纺织学报 ›› 2021, Vol. 42 ›› Issue (11): 9-16.doi: 10.13475/j.fzxb.20210101008

• 纤维材料 • 上一篇    下一篇

含磷阻燃共聚酯的熔融增黏反应及其动力学

万苏影1, 包建娜1, 王滢1, 张先明1(), 陈世昌1, 杨志超2, 石教学2, 陈文兴1   

  1. 1.浙江理工大学 纺织纤维材料与加工技术国家地方联合工程试验室, 浙江 杭州 310018
    2.浙江古纤道绿色纤维有限公司, 浙江 绍兴 312000
  • 收稿日期:2021-01-07 修回日期:2021-04-14 出版日期:2021-11-15 发布日期:2021-11-29
  • 通讯作者: 张先明
  • 作者简介:万苏影(1995—),女,硕士生。主要研究方向为阻燃聚酯纤维材料。
  • 基金资助:
    浙江省重点研发计划项目(2020C01143);浙江省重点研发计划项目(2021C01020)

Melt polycondensation and kinetics of phosphorus containing flame retardant copolyesters

WAN Suying1, BAO Jianna1, WANG Ying1, ZHANG Xianming1(), CHEN Shichang1, YANG Zhichao2, SHI Jiaoxue2, CHEN Wenxing1   

  1. 1. National Engineering Laboratory for Textile Fiber Materials & Processing Technology, Zhejiang Sci-Tech University, Hangzhou, Zhejiang 310018, China
    2. Zhejiang Guxiandao Green Fiber Co., Ltd., Shaoxing, Zhejiang 312000, China
  • Received:2021-01-07 Revised:2021-04-14 Published:2021-11-15 Online:2021-11-29
  • Contact: ZHANG Xianming

摘要:

为分析高黏度含磷阻燃共聚酯熔融后增黏反应的影响因素,以2-羧乙基苯基次膦酸(CEPPA)为阻燃剂合成了系列含磷阻燃共聚酯切片,并进行熔融增黏反应,研究反应温度、反应时间及含磷阻燃剂质量分数对阻燃共聚酯增黏效果的影响。结果表明:阻燃单体可成功引入聚酯中;在一定温度范围内,含磷阻燃共聚酯的熔融缩聚增黏效果较好,当温度超过一定范围时降解反应加剧,增黏变得困难;阻燃剂添加量越高,共聚酯黏度增加越困难;缩聚反应动力学研究发现,含磷阻燃共聚酯的反应速率常数随温度的升高而增大,随阻燃剂添加量的增加而减小;反应活化能随阻燃剂添加量的增加而增大,最高达到114.73 kJ/mol;基于正交试验分析熔融增黏反应的影响因素由大到小为反应时间、阻燃剂添加量、反应温度。

关键词: 含磷共聚酯, 阻燃聚酯, 熔融缩聚, 反应动力学, 熔融增黏反应

Abstract:

In order to study the influencing factors for melt polycondensation of high-viscosity phosphorus containing flame retardant copolyesters, flame retardant copolyesters with different phosphorus contents were synthesized by melt-polycondensation with 2-carboxyethyl (phenyl)phosphinic acid (CEPPA) as flame retardant. The melt polycondensation was conducted, and the effects of temperature, time and addition amount of phosphorus-containing flame retardant on intrinsic viscosity of copolyesters were investigated. The results show that the flame retardant is added into polyester successfully. The viscosity of copolyesters is increased significantly within a certain temperature range. When the temperature increases further, the degradation reaction intensified making the increase of viscosity more difficult. The more the addition of flame retardant, the more difficult it is to increase the viscosity. By establishing the reaction kinetics model, it was found that the reaction rate constant of flame retardant copolyesters increases with the increase of temperature, and decreases with the increase of flame retardant content.The activation energy increases with the increase of flame retardant content, the highest reaches 114.73 kJ/mol. The factors for melt polycondensation are analyzed based on the orthogonal experiment. The important order was found to be the reaction time, addition amount of flame retardant and reaction temperature.

