Journal of Textile Research ›› 2019, Vol. 40 ›› Issue (02): 105-113.doi: 10.13475/j.fzxb.20181101509

• Textile Engineering • Previous Articles     Next Articles

Using fuzzy comprehensive evaluation method to classify fabrics for coolness level

CHU Xinxin1, XIAO Hong2(), FAN Jie1   

  1. 1. School of Textile Science and Engineering, Tianjin Polytechnic University, Tianjin 300387, China
    2. The Institute of Quartermaster Engineering and Technology, System Engineering Research Institute, Academy of Military Sciences PLA China, Beijing 100010, China
  • Received:2018-11-05 Revised:2018-11-13 Online:2019-02-15 Published:2019-02-01
  • Contact: XIAO Hong E-mail:76echo@vip.sina.com

Abstract:

The self-developed heat flow coolness tester was adopted to test the transient heat flux density maximum and the quilibrium heat flux density of fifty-seven fabrics. Using the above test values, the contact feeling of the fabric was evaluated from both subjective and objective aspects. For objective evaluation, the cooling evaluation index of fabrics was divided into five categories based on They were marked as A,B,C,D and E, the coolness was weakened in turn. The fuzzy comprehensive evaluation method was used to classify the transient and steady heat flux values obtained by the test, and obtained the range of transient and steady heat flux values corresponding to different coolness levels. For subjective evaluation, the tester directly touched the fabric to evaluate and analyzed the cool feeling of the fabric subjectively, and obtained the coolness level of the fabric. Subjective and objective evaluation of fabrics has a strong consistency in the contact cooling results, the cooling grade of textile fabrics is accurately divided, which can promote the specification of the cool textile market.

Key words: cool feeling of fabric, coolness level, fuzzy comprehensive evaluation method, membership function, subjective evaluation

CLC Number: 

  • TS103.6

Tab.1

Sample size and heat flux value"

