Journal of Textile Research ›› 2019, Vol. 40 ›› Issue (8): 124-129.doi: 10.13475/j.fzxb.20180805606

• Dyeing and Finishing & Chemicals • Previous Articles     Next Articles

Detection methods of photochromic textiles

ZHAO Boyan(), ZHAO Yuzhu   

  1. Shanghai Institute of Quality Inspection and Technical Research Institute of Fiber Inspection, Shanghai 200040, China
  • Received:2018-08-23 Revised:2019-04-29 Online:2019-08-15 Published:2019-08-16

Abstract:

In order to provide the detection methods for the chromogenic performance of the photochromic textiles, taking commercial photochromic textiles as research objects, by simulating the excitation environment and measuring the color change of the commercial photochromic textiles with a portable spectrophotometer, the discoloration and recovery mechanism were studied and the detection methods of photochromic textiles were established. The results show that the color change of the samples increases first, then decreases and reaches stable after 3 min under irradiation. The discoloration and recovery processes are not influenced by the solar irradiance. One standard sunlight is provided as an excitation light source by using an AM1.5 filter and adjusting the irradiance to 1 000 W/m 2. The samples are irradiated for 5 min, and recovered for 30 min. The discoloration and recovery chromatic aberration of the photochromic textiles are determined by human eyes and instrument assessment to effectively detect the chromogenic performance of the photochromic textiles. The detection methods are simple, easy to operate,highly reliable, and can be standardized.

Key words: photochromic textile, chromogenic performance, detection method, eye rating, chromatic aberration measurement

CLC Number: 

  • TS107

Fig.1

Photochromic textile samples before (a)and after(b)discoloration"

Fig.2

Comparison diagram of xenon lamp spectra and standard solar spectra"

Fig.3

ΔEF trend of photochromic textiles under 1 000 W/m2 for 5 min"

Fig.4

Energy diagram of photochromism"

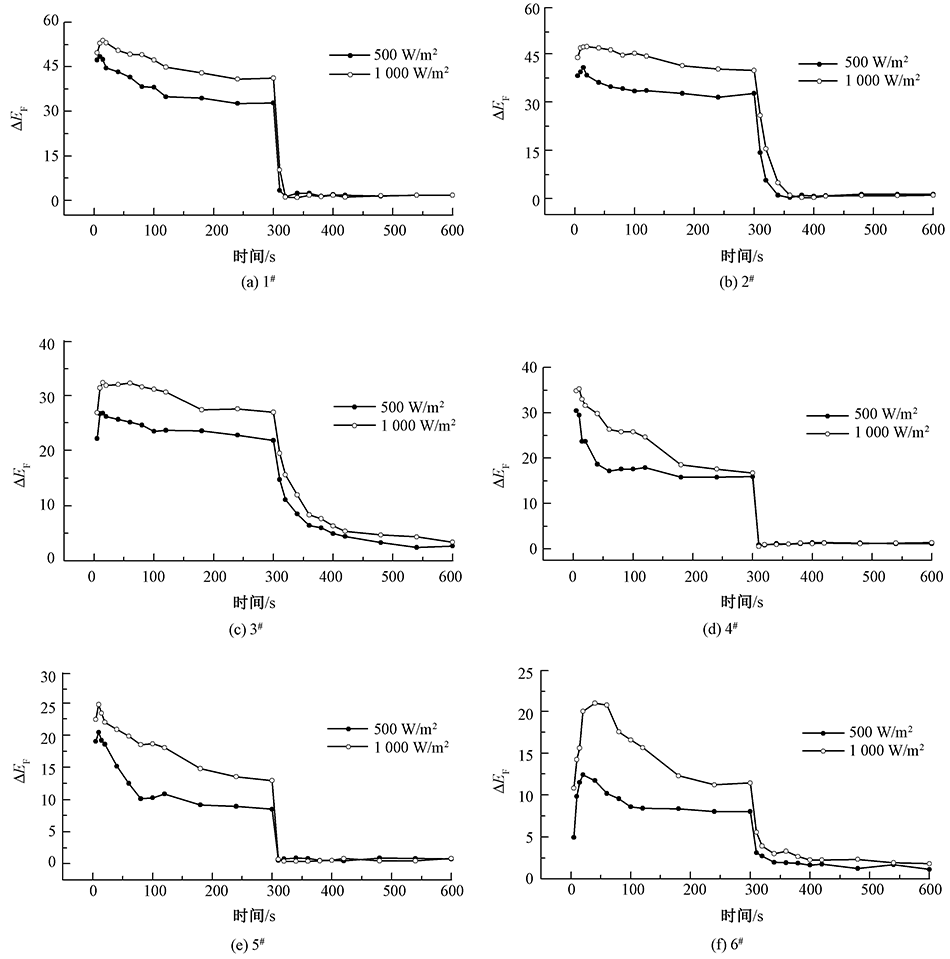
Fig.5

ΔEF trend graph of different photochromic textiles under 1 000 and 500 W/m2"

