纺织学报 ›› 2023, Vol. 44 ›› Issue (08): 18-25.doi: 10.13475/j.fzxb.20211201601

• 纤维材料 • 上一篇    下一篇

棉秆皮微晶纤维素/改性壳聚糖吸附纤维制备与性能

邵彦峥, 孙将皓, 魏春艳(), 吕丽华   

  1. 大连工业大学 纺织与材料工程学院, 辽宁 大连 116034
  • 收稿日期:2021-12-08 修回日期:2022-11-18 出版日期:2023-08-15 发布日期:2023-09-21
  • 通讯作者: 魏春艳(1965—),女,教授,硕士。主要研究方向为功能纤维与纺织品。E-mail:weicy@dlpu.edu.cn
  • 作者简介:邵彦峥(1996—),女,硕士生。主要研究方向为纺织品结构与功能材料。
  • 基金资助:
    辽宁省自然科学基金指导计划项目(2019-ZD-0295)

Preparation and properties of adsorption fiber made from cotton stalk bark microcrystalline cellulose/modified chitosan

SHAO Yanzheng, SUN Jianghao, WEI Chunyan(), LÜ Lihua   

  1. School of Textile and Material Engineering, Dalian Polytechnic University, Dalian, Liaoning 116034, China
  • Received:2021-12-08 Revised:2022-11-18 Published:2023-08-15 Online:2023-09-21

摘要:

为提高壳聚糖(CS)对阴离子染料刚果红的吸附性能,以尿素溶剂法低温溶解棉秆皮微晶纤维素(MCC)作为纺丝基体,以改性壳聚糖为分散吸附材料,经湿法纺丝和冷冻干燥制备棉秆皮微晶纤维素/改性壳聚糖(MCC/DCS)吸附纤维。通过正交试验方法优化壳聚糖改性工艺,利用单因素方法优化纺丝工艺,并对DSC粉末的化学结构、MCC/DCS吸附纤维形貌结构及其对刚果红染料吸附性能等进行测试与表征。结果表明:壳聚糖改性较优工艺为醋酸用量55 mL,2,5-二硫二脲用量0.6 g,壳聚糖用量1.0 g,甲醛用量8 mL;MCC/DCS纤维制备的较佳工艺为DCS添加量1.5 g, 纺丝凝固时间1 h时,MCC/DCS吸附纤维的吸附效果和力学性能均较好;当刚果红染液质量浓度为250 mg/L时,MCC/DCS纤维对刚果红染料达到最大吸附量,为96.03 mg/g。

关键词: 改性壳聚糖, 棉秆皮微晶纤维素, 吸附材料, 刚果红, 吸附动力学

Abstract:

Objective The pollution of dye wastewater to the environment seriously harms people's health and is also an important factor restricting the development of textile enterprises. The adsorption method is a promising one for dye wastewater treatment. Natural polymeric cellulose and chitosan are widely used as adsorption materials for wastewater treatment because of the advantages in large capacity for storage, good adsorption, non-toxicity and easy degradation. In this research, an cotton stalk microcrystalline cellulose/chitosan(MCC/CS) adsorption fiber was prepared for the adsorption of Congo Red.

Method Firstly, modified chitosan (DCS) was prepared by surface modification to CS with formaldehyde as crosslinking agent and 2,5-disulfide diurea as modifier, to improve their adsorption of Congo Red. The modified chitosan process was optimized by the orthogonal test method. Urea solvent method was used to dissolve MCC at low temperature as spinning matrix, DCS was added as insoluble dispersion adsorption material, composite fiber was prepared by wet spinning and freeze-drying, and the spinning process was optimized by the single factor method. Finally, the chemical structure of DCS was analyzed, the morphology and dye adsorption properties of MCC/DCS adsorbed fibers were tested and characterized.