编号 组织 成分 面密度/(g·m-2) 厚度/mm qmax/(W·m-2) qbal/(W·m-2)
1# 罗纹 聚烯烃、涤纶 351.1 1.85 337.6 37.9
2# 罗纹 聚烯烃、涤纶 360.0 2.21 326.9 34.6
3# 纬平针 聚烯烃、锦纶 180.0 0.53 389.1 27.8
4# 小提花 聚烯烃、锦纶 230.0 0.72 366.7 27.3
5# 双反面 锦纶、粘胶 180.0 0.50 321.0 26.4
6# 纬平针 锦纶、涤纶 200.0 0.48 340.6 26.4
7# 纬平针 锦纶、涤纶、粘胶 180.0 0.66 315.9 26.1
8# 纬平针 锦纶、涤纶 180.0 0.47 307.7 25.3
9# 3  1 斜纹 聚烯烃、棉 197.1 0.51 390.7 56.1
10# 平纹 聚烯烃、涤纶、棉 240.2 0.58 391.6 55.7
11# 斜纹 聚烯烃、棉 206.7 0.64 346.7 45.9
12# 斜纹 聚烯烃、棉 212.8 0.65 328.6 44.7
13# 斜纹 聚烯烃、棉 210.1 0.65 295.7 42.7
14# 斜纹 聚烯烃、棉 144.5 0.37 332.4 43.7
15# 斜纹 聚烯烃、棉 142.7 0.41 303.8 41.4
16# 平纹 聚烯烃、涤纶、棉 146.0 0.45 312.2 40.9
17# 平纹 聚烯烃、涤纶、棉 137.8 0.39 301.3 38.2
18# 斜纹 聚烯烃、棉 143.5 0.43 289.1 37.8
19# 双层 聚烯烃、棉 638.1 1.92 414.7 70.3
20# 双层 聚烯烃、棉 370.8 1.47 323.3 65.3
21# 提花 聚烯烃 491.1 1.27 495.5 82.6
22# 平纹 聚烯烃、棉 508.0 1.46 393.1 79.9
23# 单层 聚烯烃、棉 516.1 1.10 486.3 79.1
24# 平纹 聚烯烃、棉 596.0 2.14 379.0 77.6
25# 提花 聚烯烃 454.1 1.40 430.6 77.1
26# 平纹 聚烯烃、涤纶、棉 349.8 1.05 437.0 68.0
27# 平纹 聚烯烃、棉 417.1 1.21 396.7 67.7
28# 平纹 聚烯烃、涤纶、棉 351.2 1.11 405.1 61.0
29# 菱形 聚烯烃 511.6 1.15 482.3 69.5
30# 平纹 聚烯烃、棉 283.0 0.94 364.8 64.7
31# 平纹 聚烯烃、棉 315.5 1.32 353.8 62.8
32# 3  1 斜纹 聚烯烃、棉 247.8 0.62 391.9 59.3
33# 平纹 聚烯烃、棉 225.8 0.83 355.9 59.3
34# 竹块 4 210.5 6.44 357.1 56.9
35# 竹条 1 709.4 4.31 372.6 33.0
36# 藤条 570.6 0.56 340.1 25.5
37# 平纹 聚烯烃、棉 502.9 0.88 388.6 29.2
38# 斜纹 183.9 0.61 290.3 27.3
39# 斜纹 118.5 0.26 298.1 26.7
40# 3  1 斜纹 涤纶、棉 252.9 0.53 291.8 26.6
41# 平纹 涤纶、棉 152.8 0.30 299.4 25.8
42# 平纹 涤纶、棉 132.1 0.22 296.5 25.5
43# 平纹 麻、涤纶、棉 151.1 0.30 263.1 25.2
44# 斜纹 涤纶 229.7 0.5 286.8 25.1
45# 平纹 锦纶 59.4 0.11 264.2 24.6
46# 平纹 锦纶 79.7 0.14 253.0 23.2
47# 平纹 涤纶、棉 67.3 0.11 241.3 23.2
48# 小元宝针 涤纶 322.4 3.04 145.9 23.6
49# 小元宝针 涤纶 275.1 4.28 119.8 23.6
50# 小元宝针 涤纶 149.9 1.79 130.0 22.3
51# 小元宝针 腈纶、涤纶、棉 278.9 2.81 147.1 22.0
52# 罗纹 镀银纤维 180.6 0.71 299.5 26.9
53# 平纹 铜纤维 81.6 0.11 256.0 25.8
54# 平纹 银纤维、棉 72.8 0.18 249.1 24.2
55# 网眼 银纤维 26.9 0.18 202.0 23.1
56# 双罗纹 涤纶、毛、腈纶 284.0 1.12 273.5 27.6
57# 起绒 毛、涤纶 326.9 1.72 246.2 26.8

Tab.2

Coolness classification"

凉感等级 qmax感觉 qbal感觉
A 很凉 很凉
B 凉爽 凉爽
C 较凉 较凉
D 一般 一般
E 不凉 不凉

Tab.3

qmax subordinate classification result"

