纺织学报 ›› 2023, Vol. 44 ›› Issue (05): 102-111.doi: 10.13475/j.fzxb.20220102101

• 纺织工程 • 上一篇    下一篇

用于呼吸监测的光纤传感织物制备及其性能

张美玲1, 赵美玲1, 张诚2,3(), 李志辉1, 孙政3, 赵晓雪3, 苗长云3, 王瑞1, 王占刚4   

  1. 1.天津工业大学 纺织科学与工程学院, 天津 300387
    2.天津市光电检测技术与系统重点实验室, 天津 300387
    3.天津工业大学 电子与信息工程学院, 天津 300387
    4.天津工业大学 软件学院, 天津 300387
  • 收稿日期:2022-01-12 修回日期:2022-04-08 出版日期:2023-05-15 发布日期:2023-06-09
  • 通讯作者: 张诚(1982—),男,教授,博士。主要研究方向为可穿戴人体信息检测技术与人工智能算法。E-mail:zhangcheng@tiangong.edu.cn。
  • 作者简介:张美玲(1976—),女,副教授,博士。主要研究方向为智能纺织品。
  • 基金资助:
    天津市“项目+团队”重点培养专项项目(XB202007);天津市技术创新引导资助项目(20YDTPJC01380);企业委托项目“香蕉纤维的萃取与结构性能研究”(2019-1200-24-001150)

Fabrication and properties of optical fiber sensing fabrics for respiratory monitoring

ZHANG Meiling1, ZHAO Meiling1, ZHANG Cheng2,3(), LI Zhihui1, SUN Zheng3, ZHAO Xiaoxue3, MIAO Changyun3, WANG Rui1, WANG Zhan'gang4   

  1. 1. School of Textile Science and Engineering, Tiangong University, Tianjin 300387, China
    2. Tianjin Key Laboratory of Optoelectronic Detection Technology and System, Tianjin 300387, China
    3. School of Electronic and Information Engineering, Tiangong University, Tianjin 300387, China
    4. School of Software, Tiangong University, Tianjin 300387, China
  • Received:2022-01-12 Revised:2022-04-08 Published:2023-05-15 Online:2023-06-09

摘要:

为开发一种基于光纤侧发光感光机制监测人体呼吸的传感织物,将直径500 μm的聚合物光纤为经纱织入织物,在光纤的侧面局部位置激光打标,形成发光和感光光纤。呼吸拉伸光纤的位移变化及感光光纤的光强改变,从而监测人体呼吸状态。研究了光纤打标距离、纬纱弹性、光纤间距和光纤根数对传感织物性能的影响,结果表明优化后传感织物的光强损耗度从13.14%提高到38.61%。在人体胸骨下方佩戴传感织物可以监测坐姿、站姿和行走下的平静呼吸信号,呼吸频率监测精度高(误差范围在1.2 次/min内),与面罩式呼吸监测仪性能相当。该光纤传感织物的制备工艺简单,灵敏度较高,可穿戴呼吸设备的舒适性高,有望在智能纺织品领域实现产业化。

关键词: 光纤, 呼吸监测, 传感织物, 发光感光结构, 机织, 可穿戴

Abstract:

Objective Respiration offers useful information for diagnosis and treatment of respiratory diseases, such as anesthetic sensitivity, sudden infant death syndrome, and obstructive sleep apnea syndrome. In this research, an optical fiber fabric for respiratory monitoring was designed based on the side luminous and photosensitive mechanism of the optical fibers for convenient, real-time and effective monitoring of respiration.

Method The 500 μm-diameter optical fibers were woven into the fabric as warp yarns, and laser marking was performed at the designated positions of the optical fibers to form luminous and photosensitive structures. Displacement in the optical fibers took place due to respiratory movement and the light intensity of photosensitive optical fiber was correspondingly altered, monitering the human respiratory state. The influences of optical fibers marking distance, weft elasticity, optical fibers spacing and optical fibers number on optical fiber respiratory sensing were studied.

