Journal of Textile Research ›› 2024, Vol. 45 ›› Issue (06): 59-67.doi: 10.13475/j.fzxb.20230103501

• Textile Engineering • Previous Articles     Next Articles

Fabric drape profile simulation based on deformable mesh

CAO Jingzhe, TAO Chen(), BAI Linlin   

  1. College of Textile and Garment, Shaoxing University, Shaoxing, Zhejiang 312000, China
  • Received:2023-01-29 Revised:2023-05-21 Online:2024-06-15 Published:2024-06-15

Abstract:

Objective In allusion to the stitch of constrained fabric simulation, this paper proposes a deformable mesh for reproducing the drape profile of fabric. Aiming to represent the dynamic process rather than static form of the fabric drape, the mesh model is featured with kinetic parameters and an evolution process to enable shape change over time.

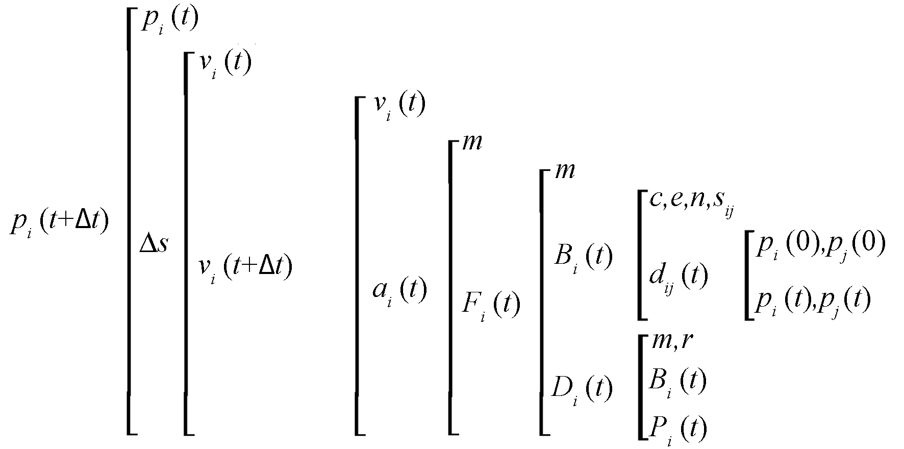
Method In the mesh model, the constraints inside the fabric were built up through a constraint factor as well as an attenuation factor, and the contact between the fabric flexible body and the rigid plane was performed with a Touch-Counteract mechanism. The forces on the particles in the mesh, which were calculated with mesh deformation, were then used to generate the further displacement of the mesh. The evolution of the mesh was brought up by step-by-step iteration to introduce draping kinetics of the virtual fabric.

Results The drape profile of virtual fabric is achieved as the evolution processs meets its steady state. The drape coefficient is then worked out through identifying and quantifying the projection area of the mesh. The impact of the constraint factor and the attenuation factor on the drape coefficient are investigated, which has revealed the features and range of the model parameters capability. With lower attenuation factor (e=0.6), larger drape coefficient can be brought about while the range of the drape is narrow, and the drape is mainly affected by the attenuation factor and the effect from the constraint factor is relatively minor. When the attenuation factor grows (e=1.2 or e=2.4), smaller drape can be achieved while the range of the drape gets broader, and the constraint factor becomes more influential. When the attenuation factor goes up to 3.6 plus, the range of the drape turns to shrink, and the influence from the constraint factor recedes again. The upper limit of the range for the drape approximates 1.0 when the attenuation factor gets close to zero, and the lower limit of the range approaches 0 when the attenuation factor grows. Therefore, the theoretical range (0,1) of the drape coefficient gets fully covered with the mesh. Concerning the unevenness ripples, the reason for real fabric is discussed and reduced into the mechanical anisotropy. By emulating anisotropy through the differentiated constraint factors, the uneven appearance along the draping surface is manipulated and manifested. Finally, the precise of the model is boosted with respect to the mesh scale as well as the evolution algorithm, and a sensible mesh scale value 57 has been figured out for balancing between the simulation effect and the resource consumption. By employing the third-order Tylor expansion, the computational error is minished and the precision of the evolution algorithm is raised up to Ot4).