试样编号 qmax/(W·m-2) Rv1 Rv2 Rv3 Rv4 Rv5 隶属等级 凉感等级
21# 495.5 0 0 0 0.10 0.90 五级 A
23# 486.3 0 0 0 0.11 0.89 五级 A
29# 482.3 0 0 0 0.12 0.88 五级 A
26# 437.0 0 0 0 0.20 0.80 五级 A
25# 430.6 0 0 0 0.22 0.78 五级 A
19# 414.7 0 0 0 0.31 0.69 五级 A
28# 405.1 0 0 0 0.42 0.58 五级 A
27# 396.7 0 0 0 0.57 0.93 五级 A
22# 393.1 0 0 0 0.64 0.86 五级 A
32# 391.9 0 0 0 0.66 0.84 五级 A
10# 391.6 0 0 0 0.67 0.83 五级 A
9# 390.7 0 0 0 0.69 0.81 五级 A
3# 389.1 0 0 0 0.72 0.78 五级 A
37# 388.6 0 0 0 0.73 0.77 五级 A
24# 379.0 0 0 0 0.92 0.58 四级 B
35# 372.6 0 0 0.05 0.95 0 四级 B
4# 366.7 0 0 0.17 0.83 0 四级 B
30# 364.8 0 0 0.20 0.80 0 四级 B
34# 357.1 0 0 0.36 0.64 0 四级 B
33# 355.9 0 0 0.38 0.62 0 四级 B
31# 353.8 0 0 0.42 0.58 0 四级 B
11# 346.7 0 0 0.57 0.43 0 三级 C
6# 340.6 0 0 0.69 0.31 0 三级 C
36# 340.1 0 0 0.70 0.30 0 三级 C
1# 337.6 0 0 0.75 0.25 0 三级 C
14# 332.4 0 0 0.85 0.15 0 三级 C
12# 328.6 0 0 0.93 0.07 0 三级 C
2# 326.9 0 0 0.96 0.04 0 三级 C
20# 323.3 0 0.03 0.97 0 0 三级 C
5# 321.0 0 0.08 0.92 0 0 三级 C
7# 315.9 0 0.18 0.82 0 0 三级 C
16# 312.2 0 0.26 0.74 0 0 三级 C
8# 307.7 0 0.35 0.65 0 0 三级 C
15# 303.8 0 0.42 0.58 0 0 三级 C
17# 301.3 0 0.47 0.53 0 0 三级 C
52# 299.5 0 0.51 0.49 0 0 二级 D
41# 299.4 0 0.51 0.49 0 0 二级 D
39# 298.1 0 0.54 0.46 0 0 二级 D
42# 296.5 0 0.57 0.43 0 0 二级 D
13# 295.7 0 0.59 0.41 0 0 二级 D
40# 291.8 0 0.66 0.34 0 0 二级 D
38# 290.3 0 0.69 0.31 0 0 二级 D
18# 289.1 0 0.72 0.28 0 0 二级 D
44# 286.8 0 0.76 0.24 0 0 二级 D
56# 273.5 0.03 0.97 0 0 0 二级 D
45# 264.2 0.22 0.78 0 0 0 二级 D
43# 263.1 0.24 0.76 0 0 0 二级 D
53# 256.0 0.38 0.62 0 0 0 二级 D
46# 253.0 0.44 0.56 0 0 0 二级 D
54# 249.2 0.52 0.48 0 0 0 一级 E
57# 246.2 0.57 0.43 0 0 0 一级 E
47# 241.3 0.63 0.37 0 0 0 一级 E
55# 202.0 0.83 0.17 0 0 0 一级 E
51# 147.1 0.90 0.10 0 0 0 一级 E
48# 145.9 0.90 0.10 0 0 0 一级 E
50# 130.0 0.91 0.09 0 0 0 一级 E
49# 119.8 0.92 0.08 0 0 0 一级 E

Tab.4

qbalsubordinate classification result"

