Journal of Textile Research ›› 2019, Vol. 40 ›› Issue (10): 85-91.doi: 10.13475/j.fzxb.20180802007

• Textile Engineering • Previous Articles     Next Articles

Preloaded unit cell model and elastic prediction of 2-D triaxial braided composites

ZHANG Fangfang1, DUAN Yongchuan2()   

  1. 1. School of Mechanical Engineering, Yanshan University, Qinhuangdao, Hebei 066004, China
    2. Key Laboratory of Advanced Forging & Stamping Technology and Science, Ministry of Education, Yanshan University, Qinhuangdao, Hebei 066004, China;
  • Received:2018-08-06 Revised:2019-07-15 Online:2019-10-15 Published:2019-10-23
  • Contact: DUAN Yongchuan E-mail:yongchuan.duan@ysu.edu.cn

Abstract:

Aiming at the difficulties in establishing a 2-D triaxial braided composite preloaded parameterized unit cell model, the parametric unit cell model was generated by using the voxel method to combine the discrete unit data of the deformed prefabricated parts. A periodic cubic spline was put forward for the fiber path of 2-D triaxial braided composites. Based on this spline, the material direction calculation method was established and a parametric equation describing the asymmetric lenticular plane curve was built. Considering the finite element model of the prefabricated part established by extrusion deformation, the unit cell model was generated by pre-compression using the unit cutting program. Combined with the discrete data of the deformed prefabricated element, a voxel method was used to generate a parametric unit cell model with continuous displacement on both the interface and the cell boundary. The convergence of the finite element model at different resolutions was analyzed. The results show that the elastic behavior of the 2-D triaxial braided composites could be predicted by this model.

Key words: voxel mesh, stiffness predication, parametric unit cell, 2-D triaxial braided, composite

CLC Number: 

  • TB332

Fig.1

Structural representation of 2-D triaxial braided composite"

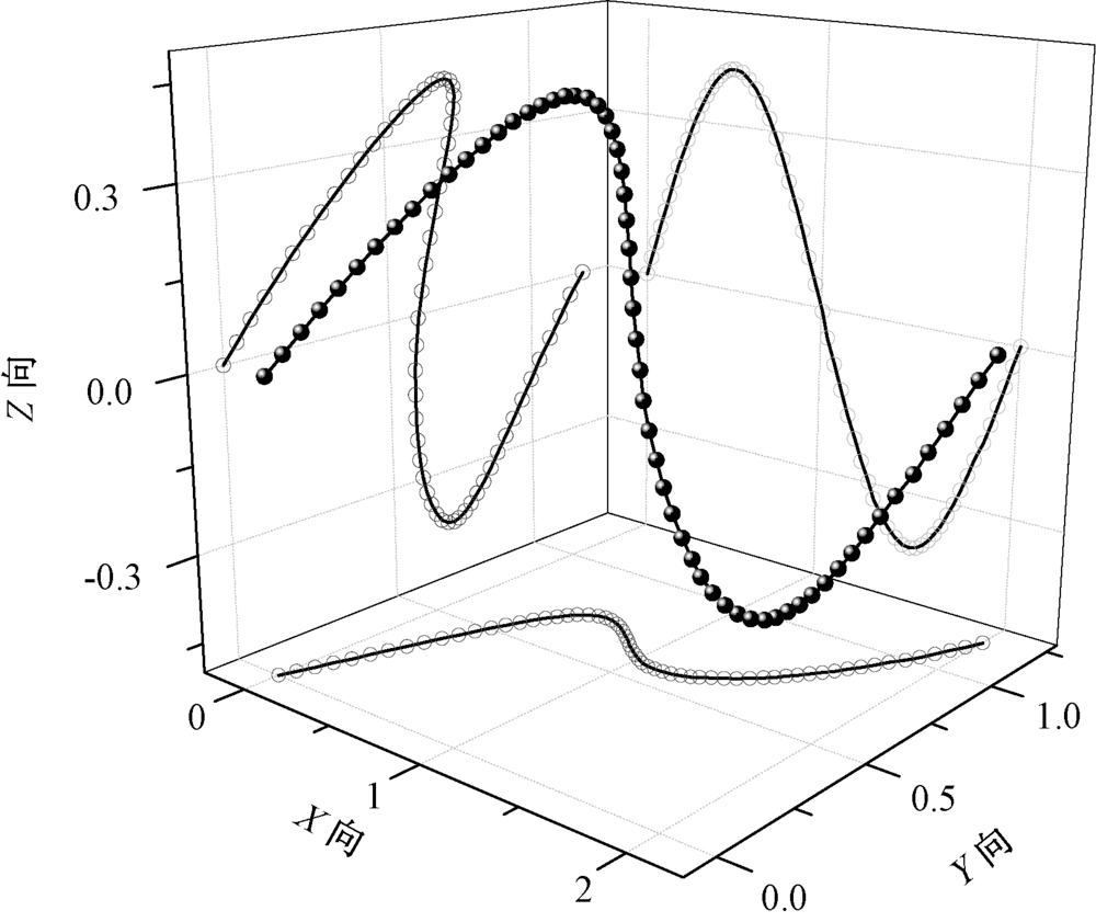
Fig.2

Periodic spline curves"