Tab.1

Recovery rate of photochromic textiles"

样品编号 ΔEF1 ΔEF2 νh/%
1# 41.20 10.34 75
2# 39.88 25.89 35
3# 26.95 19.50 28
4# 16.76 0.55 97
5# 12.92 0.72 94
6# 11.42 5.58 51

"

样品
编号
照射5 min 遮光保
存5 min
遮光保
存10 min
遮光保
存30 min
人眼 仪器 人眼 仪器 人眼 仪器 人眼 仪器
1# 1 1 4~5 4 4~5 4 4~5 4~5
2# 2~3 1~2 4~5 3~4 4~5 3~4 4~5 4
3# 1 1 4~5 3~4 4~5 4 4~5 4~5
4# 1 1 3 3 4 3~4 4~5 4
5# 1 1 4~5 4~5 4~5 4~5 4~5 4~5
6# 2 2 4 4~5 4~5 4 4~5 4~5

Tab.3

Discoloration ΔEF and gray scale GSc"

ΔEF的范围 GSc/级 ΔEF的范围 GSc/级
<0.40 5 4.10≤ΔEF<5.80 2~3
0.40≤ΔEF<1.25 4~5 5.80≤ΔEF<8.20 2
1.25≤ΔEF<2.10 4 8.20≤ΔEF<11.6 1~2
2.10≤ΔEF<2.95 3~4 ≥11.6 1
2.95≤ΔEF<4.10 3

"

样品
编号
变色色差 恢复色差
人眼 仪器 人眼 仪器
1# 1 1 4~5 4~5
2# 2~3 1~2 4~5 4
3# 1 1 4~5 4~5
4# 1 1 4~5 4
5# 1 1 4~5 4~5
6# 2 2 4~5 4~5

Fig.6

Comparison diagram of color simulation. (a)Before discoloration;(b)After discoloration;(c)Restoration color"