试样编号 qbal/(W·m-2) Rv1 Rv2 Rv3 Rv4 Rv5 隶属等级 凉感等级
21# 82.6 0 0 0 0.11 0.89 五级 A
22# 79.9 0 0 0 0.13 0.87 五级 A
23# 79.1 0 0 0 0.13 0.87 五级 A
24# 77.6 0 0 0 0.14 0.86 五级 A
25# 77.1 0 0 0 0.15 0.85 五级 A
19# 70.3 0 0 0 0.24 0.76 五级 A
29# 69.5 0 0 0 0.26 0.74 五级 A
26# 68.0 0 0 0 0.31 0.69 五级 A
27# 67.7 0 0 0 0.32 0.68 五级 A
20# 65.3 0 0 0 0.47 0.53 五级 A
30# 64.7 0 0 0 0.53 0.97 五级 A
31# 62.8 0 0 0 0.72 0.78 五级 A
28# 61.0 0 0 0 0.90 0.60 四级 B
32# 59.3 0 0 0.07 0.93 0 四级 B
33# 59.3 0 0 0.07 0.93 0 四级 B
34# 56.9 0 0 0.31 0.69 0 四级 B
9# 56.1 0 0 0.39 0.61 0 四级 B
10# 55.7 0 0 0.43 0.57 0 四级 B
11# 45.9 0 0 0.96 0.04 0 三级 C
12# 44.7 0 0.01 0.99 0 0 三级 C
43# 43.7 0 0.06 0.94 0 0 三级 C
13# 42.7 0 0.12 0.89 0 0 三级 C
15# 41.4 0 0.18 0.82 0 0 三级 C
16# 40.9 0 0.21 0.80 0 0 三级 C
17# 38.2 0 0.34 0.66 0 0 三级 C
1# 37.9 0 0.36 0.65 0 0 三级 C
3# 37.8 0 0.36 0.64 0 0 三级 C
2# 34.6 0 0.54 0.46 0 0 二级 D
35# 33.0 0 0.7 0.3 0 0 二级 D
37# 29.2 0.08 0.92 0 0 0 二级 D
3# 27.8 0.22 0.78 0 0 0 二级 D
56# 27.6 0.24 0.76 0 0 0 二级 D
4# 27.3 0.27 0.73 0 0 0 二级 D
38# 27.3 0.27 0.73 0 0 0 二级 D
52# 26.9 0.31 0.69 0 0 0 二级 D
57# 26.8 0.32 0.68 0 0 0 二级 D
39# 26.7 0.33 0.67 0 0 0 二级 D
40# 26.6 0.34 0.66 0 0 0 二级 D
6# 26.4 0.36 0.64 0 0 0 二级 D
5# 26.4 0.36 0.64 0 0 0 二级 D
7# 26.1 0.39 0.61 0 0 0 二级 D
41# 25.8 0.42 0.58 0 0 0 二级 D
53# 25.8 0.42 0.58 0 0 0 二级 D
42# 25.5 0.45 0.55 0 0 0 二级 D
36# 25.5 0.45 0.55 0 0 0 二级 D
8# 25.3 0.47 0.53 0 0 0 二级 D
43# 25.2 0.48 0.52 0 0 0 二级 D
44# 25.1 0.49 0.51 0 0 0 二级 D
45# 24.6 0.54 0.46 0 0 0 一级 E
54# 24.2 0.57 0.43 0 0 0 一级 E
48# 23.6 0.61 0.39 0 0 0 一级 E
49# 23.6 0.61 0.39 0 0 0 一级 E
46# 23.2 0.63 0.37 0 0 0 一级 E
47# 23.2 0.63 0.37 0 0 0 一级 E
55# 23.1 0.64 0.36 0 0 0 一级 E
50# 22.3 0.68 0.32 0 0 0 一级 E
51# 22.0 0.69 0.31 0 0 0 一级 E

Tab.5

Cool classification"

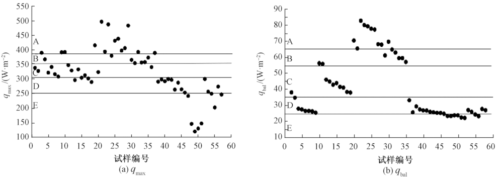
凉感等级 qmax/(W·m-2) qbal/(W·m-2)
A ≥380 ≥65
B 350~380 55~65
C 300~350 35~55
D 250~300 25~35
E ≤250 ≤25

Fig.1

Grades results of qmax and qbal of samples"

Tab.6

Comparison of objective evaluation and subjective evaluation of fabric coolness"