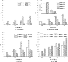
Results The effect of photocurrent signal fluctuation was more obvious when the optical fiber marking distance was 1 cm under the same stretching distance (Fig.4(a)). Under the same conditions, the elastic recovery rate decreated from polyester/spandex yarns, nylon-spandex core-spun yarns, high elastic nylon yarns to high elastic polyester yarns, with the elastic recovery rate of polyester/spandex yarns as the highest. When the fabrics were tensile loaded to make the same extension, the light intensity loss (γ) demonstrated an increase in the elastic recovery rate of weft yarns. For optical fiber respiratory sensing fabrics of different elasticities, the spacing between optical fibers for high elastic fabric changed obviously with the same fabric stretching distance, resulting in the largest light intensity attenuation. The nylon-spandex core-spun weft yarn with the highest elastic recovery rate was selected for further study, and its elastic recovery rate was 70%, which facilitated the tensile deformation of the fabric and obained preferable test results.Nylon-spandex core-spun weft yarn with 70% elastic recovery rate was selected for further study. With the increase of optical fiber spacing, the intensity loss increased and then decreased, and the optical fiber spacing of 4 warp yarns was adopted (Fig.4(c)). The intensity loss of fabrics with even optical fibers was lower than that with odd optical fibers (Fig.4(d)). In the former case the light intensity loss (γ) tended to increase with the increase of the number of optical fibers, and in the latter the situation was opposite. The light intensity loss (γ) of 5 optical fibers was as high as 38.61% with a stretch of 2 cm, and the effect was excellent. In summary, optical fiber respiratory sensing fabric was woven with 3 luminous fibers and 2 photosensitive fibers in intervals as warp yarns. The optical fiber spacing adopted 4 warp yarns. The weft yarns employed polyester-spandex core-spun with a high 70% elastic recovery rate, with the fabric warp density of 300 ends/(10 cm). The 4 cm fabric width and 1 cm optical fiber floating was employed with satin weave. The breathing amplitude in the standing was smaller compared to that of the sitting and walking states for the same position, because the human standing caused less body cavity undulation, and the optical fiber spacing change was less obvious (Fig.5).

Conclusion The result shows that the light intensity loss of the optimized sensing fabrics is improved from 13.14% to 38.61%. Hence, it can be concluded that the such made sensing fabrics can monitor the calm respiratory signals in sitting, standing and walking below the sternum of body, and the accuracy of the sensing fabric is high with the error range within 1.2 r/min, which is comparable to the performance of a mask respiratory monitor. The optical fiber respiratory sensing fabrics offer high sensitivity good comfort and can be achieved using the conventional technology, showing potentials for industrialization.

Key words: optical fiber, respiratory monitoring, sensing fabric, luminous and photosensitive structure, woven, wearable

中图分类号: 

  • TS194.4

图1

光纤传感织物的工作原理示意图"

图2

用于呼吸监测的光纤传感织物的设计与制备"

表1

光纤传感织物的影响因素分析"

因素 原因 水平
打标距离 改变光纤发光感光结构单元的面积 0.5、0.8、1.0、1.5 cm
纬纱弹性 纬纱的高回弹性可有效快速改变光纤间距 锦纶/氨纶包芯纱、涤纶/氨纶包芯纱、锦纶高弹丝、涤纶高弹丝
光纤间距 影响感光光纤的耦合能力 2、4、8、12根
光纤根数 影响光纤的发光与感光强度 2、3、4、5根

图3

光纤传感织物性能测试实验平台"

图4

不同参数下光纤传感织物的光强损耗度"

图5

光纤传感织物与面罩式呼吸监测仪采集的人体不同姿态下的呼吸波形图"

图6

光纤传感织物与面罩式呼吸监测仪监测的呼吸频率误差图"