[1] 苏启来, 杜文琴 . 光致变色织物研究进展[J]. 纺织导报, 2011(1):71-72.
SU Qilai, DU Wenqin . Reserch progress of photochromic fabrics[J]. China Textile Leader, 2011(1):71-72.
[2] 马倩, 王可, 王曙东 , 等. 感光变色防紫外面料的开发[J]. 上海纺织科技, 2016,44(9):8-10.
MA Qian, WANG Ke, WANG Shudong , et al. Development of photochromic fabric with anti-UV property[J]. Shanghai Textile Science & Technology, 2016,44(9):8-10.
[3] 戴淑娇 . 光致变色纺织品的制备及其发展趋势[J]. 轻纺工业与技术, 2014,43(5):24-26.
DAI Shujiao . Preparation and development trend of photochromic textiles[J]. Light and Textile Industry and Technology, 2014,43(5):24-26.
[4] DEFFIEUX A, HSIEH W C, SQUIRE D R , et al. Radiation-induced cationic polymerization of vinyl ethers in solution: 2: polymerization of ethyl vinyl ether in methylene dichloride solution[J]. Polymer, 1982,23(1):65-68.
[5] 樊美公, 姚建年, 佟振合 , 等. 分子光化学与光功能材料科学[M]. 北京: 科学出版社, 2009: 481.
FAN Meigong, YAO Jiannian, TONG Zhenhe , et al. Molecular Photochemical and Optical Functional Materials Science[M]. Beijing: Science Press, 2009: 481.
[6] 杨旭 . 光致变色材料在现代运动便装设计中的应用[D]. 天津:天津科技大学, 2015: 5-20.
YANG Xu . Photochromic materials in the application of the modern sports casual wear design[D]. Tianjin: Tianjin University of Science & Technology, 2015: 5-20.
[7] 万震, 王炜, 谢均 . 光敏变色材料及其在纺织品上的应用[J]. 针织工业, 2003(6):87-89.
WAN Zhen, WANG Wei, XIE Jun . Photochromic materials and their application in textiles[J]. Knitting Industries, 2003(6):87-89.
[8] 况子明 . 聚氨酯-螺噁嗪光致变色微胶囊的制备及对真丝织物整理[D]. 合肥:安徽农业大学, 2015: 1-15.
KUANG Ziming . Preparation of polyurethane-spirooxazine photochromic microcapsule and the finishing on silk fabric[D]. Hefei:Anhui Agricultural University, 2015: 1-15.
[9] 范菲 . 光致变色微胶囊杂化溶胶整理织物的湿舒适性研究[J]. 纺织科技进展, 2017(5):15-18,22.
FAN Fei . Research on wet comfort of the fabric treated with photochromic microcapsule hybrid sol[J]. Progress in Textile Science & Technology, 2017(5):15-18,22.
[10] 周华建 . 基于光热变色储能功能的微胶囊性能研究及应用[D]. 天津:天津工业大学, 2017: 3-17.
ZHOU Huajian . Research and application of microcapsule performance based on photothermal discoloration energy storage function[D]. Tianjin:Tianjin Polytechnic University, 2017: 3-17.
[11] 刘亚洁 . 光致变色储能材料的复合及性能研究[D]. 天津:天津工业大学, 2016: 20-25.
LIU Yajie . Research on the composite and properties of photochromic energy storage materials[D]. Tianjin:Tianjin Polytechnic University, 2016: 20-25.
[12] 阴俊, 谈建国 . 上海地区地面太阳紫外辐射的观测和分析[J]. 热带气象学报, 2006 ( 1):86-90.
YIN Jun, TAN Jianguo . Observation and analysis of surface solar ultraviolet radiation in Shanghai area[J]. Journal of Tropical Meteorology, 2006 ( 1):86-90.
[13] 刘小红, 陈海宏 . 光致变色功能织物的制备及应用[J]. 现代纺织技术, 2012,20(6):58-60.
LIU Xiaohong, CHEN Haihong . The preparation and application of photochromic functional fabrics[J]. Advanced Textile Technology, 2012,20(6):58-60.
[14] 冯社永, 顾利霞 . 光敏变色纤维材料[J]. 合成纤维工业, 1997(3):36-40.
FENG Sheyong, GU Lixia . Photochromic fiber mate-rial[J]. China Synthetic Fiber Industry, 1997(3):36-40.
[1] . Novel test method of clothing thermal insulation performance [J]. JOURNAL OF TEXTILE RESEARCH, 2017, 38(06): 92-99.
[2] . Improvement on non-transfer type thermal shrinkage rate testing device for synthetic fibres [J]. Journal of Textile Research, 2015, 36(12): 131-134.
[3] . Matrix design for thread interchanging double-layer weaves using Kronecker product [J]. JOURNAL OF TEXTILE RESEARCH, 2015, 36(05): 34-38.
[4] ZHOU Bin, WANG Hui-Ling, FAN Li-Shan, MIN Ting-Yuan, WANG Shao-Hui. Automatic test device and test method for yarn linear density and weight eveness [J]. JOURNAL OF TEXTILE RESEARCH, 2012, 33(5): 131-134.
[5] WANG Xu, BI Song-Mei. Application of Kronecker product on derivative crepe weave design [J]. JOURNAL OF TEXTILE RESEARCH, 2012, 33(5): 40-45.
Viewed
Full text


Abstract

Cited

  Shared   
  Discussed   
[1] . [J]. JOURNAL OF TEXTILE RESEARCH, 1987, 8(01): 9 .
[2] . [J]. JOURNAL OF TEXTILE RESEARCH, 1987, 8(11): 48 -50 .
[3] . [J]. JOURNAL OF TEXTILE RESEARCH, 1991, 12(11): 30 -32 .
[4] . [J]. JOURNAL OF TEXTILE RESEARCH, 1993, 14(04): 26 -30 .
[5] . [J]. JOURNAL OF TEXTILE RESEARCH, 1985, 6(08): 40 -42 .
[6] . [J]. JOURNAL OF TEXTILE RESEARCH, 1985, 6(09): 64 .
[7] JIN Chenyi. Designing fashion stores from standpoint of lifestyle and visual merchandizing[J]. JOURNAL OF TEXTILE RESEARCH, 2011, 32(2): 121 -126 .
[8] WU Ye-fang;HE Tian-hong;YAO Jin-bo;GUO Jun-wei;LIANG Cheng-biao. Development of the single-side moisture transported and dry-fast fabric[J]. JOURNAL OF TEXTILE RESEARCH, 2006, 27(6): 94 -96 .
[9] . [J]. JOURNAL OF TEXTILE RESEARCH, 1988, 9(11): 33 -34 .
[10] HANG Shugao;LIU Hanwang . New auto-control system for unwinding tension of warp sheets from sizing beam in re-beaming machine[J]. JOURNAL OF TEXTILE RESEARCH, 2008, 29(12): 92 -95 .