试样编号 主观评价 客观评价 试样编号 主观评价 客观评价 试样编号 主观评价 客观评价
1# A C 20 B C 39 D D
2# B C 21 A A 40 D D
3# B A 22 A A 41 D D
4# B B 23 A A 42 D D
5# C C 24 B B 43 D D
6# C C 25 A A 44 D D
7# C C 26 A A 45 D D
8# C C 27 A A 46 D D
9# B A 28 B A 47 D E
10# A A 29 A A 48 E E
11# C C 30 B B 49 E E
12# C C 31 B B 50 E E
13# C D 32 B A 51 E E
14# C C 33 B B 52 D D
15# C C 34 B B 53 D D
16# C C 35 B B 54 D E
17# C C 36 C C 55 E E
18# C D 37 C A 56 D D
19# A A 38 D D 57 E E
[1] 蔡戈鸣. 市政工程施工新技术模糊综合后评价模型研究[D]. 杭州:浙江大学, 2004: 41-45.
CAI Geming. Research on fuzzy comprehensive post-evaluation model of new construction technology for municipal engineering[D]. Hangzhou: Zhejiang University, 2004: 41-45.
[2] 黄洪金. 层次分析和模糊综合评价方法在公共政策评价中的应用研究[D]. 武汉:华中师范大学, 2014: 22-23.
HUANG Hongjin. Research on application of AHP and fuzzy comprehensive evaluation method in public policy evaluation[D]. Wuhan:Huazhong Normal University, 2014: 22-23.
[3] 吴志斌, 麦有定. 涤纶仿真丝绸手感风格的模糊评判法[J]. 检验检疫学刊, 1996(4):40-43.
WU Zhibin, MAI Youding. Fuzzy evaluation method of polyester simulation silk handle style[J].Inspection and Quarantine Science, 1996(4):40-43.
[4] 柯宝珠. 织物风格的模糊综合评价[J]. 五邑大学学报(自然科学版), 2001,15(1):65-70.
KE Baozhu. Fuzzy comprehensive evaluation of fabric style[J]. Journal of Wuyi University(Natural Science Edition), 2001,15(1):65-70.
[5] 刘侃. 用模糊聚类分析法评价服装加工性能[J]. 西安工程大学学报, 2002,16(2):116-120.
LIU Kan. Evaluation of garment processing performance by fuzzy clustering analysis[J]. Journal of Xi'an Polytechnic University, 2002,16(2):116-120
[6] 罗纪华, 马艺华. 苎麻织物服用性能的模糊综合评定[J]. 北京纺织, 2001(5):45-47.
LUO Jihua, MA Yihua. Fuzzy comprehensive evaluation of the performance of ramie fabrics[J].Beijing Textile Journal, 2001(5):45-47.
[7] 王翰林, 肖红, 夏秀云, 等.热流式织物凉感测试设备及测试方法:105136847 B[P]. 2015 -12-09.
WANG Hanlin, XIAO Hong, XIA Xiuyun, et al. Heat flow fabric cooling test equipment and test method:105136847 B[P]. 2015 -12-09.
[8] 肖红, 王翰林, 楚鑫鑫, 等. 热流式织物凉感测试仪的研制和凉感评价指标[J]. 棉纺织技术, 2018,46(8):79-82.
XIAO Hong, WANG Hanlin, CHU Xinxin, et al. Development of heat flow fabric coolness tester and evaluation index of coolness[J]. Cotton Textile Technology, 2018,46(8):79-82.
[9] 楚鑫鑫, 肖红, 程剑, 等. 织物凉感测试的影响因素分析及确定[J]. 棉纺织技术, 2018,46(9):76-80.
CHU Xinxin, XIAO Hong, CHENG Jian, et al. Analysis and determination of influencing factors of fabric coolness test[J]. Cotton Textile Technology, 2018,46(9):76-80.
[10] 肖红. 织物沿平面方向的传热机理及凉感影响因素[J]. 棉纺织技术, 2018,46(7):28-33.
XIAO Hong. Heat transfer mechanism of fabric along the plane direction and factors affecting coolness[J]. Cotton Textile Technology, 2018,46(7):28-33.
[11] 孙玉钗. 织物接触冷感与影响因素分析[J]. 棉纺织技术, 2009,37(10):18-21.