[1] XU J, ZHOU Y, ZHANG C, et al. Development and evaluation of a respiratory monitoring smart garment based on notched optical fiber sensing fabric[J]. IEEE Sensors Journal, 2022, 22(15): 14892-14902.
doi: 10.1109/JSEN.2022.3186022
[2] ZHANG M, GUO N, GAO Q, et al. Design, characterization, and performance of woven fabric electrodes for electrocardiogram signal monitoring[J]. Sensors, 2022, 22(15): 5472.
doi: 10.3390/s22155472
[3] LIU H, ALLEN J, ZHENG D, et al. Recent development of respiratory rate measurement technologies[J]. Physiological Measurement, 2019, 40(7): 1-27.
[4] GANDEVIA S C, MCKENZIE D K. Respiratory rate: the neglected vital sign[J]. Medical Journal of Australia, 2008, 189(9): 532-532.
doi: 10.5694/j.1326-5377.2008.tb02165.x pmid: 19051387
[5] PARKES R. Rate of respiration: the forgotten vital sign[J]. Emergency Nurse, 2011, 19(2): 12-17.
doi: 10.7748/en.19.5.12.s5
[6] CARDOSO F S, KARVELLAS C J, KNETEMAN N M, et al. Respiratory rate at intensive care unit discharge after liver transplant is an independent risk factor for intensive care unit readmission within the same hospital stay a nested case-control study[J]. Journal of Critical Care, 2014, 29(5): 791-796.
doi: 10.1016/j.jcrc.2014.03.038
[7] MLGAARD R R, LARSEN P, HAKONSEN S J. Effectiveness of respiratory rates in determining clinical deterioration: a systematic review protocol[J]. JBI Database of Systematic Reviews and Implementation Reports, 2016, 14(7): 19-27.
doi: 10.11124/JBISRIR-2016-002973 pmid: 27532784
[8] HODGETTS T J, KENWARD G, VLACHONIKOLIS I G, et al. The identification of risk factors for cardiac arrest and formulation of activation criteria to alert a medical emergency team[J]. Resuscitation, 2002, 54(2): 125-131.
doi: 10.1016/s0300-9572(02)00100-4 pmid: 12161291
[9] MAHARAJ R, RAFFAELE I, WENDON J. Rapid response systems: a systematic review and meta-analysis[J]. Critical Care, 2015, 19: 254.
doi: 10.1186/s13054-015-0973-y pmid: 26070457
[10] PONIKOWSKI P, CHUA T P, ANKER S D, et al. Peripheral chemoreceptor hypersensitivity: an ominous sign in patients with chronic heart failure[J]. Circulation, 2001, 104(5): 544-549.
doi: 10.1161/hc3101.093699 pmid: 11479251
[11] PONIKOWSKI P, FRANCIS D P, PIEPOLI M F, et al. Enhanced ventilatory response to exercise in patients with chronic heart failure and preserved exercise tolerance: marker of abnormal cardiorespiratory reflex control and predictor of poor prognosis[J]. Circulation, 2001, 103(7): 967-972.
doi: 10.1161/01.cir.103.7.967 pmid: 11181471
[12] PONIKOWSKI P P, CHUA T P, FRANCIS D P, et al. Muscle ergoreceptor overactivity reflects deterioration in clinical status and cardiorespiratory reflex control in chronic heart failure[J]. Circulation, 2001, 104(19): 2324-2330.
doi: 10.1161/hc4401.098491 pmid: 11696473
[13] RAMBAUD-ALTHAUS C, ALTHAUS F, GENTON B, et al. Clinical features for diagnosis of pneumonia in children younger than 5 years: a systematic review and meta-analysis[J]. Lancet Infectious Diseases, 2015, 15(4): 439-450.
