Journal of Textile Research ›› 2019, Vol. 40 ›› Issue (12): 57-62.doi: 10.13475/j.fzxb.20190106006

• Textile Engineering • Previous Articles     Next Articles

Bending properties of three-dimensional braided composite T-beam at low temperature

LIU Jun1, LIU Kui1, NING Bo1, SUN Baozhong2, ZHANG Wei2()   

  1. 1. Shanghai Aircraft Manufacturing Co., Ltd., Shanghai 200436, China
    2. College of Textiles, Donghua University, Shanghai 201620, China
  • Received:2019-01-29 Revised:2019-07-26 Online:2019-12-15 Published:2019-12-18
  • Contact: ZHANG Wei E-mail:weizhang@dhu.edu.cn

Abstract:

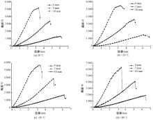
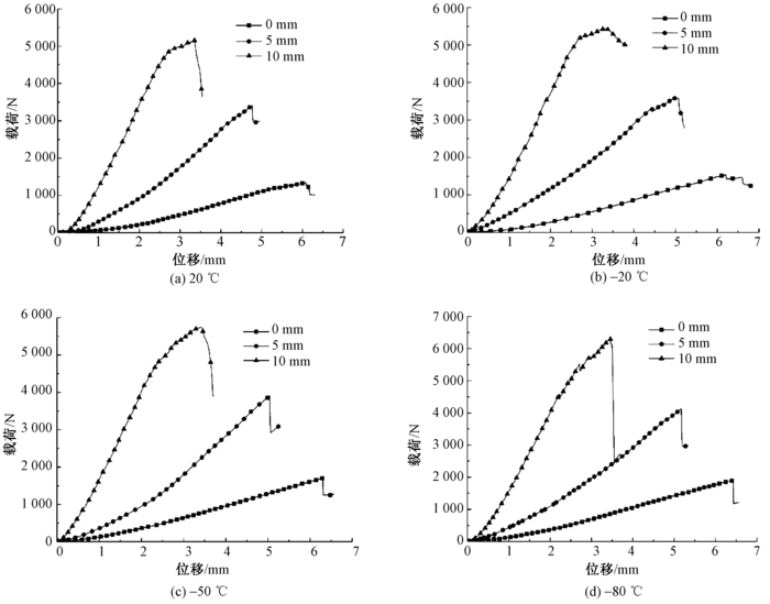
In order to study the bending properties of three-dimensional (3-D) braided composite T-beam at low temperature so as to design low temperature resistant and bending resistant 3-D braided composite structure, the 3-D braided composite T-beam with different flange heights was fabricated by vacuum assisted resin transfer molding. The MTS 810.23 material testing system in combination with a self-developed low temperature environment testing system was adopted to test the bending properties of the 3-D braided composite T-beam at different temperatures. The results show that the failure load, displacement and energy absorption increase with the decrease of the temperature, and the bending rigidity, failure load and energy absorption increase with the increase of the flange height of the T-beam. The displacement decreases with the increase of the flange height. The failure behavior of 3-D braided composite T-beam changes from yield fracture at high temperature to brittle fracture at low temperature. The failure mode changes from bending failure to shear failure with the increase of height of flange height.

Key words: three-dimensional braided composite, T-beam, low temperature, bending property, brittle fracture, shear failure

CLC Number: 

  • TB332

Fig.1

Braiding process of 3-D braided composite T-beam preform"

Fig.2

3-D braided composite T-beam preform"

Fig.3

3-D braided composite T-beam with different flange height"

Fig.4

Quasi-static bending testing system with low temperature environment system"

Fig.5

Load-displacement curves of 3-D braided composite T-beam at different temperature"

Tab.1

Testing results of 3-D braided composite T-beam at low temperature"