Results The modification of CS was carried out successfully, where the new C=S characteristic absorption peaks at 1 209 cm-1appear and the absorption peak of -NH2 (2,5-dithiourea, DB) disappeared at 1 640 cm-1 in DCS infrared spectrum. The combination of conditions obtained by orthogonal test for preparation of DCS was optimized, where acetic acid dosage was 55 mL, DB dosage was 0.60 g, CS dosage was 1.0 g, and formaldehyde dosage was 8 mL. The modified chitosan increased the contents of N and S elements, and the changes were obvious. The pore size of the MCC/DCS was larger than the MCC adsorbent fibers, and the modification CS was more beneficial to the adsorption of Congo Red by adsorbent fibers. The fracture strength of MCC/DCS adsorption fiber decreased gradually with the increase of the amount of DCS in the fiber, while the linear density increased gradually because DCS is insoluble in alkaline solution. With the addition of DCS, the viscosity of the spinning solution decreased gradually. When the concentration of dye solution was 60 mg/L, the adsorption capacity of unmodified CS for Congo Red was 13.85 mg/g, and the DCS under optimal conditions was 17.63 mg/g, the adsorption capacity of DCS was increased by 27.29% compared with CS. At the same dye solution concentration, the adsorption capacity of MCC/DCS fiber was 49.55 mg/g, which was 47.82% higher than that of MCC/CS fiber 33.52 mg/g. The analysis of the influencing factors of adsorption performance showed that the adsorption capacity of MCC/DCS adsorption fiber for Congo Red decreased gradually with the increase of adsorption temperature. The adsorption capacity was increased with the adsorption time of MCC/DCS fiber and the change of the initial concentration of dye solution, and the adsorption equilibrium was reached when the concentration of dye solution was 250 mg/L. Ho kinetic model was suitable to simulate the adsorption process of DCS adsorption fibers. The adsorption thermodynamic analysis showed that the Langmuir model was suitable to simulate the adsorption process of DCS adsorbed fibers.

Conclusion CS was successfully modified with formaldehyde as crosslinking agent and 2, 5-dithiourea as modifier. The modification process of CS was optimized by orthogonal test, and the optimum process was obtained. The MCC was dissolved by urea dissolution system at low temperature as a spinning matrix, coated with DCS powder prepared by the optimized process. Adsorption experiment test results are as follows: when the concentration of dye solution was 60 mg/L, the average removal rate of MCC/DCS fiber Congo Red was 82.58%, and the average removal rate of MCC/CS fiber for Congo Red was 55.87%. The removal rate of MCC/DCS fiber was 47.82% higher than that of MCC/CS fiber, and the expected effect was achieved.

Key words: modified chitosan, cotton stalk bark microcrystalline cellulose, adsorption material, Congo Red, adsorption kinetics

中图分类号: 

  • TS102.2

表1

正交试验因素水平表"

水平 A
醋酸用量/mL
B
DB用量/g
C
壳聚糖用量/g
D
甲醛用量/mL
1 50 0.50 0.6 6
2 55 0.55 0.8 7
3 60 0.60 1.0 8

表2

正交试验设计和结果"

序号 A B C D 吸附量/(mg·g-1)
1 1 1 1 1 5.25
2 1 2 2 2 6.44
3 1 3 3 3 10.00
4 2 1 2 3 12.94
5 2 2 3 1 17.50
6 2 3 1 2 8.56
7 3 1 3 2 11.88
8 3 2 1 3 10.00
9 3 3 2 1 9.63
K1 21.69 30.07 23.81 32.38 较优水平
K2 39.00 33.94 29.01 26.88 A2B3C3D3
K3 31.51 28.19 39.38 32.94
Rj 17.31 5.75 15.57 6.06

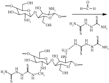
图1

壳聚糖改性机制"

图2

CS和DCS的傅里叶红外光谱图"

表3

壳聚糖和改性壳聚糖的元素分布质量百分比"

样品名称 C N O S
壳聚糖 50.54 9.24 40.04 0.18
改性壳聚糖 45.42 16.97 27.81 9.80

图3

CS和DCS的表面元素分布图"

图4

DCS用量对纤维断裂强度和线密度、吸附量的影响"

图5

凝固时间与断裂强度和线密度、吸附量的关系"