doi: 10.1016/S1473-3099(15)70017-4
[14] EGERMAYER P, TOWN G I, TURNER J G, et al. Usefulness of D-dimer, blood gas, and respiratory rate measurements for excluding pulmonary embolism[J]. Thorax, 1998, 53(10): 830-834.
pmid: 10193368
[15] GALLE C, PAPAZYAN J P, MIRON M J, et al. Prediction of pulmonary embolism extent by clinical findings, D-dimer level and deep vein thrombosis shown by ultrasound[J]. Thrombosis and Haemostasis, 2001, 86(5): 1156-1160.
pmid: 11816700
[16] JIME'NEZ D, LOBO J L, BARRIOS D, et al. Risk stratification of patients with acute symptomatic pulmonary embolism[J]. Internal and Emergency Medicine, 2016, 11(1): 11-18.
doi: 10.1007/s11739-015-1388-0 pmid: 26768476
[17] LEE C, WANG M. Ontology-based intelligent healthcare agent and its application to respiratory waveform recognition[J]. Expert Systems with Applications, 2007, 33(3): 606-619.
doi: 10.1016/j.eswa.2006.06.006
[18] MASSARONI C, SCHENA E, SILVESTRI S, et al. Comparison of two methods for estimating respiratory waveforms from videos without contact[C]. // IEEE International Symposium on Medical Measurements and Applications (IEEE MeMeA), 2019: 1-6.
[19] WITT J, NARBONNEAU F, SCHUKAR M, et al. Medical textiles with embedded fiber optic sensors for monitoring of respiratory movement[J]. IEEE Sensors Journal, 2012, 12(1): 246-254.
doi: 10.1109/JSEN.2011.2158416
[20] QUANDT B M, SCHERER L J, BOESEL L F, et al. Body-monitoring and health supervision by means of optical fiber-based sensing systems in medical textiles[J]. Advanced Healthcare Materials, 2015, 4(3): 330-335.
doi: 10.1002/adhm.201400463 pmid: 25358557
[21] FAN W, HE Q, MENG K, et al. Machine-knitted washable sensor array textile for precise epidermal physiological signal monitoring[J]. Science Advances, 2020. DOI: 10.1126/sciadv.aay2840.
doi: 10.1126/sciadv.aay2840
[22] LEE K P, YIP J, YICK K L, et al. Textile-based fiber optic sensors for health monitoring: a systematic and citation network analysis review[J]. Textile Research Journal, 2022, 92(15-16): 2922-2934.
doi: 10.1177/00405175211036206
[23] CHEN Z, LAU D, TEO J T, et al. Simultaneous measurement of breathing rate and heart rate using a microbend multimode fiber optic sensor[J]. Journal of Biomedical Optics, 2014. DOI: 10.1117/1.JBO.19.5.057001.
doi: 10.1117/1.JBO.19.5.057001
[24] ARNALDO G, DIAZ C A R, AVELLAR L M, et al. Polymer optical fiber sensors in healthcare applications: a comprehensive review[J]. Sensors, 2019, 19(14): 3156.
doi: 10.3390/s19143156
[25] WITT J, SCHUKAR M, KREBBER K. Medicinal textiles with integrated polymer-optical fibers for respiration monitoring[J]. TM-Technisches Messen, 2008, 75(12): 670-677.
doi: 10.1524/teme.2008.0905
[26] RANTALA J, HÄNNIKÄINEN J, VANHALA J. Fiber optic sensors for wearable applications[J]. Personal and Ubiquitous Computing, 2011, 15(1): 85-96.
doi: 10.1007/s00779-010-0303-y