测试温
度/℃
筋高高
度/mm
最大载
荷/N
失效位
移/mm
吸收能
量/J
20 0 1 337 ± 61 6.07 ± 0.23 3.38 ± 0.16
20 5 3 411 ± 145 4.77 ± 0.19 6.63 ± 0.28
20 10 5 153 ± 218 3.35 ± 0.14 8.92 ± 0.37
-20 0 1 536 ± 69 6.19 ± 0.25 3.95 ± 0.18
-20 5 3 589 ± 155 4.99 ± 0.21 8.22 ± 0.36
-20 10 5 438 ± 224 3.32 ± 0.12 9.64 ± 0.41
-50 0 1 703 ± 77 6.30 ± 0.24 4.66 ± 0.21
-50 5 3 912 ± 162 5.04 ± 0.19 7.96 ± 0.33
-50 10 5 747 ± 238 3.42 ± 0.14 10.74 ± 0.44
-80 0 1 904 ± 85 6.42 ± 0.26 5.31 ± 0.24
-80 5 4 134 ± 183 5.17 ± 0.18 9.01 ± 0.38
-80 10 6 302 ± 276 3.46 ± 0.13 11.14 ± 0.42

Fig.6

Effect of temperature and flange height on bending properties of 3-D braided composite T-beam. (a) Load; (b) Failure displacement; (c) Energy adsorption"

Fig.7

Bending failure morphology of 3-D braided composite T-beam with different flange height at -80 ℃"

Fig.8

Bending failure morphology of 3-D braided composite T-beam with flange height of 10 mm at different low temperature"

