   
No Suggested Reading articles found!