Key words: phosphorus containing copolyester, flame retardant polyester, melt polycondensation, reaction kinetics, melt viscosity increasing reaction

中图分类号: 

  • TQ342.92

图1

CEPPA-EG的预酯化反应"

图2

含磷阻燃共聚酯PECxT的合成路线"

图3

纯PET的核磁共振氢谱图"

图4

共聚酯PEC1T和PEC5T的核磁共振氢谱图"

图5

PET和含磷阻燃共聚酯的红外光谱图"

表1

PET和含磷阻燃共聚酯的性能参数"

试样 阻燃剂质
量分数/%
特性黏度/
(dL·g-1)
磷元素含量 端羧基含量/
(mol·t-1)
LOI
值/%
理论值 实际值
PET 0 0.66 0.00 0.00 12.0 22
PEC1T 1 0.54 1 447.00 1 389.79 14.3 28
PEC3T 3 0.57 4 343.00 4 265.10 28.9 32
PEC5T 5 0.55 7 238.00 7 186.09 37.2 36

图6

不同温度下PET和含磷阻燃共聚酯特性黏度与熔融增黏时间的关系"

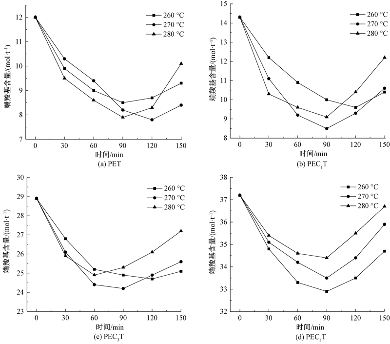
图7

不同温度下PET和含磷阻燃共聚酯端羧基含量与熔融增黏时间的关系"

图8

270 ℃条件下PET和含磷阻燃共聚酯的特性黏度与熔融增黏时间的关系"

图9

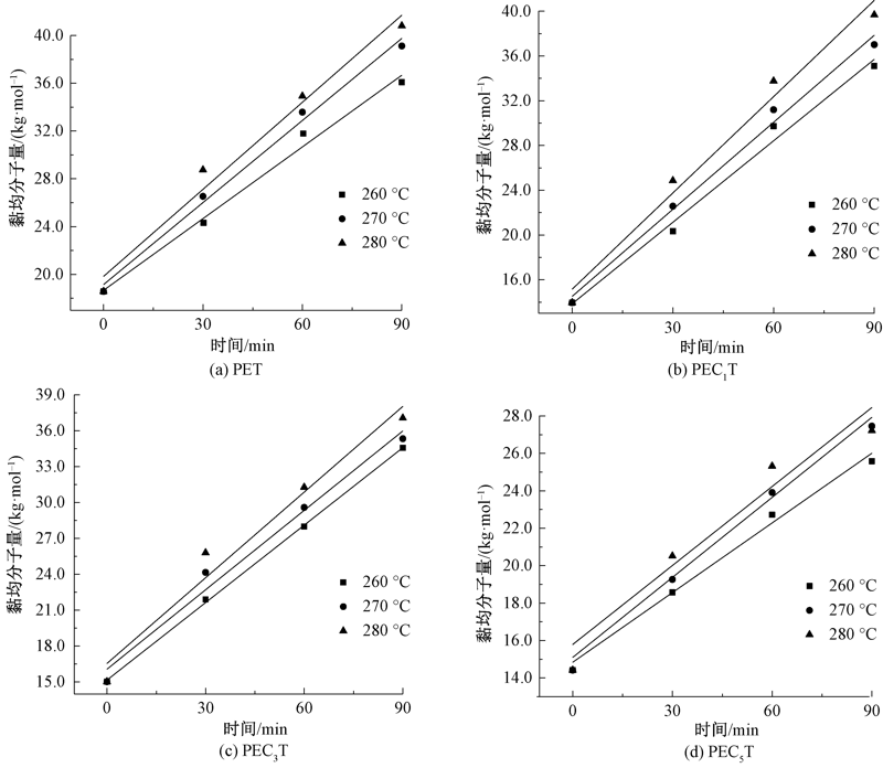
不同温度下PET和含磷阻燃共聚酯黏均分子量与时间的试验值与拟合曲线比较"

表2

PET和含磷阻燃共聚酯的反应速率常数k和活化能E"

试样 反应速率常数k/(g·mol-1·min-1) 活化能E/
(kJ·mol-1)
260 ℃ 270 ℃ 280 ℃
PET 125.79 155.33 206.69 74.83
PEC1T 101.39 133.22 179.71 81.48
PEC3T 88.54 114.08 159.12 104.17
PEC5T 64.86 94.38 148.03 114.73

表3

因素水平表"