[1] MUNGALOV D, BOGDANOVICH A. Complex shape 3D braided composites preforms: structural shapes for marine and aerospace[J]. Sampe Journal, 2004,40(3):7-21.
[2] 陈光伟, 陈利, 李嘉禄, 等. 三维多向编织复合材料T型梁抗弯应力分析[J]. 纺织学报, 2009,30(8):54-58.
CHEN Guangwei, CHEN Li, LI Jialu, et al. Study on flexural stress of T beam of 3-D multidirectional braided composites[J]. Journal of Textile Research, 2009,30(8):54-58.
[3] 张中伟, 严静, 孙宝忠, 等. 三维编织复合材料矩形梁与T型梁准静态弯曲实验及有限元分析[J]. 东华大学学报(自然科学版), 2014,40(5):522-526,36.
ZHANG Zhongwei, YAN Jing, SUN Baozhong, et al. Quasi-Static bending testing and finite element simulation of 3D braided composite rectangular beam and T-beam[J]. Journal of Donghua University(Natural Science Edition), 2014,40(5):522-526,36.
[4] 于陈陈, 瞿畅, 邓婕, 等. T形截面三维编织复合材料细观结构分析及弯曲性能预测[J]. 纺织学报, 2015,36(6):42-49.
YU Chenchen, QU Chang, DENG Jie, et al. Micro-structure analysis and bending property prediction of three-dimensional braided composites with T section[J]. Journal of Textile Research, 2015,36(6):42-49.
[5] YAN J, LIU K, ZHOU H, et al. The bending fatigue comparison between 3D braided rectangular composites and T-beam composites[J]. Fibers and Polymers, 2015,16(3):634-639.
doi: 10.1007/s12221-015-0634-4
[6] OUYANG Y, WANG H, GU B, et al. Experimental study on the bending fatigue behaviors of 3D five directional braided T-shaped composites[J]. Journal of The Textile Institute, 2018,109(5):603-613.
doi: 10.1080/00405000.2017.1361602
[7] OUYANG Y, SUN B, GU B. Finite element analyses on bending fatigue of three-dimesional five-directional braided composite T-beam with mixed unit-cell model[J]. Journal of Composite Materials, 2018,52(9):1139-1154.
doi: 10.1177/0021998317722203
[8] 欧阳屹伟, 王海楼, 顾伯洪, 等. 三维五向编织复合材料T型梁弯曲疲劳应力分布[J]. 东华大学学报(自然科学版), 2018,44(3):347-353.
OUYANG Yiwei, WANG Hailou, GU Bohong, et al. Stress distribution of 3-D five-directional braided composite T-beam under bending fatigue load[J]. Journal of Donghua University (Natural Science Edition), 2018,44(3):347-353.
[9] 王欢, 李嘉禄, 樊威. 纤维体积分数对三维编织复合材料T型梁模态性能的影响[J]. 材料工程, 2015,43(9):80-86.
WANG Huan, LI Jialu, FAN Wei. Effect of fiber volume fraction on modal properties of three-dimension braided composite T-beams[J]. Journal of Materials Engineering, 2015,43(9):80-86.
[10] ZHANG W, GU B, SUN B. Transverse impact behaviors of 3D braided composites T-beam at elevated temperatures[J]. Journal of Composite Materials, 2016,50(28):3961-3971.
[1] WU Daiwei, LI Hongyan, DAI Yanyang, SU Yun, WANG Yunyi. Thermal function effectiveness and location of heating device in cold protective clothing [J]. Journal of Textile Research, 2020, 41(06): 118-124.
[2] ZHANG Yannan, ZHOU Wei, SHANG Yajing, ZHAO Wenzheng. Micro-deformation measurement and acoustic emission monitoring of three-dimensional braided composites under tensile loading [J]. Journal of Textile Research, 2019, 40(08): 55-63.
[3] CHEN Xu, WU Bingyang, FAN Ying, YANG Musheng. Numerical simulation of low temperature protection process for heat storage fabrics [J]. Journal of Textile Research, 2019, 40(07): 163-168.
[4] SHEN Yanqin, YANG Shu, WU Hailiang, WANG Zhongliang. Research progress of medium and low temperature water-soluble textile starch size [J]. Journal of Textile Research, 2019, 40(06): 142-151.
[5] ZHANG Xuefei, WANG Jingjing, LÜ Lihua, YE Fang. Bending properties of zigzag 3-D woven spacer composites [J]. Journal of Textile Research, 2019, 40(03): 65-70.
[6] . Low temperature plasma treatment of basalt filament surface and sizing strand integrity thereof [J]. Journal of Textile Research, 2018, 39(12): 24-29.
[7] . Development of new fluoroethylene vinyl ether reinforcement membrane and its mechanical properties [J]. JOURNAL OF TEXTILE RESEARCH, 2018, 39(07): 50-54.
[8] . Application of porphyrin iron/H2O2 system in low temperature bleaching of cotton fabrics [J]. JOURNAL OF TEXTILE RESEARCH, 2018, 39(06): 75-80.
[9] . Tensile strain sensing characteristics of carbon nanoyarns [J]. JOURNAL OF TEXTILE RESEARCH, 2018, 39(03): 14-18.
[10] . Sizing property of cold water soluble potato starch at low temperature [J]. JOURNAL OF TEXTILE RESEARCH, 2018, 39(03): 79-85.
[11] . Low temperature bonding preparation of functionalized ramie fabrics for formaldehyde photocatalytic degradation  [J]. JOURNAL OF TEXTILE RESEARCH, 2017, 38(12): 106-111.
[12] . Dyeing properties of kapok fiber treated by low temperature plasma [J]. JOURNAL OF TEXTILE RESEARCH, 2017, 38(12): 88-94.
[13] . Bending properties and finite element method simulation of honeycomb 3-D integrated woven composites [J]. JOURNAL OF TEXTILE RESEARCH, 2017, 38(11): 56-60.
[14] . Synthesis and properties of water soluble quaternary ammonium cationic starch sizing materials [J]. JOURNAL OF TEXTILE RESEARCH, 2017, 38(11): 73-78.
[15] . Structural damage evaluation of three-dimensional braided composite based on damage index [J]. JOURNAL OF TEXTILE RESEARCH, 2017, 38(05): 69-74.
Viewed
Full text


Abstract

Cited

  Shared   
  Discussed   
No Suggested Reading articles found!