图6

MCC纤维和MCC/DCS吸附纤维的扫描电镜照片(×5 000)"

图7

吸附温度与MCC/DCS纤维对刚果红吸附量的关系"

图8

pH值与MCC/DCS纤维对刚果红吸附量的关系"

图9

刚果红染液初始质量浓度对MCC/DCS纤维吸附量的影响"

表4

吸附动力学拟合参数"

准一级动力学 准二级动力学 粒子内扩散动力学
K1 qe K2 qe a b
0.021 5 39.165 0.069 4.427 9.095 -9.628

图10

动力学模型模拟结果"

表5

吸附热力学拟合参数"

Langmuir热力学模型 Freundlich热力学模型
qm KL n KF
100 0.109 1.733 13.015

图11

热力学模型模拟结果"

[1] DHALLUIN M, RULL Barrull J, BRETEL G, et al. Chemically modified cellulose filter paper for heavy metal remediation in water[J]. ACS Sustainable Chemistry, 2017, 5(2):1965-1973.
[2] PENG W, LI H, LIU Y, et al. A review on heavy metal ions adsorption from water by graphene oxide and its composites[J]. Journal of Molecular Liquids, 2017, 230:496-504.
doi: 10.1016/j.molliq.2017.01.064
[3] 高鹤, 梁大鑫, 李坚. 纤维素气凝胶材料研究进展[J]. 科技导报, 2016, 34(19):138-142.
GAO He, LIANG Daxin, LI Jian. Research progress of cellulose aerogels[J]. Science & Technology Review, 2016, 34(19):138-142.
[4] 马浩, 郑长青, 李毅群. 纤维素/壳聚糖复合膜的制备及结构表征[J]. 纤维素科学与技术, 2010(2):33-37,48.
MA Hao, ZHENG Changqing, LI Yiqun. Preparation and structure characterization of cellulose/chitosan composite membrane[J]. Cellulose Science and Technology, 2010(2):33-37,48.
[5] 杨海静, 魏立纲, 李坤兰, 等. [BMIM]Cl离子液体中壳聚糖/纤维素纤维的制备与性能[J]. 高分子材料科学与工程, 2011, 27(6):154-157.
YANG Haijing, WEI Ligang, LI Kunlan, et al. Preparation and properties of chitosan/cellulose fibers in [BMIM] ionic liquid[J]. Polymer Materials Science and Engineering, 2011, 27(6):154.
[6] 段先泉. 纤维素/壳聚糖在离子液体中的溶解与纺丝研究[D]. 广州: 华南理工大学, 2012:1-29.
DUAN Xianquan. Study on dissolution and spinning of cellulose/chitosan in ionic liquid[D]. Guangzhou: South China University of Technology, 2012:1-29.
[7] 李冰洁. 壳聚糖/纤维素复合微球的制备及其吸附性能的研究[D]. 广州: 华南理工大学, 2014:1-5.
LI Bingjie. Preparation and adsorption properties of chitosan/cellulose composite microspheres[D]. Guangzhou: South China University of Technology, 2014:1-5.
[8] WANG J, MA R, LI L, et al. Chitosan modified molybdenum disulfide composites as adsorbents for the simultaneous removal of U(Ⅵ),Eu(Ⅲ),and Cr(Ⅵ) from aqueous solutions[J]. Cellulose, 2020, 27:1635-1648.
doi: 10.1007/s10570-019-02885-0