Fig.3

Lenticular fiber bundle section"

Fig.4

Fiber orientation solution"

Fig.5

Definition of material main direction rotation angle"

Fig.6

Precast mesh extraction of 2-D triaxial braided. (a) Precast model of 2-D triaxial braided composite;(b) Enhanced phase unit cell mesh;(c) Enhanced phase cell mesh with unit coordinate"

Fig.7

Single cell mesh model of composite materials by voxel method. (a)Enhanced phase mesh;(b)Matrix mesh;(c) Mesh after superimposed"

Fig.8

Influence of volume content and angle of weaving on transverse and axial modulus of 2-D triaxial braided compositematerials. (a) Elastic modulus of transverse; (b) Elastic modulus of axial; (c) Elastic modulus of thick; (d) Shear modulus oftransverse; (e) Shear modulus of axial; (f) Shear modulus of thick; (g) Poisson ratio of transverse; (h) Poissio raton ofaxial; (i) Poisson ratio of thick"

Tab.1

Performance parameters of component materials"

材料 模量/GPa μ12
E1 E2 G12 G23
T700纤维 230 40 24 14.3 0.26
环氧树脂 4.0 - - - 0.35

Tab.2

Comparison of numerical prediction results and experimental"

α=30°, Vf=53.9% α=45°, Vf=45.1% α=60°, Vf=46.4%
单元数 Ey/GPa 实验值/GPa 单元数 Ey/GPa 实验值/GPa 单元数 Ey/GPa 实验值/GPa
40 572 57.81 68 113 37.97 354 320 27.34
95 680 60.80 59.07 108 162 40.01 37.75 753 061 30.95 28.5
765 440 61.14 865 293 40.72 1 195 833 31.03
[1] TSAI K H, HWAN C L, CHEN W L, et al. A Parallelogram spring model for predicting the effective elastic properties of 2D braided composites[J]. Composite Structures, 2008,83(3):273-283.
doi: 10.1016/j.compstruct.2007.04.021
[2] MIRAVETE A, BIELSA J M, CHIMINELLI A, et al. 3D mesomechanical analysis of three-axial braided composite materials[J]. Composites Science and Technology, 2006,66(15):2954-2964.
doi: 10.1016/j.compscitech.2006.02.015
[3] BENZLEY S E, PERRY E, MERKLEY K, et al. A comparison of all hexagonal and all tetrahedral finite element meshes for elastic and elasto-plastic analy-sis[C] //Proceedings, 4th International Meshing Roundtable. Albuquerque: New Mexico, 1995: 179-191.
[4] 张红梅. 三维六面体网格自适应生成方法研究及其应用[D]. 济南: 山东大学, 2007, 1-10.
ZHANG Hongmei. Research on the algorithm for 3D hexahedral mesh adaptive generation and its applica-tions[D]. Jinan: Shandong University, 2007: 1-10.
[5] 关振群, 宋超. 有限元网格生成方法研究的新进展[J]. 计算机辅助设计与图形学学报, 2003,15(1):1-14.
GUAN Zhenqun, SONG Chao. Recent advances of research on finite element mesh generation methods[J]. Journal of Computer-Aided Design & Computer Graphics, 2003,15(1):1-14.
doi: 10.1016/S0010-4485(83)80041-4
[6] KIM H J, SWAN C C. Voxel-based meshing and unit-cell analysis of textile composites[J]. International Journal for Numerical Methods in Engineering, 2003,56(7):977-1006.
doi: 10.1002/(ISSN)1097-0207
[7] GAO Y T, KO F K, HU H. Integrated design for manufacturing of braided preforms for advanced composites: part I: 2D braiding[J]. Applied Composite Materials, 2013,20(6):1065-1075.
doi: 10.1007/s10443-012-9304-5
[8] 严雪, 许希武, 张超. 二维三轴编织复合材料的弹性性能分析[J]. 固体力学学报, 2013,34(2):140-151.
YAN Xue, XU Xiwu, ZHANG Chao. Analysis of elastic properties of 2D triaxial braided composites[J]. Chinese Journal of Solid Mechanics, 2013,34(2):140-151.
[9] KIER Z T, SALVI A, THEIS G, et al. Estimating mechanical properties of 2D triaxially braided textile composites based on microstructure properties[J]. Composites Part B: Engineering, 2015,68:288-299.
doi: 10.1016/j.compositesb.2014.08.039
[10] 张芳芳, 姜文光, 刘才, 等. 基于区域叠合技术的三维编织复合材料渐进损伤过程数值模拟[J]. 复合材料学报, 2013,30(6):227-236.
ZHANG Fangfang, JIANG Wenguang, LIU Cai, et al. Simulation of progressive damage of 3D braided composites using domain superposition technique[J]. Acta Materiae Compositae Sinica, 2013,30(6):227-236.
[11] 张芳芳, 刘才. 三维编织复合材料渐进损伤及拉伸强度数值预测[J]. 中国机械工程, 2014,25(3):321-326.