水平 A
反应温度/℃
B
反应时间/min
C
阻燃剂质量分数/%
1 260 30 0
2 270 60 1
3 280 90 5

表4

正交试验极差分析结果"

试验号 A B C 特性黏度增长率/%
1 1 1 1 31.43
2 1 2 2 85.42
3 1 3 3 57.56
4 2 1 2 48.22
5 2 2 3 49.36
6 2 3 1 74.59
7 3 1 3 32.24
8 3 2 1 68.12
9 3 3 2 125.23
K1 174.41 111.89 174.14
K2 172.17 202.90 258.87
K3 225.59 257.38 139.16
极差 17.81 48.50 39.90
[1] 杨忠兵, 顾爱军, 张宇航. 阻燃聚酯的现状与展望[J]. 现代化工, 2012, 32(11):27-30.
YANG Zhongbing, GU Aijun, ZHANG Yuhang. Current status and prospects of flame retardant polyester[J]. Modern Chemical Industry, 2012, 32(11):27-30.
[2] SUJICAM Z, SMOLE M S. Structure-mechanical properties relationship of poly(ethylene terephthalate)fibers[J]. Journal of Applied Polymer Science, 2003, 89(12):3383-3389.
doi: 10.1002/(ISSN)1097-4628
[3] HORROCKSAR, KANDOLABK, DAVIESPJ. et al. evelopments in flame retardant textiles:a review[J]. Polymer Degradation Stability, 2005, 88(1):3-12.
doi: 10.1016/j.polymdegradstab.2003.10.024
[4] LEVCHIKS V, WEILE D. Flame retardancy of thermoplastic polyesters:a review of the recent literature[J]. Polymer International, 2005, 54(1):11-35.
doi: 10.1002/(ISSN)1097-0126
[5] 朱庆松, 王利生. 阻燃聚酯纤维的现状和发展[J]. 高分子材料科学与工程, 2000, 16(1):5-7.
ZHU Qingsong, WANG Lisheng. Development and present situation in the field of flame retarding polyester fibers[J]. Polymer Materials Science and Engineering, 2000, 16(1):5-7.
[6] VOUYIOUKA S N, KARAKATSANI E K, PAPASPYRIDES C D. Solid state polymerization[J]. Progress in Polymer Science, 2005, 30(1):10-37.
doi: 10.1016/j.progpolymsci.2004.11.001
[7] JAMES N R, RAMESHC, SIVARAMS. Development of structure and morphology during crystallization and solid state polymerization of polyester oligomers[J]. Macromolecular Chemistry & Physics, 2001, 202(7):1200-1206.
[8] 陈文兴, 马建平, 王建辉. 涤纶工业丝液相增黏技术的研发[J]. 合成纤维工业, 2013, 36(3):1-4.
CHEN Wenxing, MA Jianping, WANG Jianhui. Research of liquid-state polycondensation technology for polyester industrial yarn[J]. China Synthetic Fiber Industry, 2013, 36(3):1-4.
[9] JI H, GAN Y, KUMI A K, et al. Kinetic study on the synergistic effect between molecular weight and phosphorus content of flame retardant copolyesters in solid-state polymerization[J]. Journal of Applied Polymer Science, 2020, 137(38):1-10.
[10] LI Liangjie, DUAN Rongtao, ZHANG Junbo, et al. Phosphorus-containing poly(ethylene terephthalate): solid-state polymerization and its sequential distribution[J]. Industrial & Engineering Chemistry Research, 2013, 52(15):5326-5333.
doi: 10.1021/ie400224z
[11] KIM T Y, JABARINS A. Solid-state polymerization of poly(ethylene terephthalate): II: modeling study of the reaction kinetics and properties[J]. Journal of Applied Polymer Science, 2003, 89(1):213-227.
doi: 10.1002/(ISSN)1097-4628
[12] 汪洋, 吕晓龙, 武春瑞, 等. 高强度聚偏氟乙烯纤维的熔融纺丝法制备[J]. 纺织学报, 2015, 36(6):1-6.
WANG Yang, LÜ Xiaolong, WU Chunrui, et al. Melt spinning of poly(vinylidene fluoride) fibers with high strength[J]. Journal of Textile Research, 2015, 36(6):1-6.
doi: 10.1177/004051756603600101
[1] 关震宇, 周文乐, 张玉梅, 王华平. 基于钛镁催化剂合成瓶用聚酯的动力学研究[J]. 纺织学报, 2021, 42(03): 64-70.
[2] 靳琳琳, 田俊凯, 李家炜, 戚栋明, 沈晓炜, 邬春涛. 可降解聚羟基乙酸低聚物改性聚酯的合成及其性能[J]. 纺织学报, 2021, 42(01): 16-21.
[3] 肖琪, 王瑞, 孙红玉, 方纾, 李聃阳. 织物起毛起球机制的理论模型研究进展[J]. 纺织学报, 2020, 41(02): 172-178.
[4] 王访鹤, 王锐, 魏丽菲, 王照颖, 张安莹, 王德义. 层层自组装阻燃改性聚酯织物的制备及其性能[J]. 纺织学报, 2019, 40(11): 106-112.
[5] 陈咏, 王颖, 何峰, 王静, 朱志国, 董振峰, 王锐. 共聚型磷系阻燃聚酯聚合反应动力学及其性能[J]. 纺织学报, 2019, 40(10): 13-19.
[6] 娄佳慧 王锐 张文娟 董振峰 朱志国 张秀芹 刘继广. 有机钛-硅催化剂合成聚酯的动力学研究[J]. 纺织学报, 2018, 39(07): 1-7.
[7] 陈佑宁, 张知侠. 乙二醇改性聚乳酸的直接熔融聚合法合成及表征[J]. 纺织学报, 2012, 33(3): 14-17.
[8] 梁科文 王锐 朱志国 董振峰. 三聚氰胺氰尿酸盐对阻燃PET的影响[J]. 纺织学报, 2012, 33(11): 20-26.
[9] 郑玉婴;王灿耀. MC锦纶6/Kevlar纤维复合材料的反应动力学研究[J]. 纺织学报, 2009, 30(01): 9-12.
[10] 郭 静;徐德增;蔡月芬;宫玉梅. 磷系共聚阻燃聚酯的流变性能的研究[J]. 纺织学报, 2002, 23(02): 26-27.
[11] 黄次沛;邢惠妮. 在水溶液中腈纶偕胺肟化反应的研究[J]. 纺织学报, 2000, 21(02): 25-28.
Viewed
Full text