[27] JONCKHEERE J D, NARBONNEAU F, JEANNE M, et al. OFSETH_ Smart medical textile for continuous monitoring of respiratory motions under magnetic resonance imaging[C]// 2009 Annual International Conference of the IEEE Engineering in Medicine and Biology Society. Minneapolis, MN, USA, 2009: 1473-1476.
[28] CIOCCHETTI M, MASSARONI C, SACCOMANDI P, et al. Smart textile based on fiber bragg grating sensors for respiratory monitoring: design and preliminary trials[J]. Biosensors, 2015, 5(3): 602-615.
doi: 10.3390/bios5030602 pmid: 26389961
[29] PRESTI D L, ROMANO C, MASSARONI C, et al. Cardio-respiratory monitoring in archery using a smart textile based on flexible fiber bragg grating sensors[J]. Sensors, 2019, 19(16): 3581.
doi: 10.3390/s19163581
[30] MARQUES C A F, WEBB D J, ANDRE P. Polymer optical fiber sensors in human life safety[J]. Optical Fiber Technology, 2017, 36: 144-154.
doi: 10.1016/j.yofte.2017.03.010
[31] ARNALDO G, LETICIA A, ANSELMO F, et al. Smart textiles for multimodal wearable sensing using highly stretchable multiplexed optical fiber system[J]. Scientific Reports, 2020, 10(1): 1-12.
doi: 10.1038/s41598-019-56847-4
[32] 杨昆, 王飞翔, 张诚. 宏弯光纤应变传感经编织物的设计[J]. 纺织学报, 2017, 38(8): 44-49.
YANG Kun, WANG Feixiang, ZHANG Cheng. Design of warp knitted strain sensing fabric based on optical macro-bending sensor[J]. Journal of Textile Research, 2017, 38(8): 44-49.
doi: 10.1177/004051756803800106
[33] 林文君, 缪旭红. 光导纤维在发光织物上的应用研究进展[J]. 纺织学报, 2021, 42(7): 169-174.
LIN Wenjun, MIAO Xuhong. Application research progress of optical fiber in luminescent fabrics[J]. Journal of Textile Research, 2021, 42(7): 169-174.
[34] YANG X, CHEN Z, ELVIN C S M, et al. Textile fiber optic microbend sensor used for heartbeat and respiration monitoring[J]. IEEE Sensors Journal, 2015, 15(2): 757-761.
doi: 10.1109/JSEN.2014.2353640
[35] GRILLET A, KINET D, WITT J, et al. Optical fiber sensors embedded into medical textiles for healthcare monitoring[J]. IEEE Sensors Journal, 2008, 8(7-8): 1215-1222.
doi: 10.1109/JSEN.2008.926518
[36] WITT J, STEFFEN M, SCHUKAR M, et al. Investigation of sensing properties of microstructured polymer optical fibres[C]// Conference on Photonic Crystal Fibers IV. Brussels, Belgium: SPIE Photonics Europe, 2010, 77140: 1-12.
[37] KREHEL M, SCHMID M, ROSSI R M, et al. An optical fibre-based sensor for respiratory monitoring[J]. Sensors, 2014, 14(7): 13088-13101.
doi: 10.3390/s140713088 pmid: 25051033
[38] ARIFIN A, AGUSTINA N, DEWANG S, et al. Polymer optical fiber-based respiratory sensors: various designs and implementations[J]. Journal of Sensors, 2019. DOI: 10.1155/2019/6970708.
doi: 10.1155/2019/6970708
[39] ZHENG W, TAO X, ZHU B, et al. Fabrication and evaluation of a notched polymer optical fiber fabric strain sensor and its application in human respiration monitoring[J]. Textile Research Journal, 2014, 84(17): 1791-1802.
doi: 10.1177/0040517514528560
