Journal of Textile Research ›› 2021, Vol. 42 ›› Issue (08): 57-63.doi: 10. 13475/j.fzxb.20200809007

• Fiber Materials • Previous Articles     Next Articles

Preparation and electrochemical properties of cobalt-based hierarchical porous composite carbon materials

YE Chengwei1, WANG Yi1, XU Lan1,2()   

  1. 1. College of Textile and Clothing Engineering, Soochow University, Suzhou, Jiangsu 215123, China
    2. National Engineering Laboratory for Modern Silk, Soochow University, Suzhou, Jiangsu 215123, China
  • Received:2020-08-24 Revised:2021-04-06 Online:2021-08-15 Published:2021-08-24
  • Contact: XU Lan E-mail:lanxu@suda.edu.cn

Abstract:

In this research, carbon materials with high specific surface areas and hierarchical porous structures were prepared to improve the charge storage capacity of the electrode. Electrospinning technology was used to combine the cobalt metal organic framework materials (ZIF-67) with polyacrylonitrile (PAN)/polymethacrylate (PMMA) for fabricating the composite nanofiber membranes. Then the cobalt-based hierarchical porous composite carbon materials were obtained by high-temperature carbonization, and their characterization of structure and electrochemical performance were carried out. The effects of ZIF-67 loading amounts on the structure and performance of the electrode materials were explored. The results showed that the composite carbon materials loaded ZIF-67 had higher specific surface areas and richer mesoporous structures than a single carbon material. When the loading of ZIF-67 relative to PMMA was 10%, the specific surface area was 259.814 m2/g, the proportion of mesopores was 68.8%, and the specific capacitance could reach 151 F/g at a current density of 1 A/g, which was 3 times of the PAN/PMMA carbon material without ZIF-67. Moreover, its specific capacitance retention rate reached 84.8% after 2 000 cycles.

Key words: electrostatic spinning, metal organic framework, hierarchical porous material, electrode material, specific capacitance, supercapacitor

CLC Number: 

  • TS131.9

Fig.1

Microstructure of ZIF-67 and Co/CNFs-10 samples. (a)SEM image of ZIF-67; (b)TEM image of Co/CNFs-10"

Fig.2

Morphology of fibers with different ZIF-67 adhesion before and after carbonization"

Tab.1

Elemental relative content of Co/CNFs-X composite carbon materials%"

样品编号 C N O Co
Co/CNFs-0 82.307 11.305 6.388
Co/CNFs-10 75.908 6.696 9.521 7.878
Co/CNFs-20 68.003 4.325 6.796 20.876
Co/CNFs-30 65.450 0.838 4.756 28.956
Co/CNFs-40 63.570 0.526 3.643 32.261
Co/CNFs-50 60.774 0.345 2.429 36.452

Fig.3

XRD diagram of Co/CNFs-X composite carbon materials"

Fig.4

N2 adsorption-desorption isotherm of Co/CNFs-X composite cabron materials"

Fig.5

Pore size distribution of Co/CNFs-X composite carbon materials"

Tab.2

Pore structure test result of Co/CNFs-X composite carbon materials"

样品
编号
比表面积/
(m2·g-1)
孔容积/(cm3·g-1) 孔占比/%
总孔 微孔 中孔 微孔 中孔
Co/CNFs-0 185.889 0.284 0.119 0.146 41.90 51.40
Co/CNFs-10 259.814 0.183 0.043 0.126 23.49 68.80
Co/CNFs-20 233.830 0.162 0.062 0.091 38.27 56.17
Co/CNFs-30 120.782 0.192 0.042 0.139 21.87 72.39
Co/CNFs-40 75.757 0.158 0.041 0.108 25.95 68.35
Co/CNFs-50 400.270 0.258 0.069 0.176 26.74 68.22