ZHANG Fangfang, LIU Cai. Numerical prediction of progressive damage and tension strength of 3D braided composites[J]. China Mechanical Engineering, 2014,25(3):321-326.
[12] BYUN J H. The analytical characterization of 2-D braided textile composites[J]. Composites Science and Technology, 2000,60(5):705-716.
doi: 10.1016/S0266-3538(99)00173-6
[13] XIA Z H, ZHANG Y F, ELLYIN F. A unified periodical boundary conditions for representative volume elements of composites and applications[J]. International Journal of Solids and Structures, 2003,40(8):1907-1921.
doi: 10.1016/S0020-7683(03)00024-6
[1] FENG Duanpei, SHANG Yuanyuan, LI Jun. Multi-scale simulation of impact failure behavior for 4- and 5-directional 3-D braided composites [J]. Journal of Textile Research, 2020, 41(10): 67-73.
[2] TANG Feng, YU Houyong, ZHOU Ying, LI Yingzhan, YAO Juming, WANG Chuang, JIN Wanhui. Preparation and property of poly(3-hydroxybutyrate-co-3-hydroxyvalerate) composite films [J]. Journal of Textile Research, 2020, 41(09): 8-15.
[3] ZHANG Lingyun, QIAN Xiaoming, ZOU Chi, ZOU Zhiwei. Preparation and properties of SiO2 aerogel / polyester-polyethylene bicomponent fiber composite thermal insulation materials [J]. Journal of Textile Research, 2020, 41(08): 22-26.
[4] LI Ruiqing, WANG Wei, WEI Bingju, ZHOU Changwen, ZHANG Shutao. Sulfur black dyeing process with environment friendly reducing agent [J]. Journal of Textile Research, 2020, 41(08): 50-54.
[5] CHEN Shiping, CHEN Min, WEI Cen, WANG Fujun, WANG Lu. Structure and functions of medical protective clothing and trend for research and development [J]. Journal of Textile Research, 2020, 41(08): 179-187.
[6] MA Feifei. Stab-resistant performance and wearability of composite materials made by discrete resin molding [J]. Journal of Textile Research, 2020, 41(07): 67-71.
[7] MA Ying, HE Tiantian, CHEN Xiang, LU Sheng, WANG Youqi. Micro-geometry modeling of three-dimensional orthogonal woven fabrics based on digital element approach [J]. Journal of Textile Research, 2020, 41(07): 59-66.
[8] LI Liping, WU Daoyi, ZHAN Yikai, HE Min. Review on carbon fiber surface modification using electrophoretic deposition of carbon nanotubes and graphene oxide [J]. Journal of Textile Research, 2020, 41(06): 168-173.
[9] LIU Yanchun, BAI Gang. Application of berberine in polyacrylonitrile / cellulose acetate composite fiber dyeing [J]. Journal of Textile Research, 2020, 41(05): 94-98.
[10] CHEN Lifu, YU Weidong. Stab resistance of composites with synthetic diamond filled polyimide resin matrix [J]. Journal of Textile Research, 2020, 41(05): 38-44.
[11] LIANG Shuangqiang, CHEN Ge, ZHOU Qihong. Compression property of notched 3-D braided composites [J]. Journal of Textile Research, 2020, 41(05): 79-84.
[12] WAN Yucai, LIU Ying, WANG Xu, YI Zhibing, LIU Ke, WANG Dong. Structure and property of poly(vinyl alcohol-co-ethylene) nanofiber / polypropylene microfiber scaffold: a composite air filter with high filtration performance [J]. Journal of Textile Research, 2020, 41(04): 15-20.
[13] LI Peng, WAN Zhenkai, JIA Minrui. Damage monitoring of composite materials based on twist energy of carbon nanotube yarns [J]. Journal of Textile Research, 2020, 41(04): 58-63.
[14] WANG Jiankun, JIANG Xiaodong, GUO Jing, YANG Lianhe. Research progress of functionalized graphene oxide adsorption materials [J]. Journal of Textile Research, 2020, 41(04): 167-173.
[15] ZHANG Hengyu, ZHANG Xiansheng, XIAO Hong, SHI Meiwu. Research progress of two-dimensional carbide in field of flexible electromagnetic absorbing [J]. Journal of Textile Research, 2020, 41(03): 182-187.
Viewed
Full text


Abstract

Cited

  Shared   
  Discussed   
No Suggested Reading articles found!