SUN Yuchai. Analysis of cold contact and influencing factors of fabric contact[J]. Cotton Textile Technology, 2009,37(10):18-21.
[12] 孙宇明. 基于皮肤温度的人体热感觉特性实验研究[D]. 大连:大连理工大学, 2009: 27-31.
SUN Yuming. Experimental study on human thermal sensation based on skin temperature[D]. Dalian: Dalian University of Technology, 2009: 27-31.
[13] 于声. 模糊评价法在区域工业用地适宜性评价中应用[D]. 北京:中国农业科学院, 2007: 17-19.
YU Sheng. The application of fuzzy judgment method in the regional industrial land-use planes suitability ana-lysis[D]. Beijing: Chinese Academy of Agricultural Science, 2007: 17-19.
[14] 崔莹. 重庆市水资源可持续利用能力模糊综合评价[D]. 重庆:西南大学, 2017: 58-60.
CUI Ying. Fuzzy comprehensive evaluation on sustainable utilization of water resource in Chongqing[D]. Chongqing: Southwest University, 2017: 58-60.
[15] 岳静. 丝织物手感的认知评价及预测模型研究[D]. 苏州:苏州大学, 2015: 19-22.
YUE Jing. Study on the handle cognitive evaluation and prediction models of silk fabrics[D]. Suzhou: Soochow University, 2015: 19-22.
[1] . Evaluation of warmth retention property of scarf [J]. JOURNAL OF TEXTILE RESEARCH, 2017, 38(12): 129-134.
[2] . Objective evaluation on wrinkling of garment joints based on wavelet analysis [J]. JOURNAL OF TEXTILE RESEARCH, 2016, 37(12): 87-91.
[3] . Prediction of garment standard time based on processes similarity [J]. JOURNAL OF TEXTILE RESEARCH, 2016, 37(11): 114-119.
[4] . Development and evaluation of fuel protective coveralls [J]. Journal of Textile Research, 2015, 36(03): 88-91.
[5] . Influence on asymmetrical thermal insulation of Tibetan robe on human thermal comfort [J]. JOURNAL OF TEXTILE RESEARCH, 2014, 35(4): 105-0.
[6] . Evaluation of hand for terry towels based on PhabrOmeter [J]. JOURNAL OF TEXTILE RESEARCH, 2013, 34(8): 48-0.
[7] JIN Zi-Min;YU Shi-jia;YAN YU-xiu. Pressure comfort of seamless underwear for young women’s upper body [J]. JOURNAL OF TEXTILE RESEARCH, 2010, 31(2): 85-89.
[8] CHEN Xiaoling;LIU Chi;NIE Cunyun. Confidence level and validity of garment fit assessment based on meta-evaluation during subjective evaluation [J]. JOURNAL OF TEXTILE RESEARCH, 2009, 30(07): 107-111.
[9] QIN Li;ZHAO Lihuan;WANG Fumei. Exploration for testing shape memory effects of PTT fabrics [J]. JOURNAL OF TEXTILE RESEARCH, 2009, 30(06): 39-43.
[10] WANG Yunyi;WANG Xiaoqiong;LI Jun;ZHANG Xuefeng;CHEN Yisong. Development of the evaluation scale of perceptual comfort of clothing [J]. JOURNAL OF TEXTILE RESEARCH, 2007, 28(5): 104-108.
[11] LIU Cheng-xia. Objective evaluation of pilling property of knitted fabrics [J]. JOURNAL OF TEXTILE RESEARCH, 2006, 27(12): 92-95.
Viewed
Full text


Abstract

Cited

  Shared   
  Discussed   
No Suggested Reading articles found!