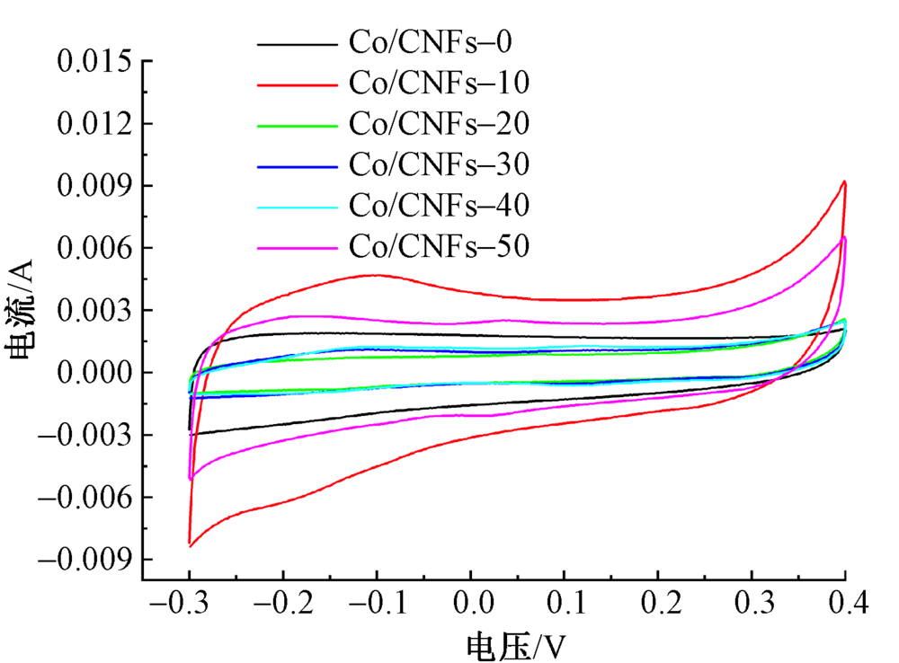
Fig.6

CV curves of Co/CNFs-X electrode materials at 5 mV/s sweep"

Fig.7

GCD curves of Co/CNFs-X at 1 A/g current density"

Fig.8

Co/CNFs-X electrode materials specific capacitance under different current densities"

Fig.9

Recycling curve of Co/CNFs-10 electrode materials at 1.0 A/g current density"