[40] ARNALDO G, DíAZ C R, LEITãO C, et al. Polymer optical fiber-based sensor for simultaneous measurement of breath and heart rate under dynamic movements[J]. Optics and Laser Technology, 2019, 109: 429-436.
doi: 10.1016/j.optlastec.2018.08.036
[41] AHN D, PARK Y J, SHIN J D, et al. Plastic optical fiber respiration sensor based on in-fiber microholes[J]. Microwave and Optical Technology Letters, 2019, 61(1): 120-124.
doi: 10.1002/mop.31524
[42] KOYAMA Y, NISHIYAMA M, WATANABE K. Smart textile using hetero-core optical fiber for heartbeat and respiration monitoring[J]. IEEE Sensors Journal, 2018, 18(15): 6175-6180.
doi: 10.1109/JSEN.2018.2847333
[43] 方剑, 任松, 张传雄, 等. 智能可穿戴纺织品用电活性纤维材料[J]. 纺织学报, 2021, 42(9): 1-9.
FANG Jian, REN Song, ZHANG Chuanxiong, et al. Electroactive fibrous materials for intelligent wearable textiles[J]. Journal of Textile Research, 2021, 42(9): 1-9.
doi: 10.1177/004051757204200101
[44] 黄葆荷, 王金春, 杨斌. 织造对不同结构光纤织物侧发光性能的影响[J]. 纺织学报, 2013, 34(7) : 40-44.
HUANG Baohe, WANG Jinchun, YANG Bin. Effects of weaving process on side-glowing properties of polymer optical fiber fabrics with different structures[J]. Journal of Textile Research, 2013, 34(7): 40-44.
doi: 10.1177/004051756403400108
[45] 金瑞鹏. 光纤侧发光色度研究及混色模式产品开发[D]. 杭州: 浙江理工大学, 2014:27-30.
JIN Ruipeng. Research on chromaticity of fiber side light emission and product development of color mixing mode[D]. Hangzhou: Zhejiang Sci-Tech University, 2014:27-30.
[46] LIU Y, NORTON J J S, QAZI R, et al. Epidermal mechano-acoustic sensing electronics for cardiovascular diagnostics and human-machine interfaces[J]. Science Advances, 2016, 2(11): 1-12.
[1] 唐丽琴, 李彦, 毛吉富, 汪军, 王璐. 检测汗液用可穿戴电化学传感器的研究进展[J]. 纺织学报, 2023, 44(03): 221-230.
[2] 牛丽, 刘青, 陈超余, 蒋高明, 马丕波. 仿生鳞片针织结构自供能传感织物的制备及其性能[J]. 纺织学报, 2023, 44(02): 135-142.
[3] 段亚弟, 谢巍杰, 邱海鹏, 王晓猛, 王岭, 张典堂, 钱坤. 界面层对三维机织角联锁SiCf/SiC复合材料断裂韧性的影响[J]. 纺织学报, 2023, 44(01): 119-128.
[4] 应志平, 王伟青, 吴震宇, 胡旭东. 三维正交机织复合材料的冲后压缩性能[J]. 纺织学报, 2023, 44(01): 129-135.
[5] 施翔, 王臻, 彭慧胜. 织物显示器件的研究进展[J]. 纺织学报, 2023, 44(01): 21-29.
[6] 李沐芳, 陈佳鑫, 曾凡佳, 王栋. 间隔织物基光热-热电复合材料的制备及其性能[J]. 纺织学报, 2022, 43(10): 65-70.
[7] 王晨露, 马金星, 杨雅晴, 韩潇, 洪剑寒, 占海华, 杨施倩, 姚绍芳, 刘姜乔娜. 聚苯胺涂层经编织物的应变传感性能及其在呼吸监测中的应用[J]. 纺织学报, 2022, 43(08): 113-118.
[8] 刘欢欢, 王朝晖, 叶勤文, 陈子唯, 郑婧瑾. 可穿戴技术在情绪识别中的应用进展及发展趋势[J]. 纺织学报, 2022, 43(08): 197-205.
[9] 孙晓伦, 陈利, 张一帆, 李默涵. 开孔三维机织复合材料的拉伸性能[J]. 纺织学报, 2022, 43(08): 74-79.
[10] 贾雪飞, 庄毅, 唐毓婧, 李姗姗, 时文, 张雷, 刘明, 周江明. 层-层正交角联锁机织物及其复合材料的结构及其层切破坏机制研究[J]. 纺织学报, 2022, 43(07): 81-89.
[11] 聂文琪, 孙江东, 许帅, 郑贤宏, 徐珍珍. 柔性纺织纤维基超级电容器研究进展[J]. 纺织学报, 2022, 43(07): 200-206.
[12] 肖琪, 王瑞, 张淑洁, 孙红玉, 王静茹. 基于ABAQUS的涤/棉混纺机织物起球过程有限元仿真[J]. 纺织学报, 2022, 43(06): 70-78.
[13] 张爱琴, 郝佳程, 王芷, 王永超, 刘淑强, 董海亮, 贾虎生, 许并社. 键合型高分子荧光纤维的制备及其荧光增强机制[J]. 纺织学报, 2022, 43(03): 50-57.
[14] 魏小玲, 李瑞雪, 秦卓, 胡新荣, 林富生, 刘泠杉, 龚小舟. 经向T结构预制体成型关键技术[J]. 纺织学报, 2021, 42(11): 51-55.
[15] 虞茹芳, 洪兴华, 祝成炎, 金子敏, 万军民. 还原氧化石墨烯涂层织物的电加热性能[J]. 纺织学报, 2021, 42(10): 126-131.
Viewed
Full text


Abstract

Cited

  Shared   
  Discussed   
No Suggested Reading articles found!