Abstract

Cited

  Shared   
  Discussed   
[1] 赵良臣;闻涛. 旋转组织设计的数学原理[J]. 纺织学报, 2003, 24(06): 33 -34 .
[2] 曹建达;顾小军;殷联甫. 用BP神经网络预测棉织物的手感[J]. 纺织学报, 2003, 24(06): 35 -36 .
[3] 【作者单位】:中国纺织工程学会秘书处【分类号】:+【DOI】:cnki:ISSN:0-.0.00-0-0【正文快照】:  香港桑麻基金会设立的“桑麻纺织科技奖” 0 0 年提名推荐工作;在纺织方面院士;专家和有关单位的大力支持下;收到了 个单位 (人 )推荐的 位候选人的. 2003年桑麻纺织科技奖获奖名单[J]. 纺织学报, 2003, 24(06): 107 .
[4] 【分类号】:Z【DOI】:cnki:ISSN:0-.0.00-0-0【正文快照】:  一;纺 纱模糊控制纺纱张力的研究周光茜等 ( - )………………原棉含杂与除杂效果评价方法的研究于永玲 ( - )……网络长丝纱免浆免捻功能的结构表征方法李栋高等 ( - )……………. 2003年纺织学报第二十四卷总目次[J]. 纺织学报, 2003, 24(06): 109 -620 .
[5] 朱敏;周翔. 准分子激光对聚合物材料的表面改性处理[J]. 纺织学报, 2004, 25(01): 1 -9 .
[6] 黄立新. Optim纤维及产品的开发与应用[J]. 纺织学报, 2004, 25(02): 101 -102 .
[7] 张治国;尹红;陈志荣. 纤维前处理用精练助剂研究进展[J]. 纺织学报, 2004, 25(02): 105 -107 .
[8] 秦元春. 纺织工业发展方向初探[J]. 纺织学报, 2004, 25(02): 108 -110 .
[9] 高伟江;魏文斌. 纺织业发展的战略取向——从比较优势到竞争优势[J]. 纺织学报, 2004, 25(02): 111 -113 .
[10] 姚玉元;陈文兴;张利;潘勇. 催化氧化型消臭蚕丝纤维的研究[J]. 纺织学报, 2004, 25(03): 7 -8 .