[1] 丰骏, 朱云松, 丁晓峰. 浅析超级电容器的应用及发展趋势[J]. 山东工业技术, 2018(24):176.
FENG Jun, ZHU Yunsong, DING Xiaofeng. Brief analysis on the application and development trend of the supercapacitor[J]. Journal of Shandong Industrial Technology, 2018(24):176.
[2] MILLER J R, SIMON P. Electrochemical capacitors for energy management[J]. Science Magazine, 2008, 321(5889):651-652.
[3] LI X, CHEN Y, HUANG H, et al. Electrospun carbon based nanostructured electrodes for advanced energy storage: a review[J]. Energy Storage Materials, 2016, 5:58-92.
doi: 10.1016/j.ensm.2016.06.002
[4] KIM B H, YANG K S. Enhanced electrical capacitance of porous carbon nanofibers derived from polyacry lonitrile and boron trioxide[J]. Electrochimica Acta, 2013, 88(2):597-603.
doi: 10.1016/j.electacta.2012.10.123
[5] CHEN Y, LI X, ZHOU X, et al. Hollow-tunneled graphitic carbon nanofibers through Ni-diffusion induced graphitization as high-performance anode materials[J]. Energy & Environmental Science, 2014, 7(8):2689-2696.
[6] YAN X, TAI Z, CHEN J, et al. Fabrication of carbon nanofiber polyaniline composite flexible paper for super-capacitor[J]. Nanoscale, 2011, 3(1):212-216.
doi: 10.1039/C0NR00470G
[7] LU Y, FU K, ZHANG S, et al. Centrifugal spinning: a novel approach to fabricate porous carbon fibers as binder-free electrodes for electric double-layer capa- citors[J]. Journal of Power Sources, 2015, 273:502-510.
doi: 10.1016/j.jpowsour.2014.09.130
[8] 汪满意, 张晓超, 王燕萍, 等. 聚丙烯腈基中空碳纤维的制备及电化学性能研究[J]. 材料导报, 2014, 28(8):42-45.
WANG Manyi, ZHANG Xiaochao, WANG Yanping, et al. Study on preparation and electrochemical properties of polypropylene-based hollow carbon fibre[J]. Materials Reports, 2014, 28(8):42-45.
[9] ZHU Y, MURALI S, STOLLER M D, et al. Carbon-based supercapacitors produced by activation graph-ene[J]. Science, 2011, 332(6037):1537-1541.
doi: 10.1126/science.1200770
[10] MAO Y, LI G, GUO Y, et al. Foldable interpenetrated metal-organic frameworks/carbon nanotubes thin film for lithium-sulfur batteries[J]. Nature Communications, 2017, 8:14628.
doi: 10.1038/ncomms14628
[11] 苏薇薇, 李英琳, 徐磊. 分级多孔聚丙烯腈/聚甲基丙烯酸甲酯纳米碳纤维的制备及结构研究[J]. 化工新型材料, 2017, 45(12):100-102.
SU Weiwei, LI Yinglin, XU Lei. Preparation and structural study of the graded porous polyacrylonitrile polymethy lacrylate nano-carbon fiber[J]. New Chemical Materials, 2017, 45(12):100-102.
[12] WU H B, WEI S, ZHANG L, et al. Embedding sulfur in MOF-derived microporous carbon polyhedrons for lithium-sulfur batteries[J]. Chemistry-A European Journal, 2013, 19(33):10804-10808.
doi: 10.1002/chem.201301689
[13] GUO J X, GHEN B L, HAO Q, et al. Pod-like structured Co/CoOx nitrogen-doped carbon fibers as efficient oxygen reduction reaction electrocatalysts for Zn-air battery[J]. Applied Surface Science, 2018, 5(21):959-966.
[14] ZHONG M, KIM E K, MCGANN J P, et al. Electrochemically active nitrogen enriched nanocarbons with well defined morphology synthesied by pyrolysis of selfassembled block copolymer[J]. Journal of American Chemical Society, 2012, 134(36):14846-14857.
doi: 10.1021/ja304352n
[15] LAURILA E, THUNBERG J, ARGENT S P, et al. Enhanced synjournal of metal-organic frame-works on the surface of electrospun cellulose nanofibers[J]. Advanced Engineering Materials, 2015, 17(9):1282-1286.
doi: 10.1002/adem.v17.9
[1] WANG He, WANG Hongjie, RUAN Fangtao, FENG Quan. Preparation and properties of carbon nanofiber electrode made from electrospun polyacrylonitrile/linear phenolic resin [J]. Journal of Textile Research, 2021, 42(01): 22-29.
[2] WANG Jilong, LIU Yan, JING Yuanyuan, XU Qingli, QIAN Xiangyu, ZHANG Yihong, ZHANG Kun. Advances in fiber-based wearable electronic devices [J]. Journal of Textile Research, 2020, 41(12): 157-165.
[3] WANG Bo, FAN Lihua, YUAN Yun, YIN Yunjie, WANG Chaoxia. Preparation and electric storage performance of stretchable polypyrrole/cotton knitted fabric [J]. Journal of Textile Research, 2020, 41(10): 101-106.
[4] ZHAO Yinghui, GU Yingchun, HU Fei, LIN Jiayou, YE Lanlin, LI Jingjing, CHEN Sheng. Progress review on research of aromatic polyamide nanofiber composites [J]. Journal of Textile Research, 2020, 41(01): 184-189.
[5] YANG Jing, LIU Yanjun. Preparation and properties of graphene-knitted electrode materials [J]. Journal of Textile Research, 2019, 40(03): 90-95.
[6] CHEN Yue, ZHAO Yonghuan, CHU Zhudan, ZHUANG Zhishan, QIU Linlin, DU Pingfan. Research progress of flexible lithium battery electrodes based on carbon fibers and their fabrics [J]. Journal of Textile Research, 2019, 40(02): 173-180.
[7] . Preparation and properties of electrospun polyacrylonitrile / copper sulfate nanofibrous membrane [J]. JOURNAL OF TEXTILE RESEARCH, 2018, 39(07): 15-20.
[8] . Preparation and properties of laminated nanofiber-based separator with over-temperature protection function [J]. JOURNAL OF TEXTILE RESEARCH, 2018, 39(07): 21-26.
[9] . Preparation of ploy(vinylidene fluoride) /conductive TiO2 composite fiber piezoelectric membrane [J]. JOURNAL OF TEXTILE RESEARCH, 2017, 38(06): 6-10.
[10] . Preapration and characterization of photodynamic antimicrobial poly(methyl mecthacrylate-co-methacrylic acid) electrospun nanofibrous membrane [J]. JOURNAL OF TEXTILE RESEARCH, 2017, 38(02): 1-6.
[11] . Preparation and performance of cellulose lauric acid esters/polyethylene glycal grafted copolymer fibers [J]. Journal of Textile Research, 2016, 37(4): 7-14.
[12] . Water resistance of β-cyclodextrin/polyacrylate nanofiber films and their supramolecular capturing performance for heavy metal ions [J]. JOURNAL OF TEXTILE RESEARCH, 2016, 37(09): 1-5.
[13] . Preparation and application of carbon-coated tin antmony alloy nanofibers [J]. Journal of Textile Research, 2015, 36(03): 1-5.
[14] . Preparation,characterization and capacitive capability of carbon-based composite nanofibers [J]. JOURNAL OF TEXTILE RESEARCH, 2014, 35(1): 20-0.
[15] ZHONG Zhi-li;WANG Xun-gai. Application prospect of nanofibers [J]. JOURNAL OF TEXTILE RESEARCH, 2006, 27(1): 107-110.
Viewed
Full text


Abstract

Cited

  Shared   
  Discussed   
No Suggested Reading articles found!