[9] DINH V P, NGUYEN M D, NGUYEN Q H, et al. Chitosan-MnO2 nanocomposite for effective removal of Cr(Ⅵ) from aqueous solution[J]. Chemosphere, 2020, 257:127-147.
[10] 狄婧, 刘海霞, 姜永强, 等. 聚吡咯/壳聚糖复合膜的制备及其对Cu(Ⅱ)和Cr(Ⅵ)吸附机制[J]. 复合材料学报, 2021, 38 (1):221-231.
DI Jing, LIU Haixia, JIANG Yongqiang, et al. Preparation of polypyrrole/chitosan composite membrane and its adsorption mechanism for Cu(Ⅱ) and Cr(Ⅵ)[J]. Acta Materiae Compositae Sinica, 2021, 38(1):221-231.
[11] 李阵群, 孔令训, 王迎, 等. 改性棉秆皮微晶纤维素纤维的制备及其吸附性能[J]. 印染助剂, 2020, 37(3):31-36.
LI Zhenqun, KONG Lingxun, WANG Ying, et al. Preparation and adsorption properties of modified cotton stem bark microcrystalline cellulose fibers[J]. Printing and Dyeing Auxiliaries, 2020, 37(3):31-36.
[12] 曾蕾, 汪德莲, 胡俐萍, 等. 阴离子染料在壳聚糖上的吸附[J]. 北华大学学报(自然科学版), 2009, 10(6):490-493.
ZENG Lei, WANG Delian, HU Liping, et al. Absorption of Anionic Dyes on the Chitin[J]. Journal of Beihua University (Natural Science Edition), 2009, 10(6):490-493.
[1] 谷金峻, 魏春艳, 郭紫阳, 吕丽华, 白晋, 赵航慧妍. 棉秆皮微晶纤维素/改性氧化石墨烯阻燃纤维的制备及其性能[J]. 纺织学报, 2024, 45(01): 39-47.
[2] 贾艳梅, 于学智. 柞叶染料对柞蚕丝织物的染色及其吸附动力学研究[J]. 纺织学报, 2023, 44(03): 119-125.
[3] 陶旭晨, 李林, 徐珍珍. 杯芳烃/还原氧化石墨烯纤维的制备及其选择性吸附性能[J]. 纺织学报, 2022, 43(03): 64-70.
[4] 魏娜娜, 刘碟, 马政, 焦晨璐. 纤维素/壳聚糖磁性气凝胶的冻融法制备及其对染料吸附性能[J]. 纺织学报, 2022, 43(02): 53-60.
[5] 王建坤, 蒋晓东, 郭晶, 杨连贺. 功能化氧化石墨烯吸附材料的研究进展[J]. 纺织学报, 2020, 41(04): 167-173.
[6] 陶旭晨, 李林. 选择性吸附Pt(Ⅳ)的杯芳烃纤维制备及其吸附动力学[J]. 纺织学报, 2019, 40(03): 20-25.
[7] 高慧英 蒙冉菊 华佳瑞 邵碧琼 刘琳 姚菊明. 改性废棉对水溶液中Cu2+的吸附性能[J]. 纺织学报, 2017, 38(12): 112-118.
[8] 方芳芳 侯秀良 代雅轩 杨麦萍. 高粱壳色素上染毛织物的动力学和热力学[J]. 纺织学报, 2015, 36(03): 70-75.
[9] 董静 黄建骅 程岚 冉瑞龙 张同华 吴大洋. 改性棕榈纤维活性炭对活性染料的吸附性能[J]. 纺织学报, 2014, 35(5): 72-0.
[10] 王成芳 封严 赵健. 共聚甲基丙烯酸酯纤维对三氯乙烯的吸附动力学及热力学[J]. 纺织学报, 2013, 34(8): 12-0.
[11] 陈程 张光先 张凤秀 张袁松. 双辛基二甲基溴化铵对活性染料在丝绸上的促染[J]. 纺织学报, 2013, 34(12): 60-0.
[12] 王玉环, 王建庆, 张玉, 曹佃元, 李戎. 热改性凹凸棒粘土的吸附热力学和动力学研究[J]. 纺织学报, 2012, 33(5): 95-100.
[13] 李双江;沈茂;吴琦;单志;陈惠. 磁响应酵母对直接黄R染料的吸附动力学研究[J]. 纺织学报, 2011, 32(2): 73-78.
[14] 徐超武;朱新生. 超细聚苯乙烯磺酸钠颗粒的吸附性能[J]. 纺织学报, 2008, 29(10): 21-24.
Viewed
Full text


Abstract

Cited

  Shared   
  Discussed   
No Suggested Reading articles found!