Conclusion It has turned out in the simulation experiments this mesh to be a simple, fast and precise model for expressing fabric draping. In the mesh model, the constraint factor and the attenuation factor together have been testified to be a compact approach to expressing the mutual effects between different parts of the real fabric. By recognizing and quantifying the projection area, the drape coefficient of the virtual fabric well meet the theoretic range of it. The drape coefficient has been found positively related to the constraint factor, and negatively related to the attenuation factor, and the latter has comparatively more impact on the drape coefficient. There are two kinds of precision involved in this model, i.e., the mesh precision and the algorithm precision. The former is determined by the mesh scale, and an appropriate scale has proved to be a trade-off between precision and efficiency considering the rapid growth of computational resource demand along the scale. While the algorithm precision can be improved significantly with the third-order Tylor expansion.

Key words: deformable mesh, fabric simulation, fabric drape, drape coefficient, drape unevenness

CLC Number: 

  • TP391.41

Fig.1

Model illustration. (a) Fabric mesh and support disc; (b) Constraint intensity and span; (c) Constraint force and distance; (d) Touch-counteract"

Fig.2

Dependency of variables"

Fig.3

Draping process of virtual fabric"

Fig.4

Extraction of projection area. (a)Projection of mesh; (b) Illustration of method; (c) Search radius l=4; (d) Search radius l=2;"

Fig.5

Drape profiles of virtual fabric under various parameter values"

Fig.6

Expression characteristics of the model"

Fig.7

Ripple curves"

Fig.8

Anisotropy of fabric. (a) Virtual fabric; (b) Real fabric"

Fig.9

Ripple unevenness under various anisotropic indices"

Fig.10

Drape profiles under different mesh scales"

Fig.11

Relationship between mesh scale and drape coefficient"

[1] 郑天勇. 变化组织的三维外观模拟[J]. 纺织学报, 2005, 26(6): 39-42.
ZHENG Tianyong. 3D appearance imitation of fancy weaves[J]. Journal of Textile Research, 2005, 26(6): 39-42.
[2] 赖安琪, 蒋高明, 李炳贤. 全成形毛衫花式结构三维仿真[J]. 纺织学报, 2023, 44(2): 103-110.
LAI Anqi, JIANG Gaoming, LI Bingxian. Three-dimensional simulation of whole garment with fancy structures[J]. Journal of Textile Research, 2023, 44(2): 103-110.
[3] KANG Moon Koo, LEE Jeongjin. A real-time cloth draping simulation algorithm using conjugate harmonic functions[J]. Computers & Graphics, 2007, 31(2): 271-279.
[4] 沈毅, 齐红衢. 织物悬垂形态的模拟仿真[J]. 纺织学报, 2010, 31(10): 34-39.
SHEN Yi, QI Hongqu. Simulation of fabric draping shape[J]. Journal of Textile Research, 2010, 31(10): 34-39.
[5] JIA Lu, ZHENG Chao. Dynamic cloth simulation by isogeometric analysis[J]. Computer Methods In Applied Mechanics and Engineering, 2014. DOI: 10.1016/j.cma.2013.09.016.
[6] DENG Daiguo, WU Hefeng, SUN Peng, et al. A new geometric modeling approach for woven fabric based on frenet frame and spiral equation[J]. Journal of Computational and Applied Mathematics, 2018, 329: 84-94.
[7] WANG Huamin, O'BRIEN James, RAMAMOORTHI Ravi. Data-driven elastic models for cloth: modeling and measurement[J]. ACM Transactions on Graphics, 2011, 30(4): 1-12.
[8] 余志才. 基于三维模型和深度学习的织物悬垂性能研究[D]. 上海: 东华大学, 2020:7-29.
YU Zhicai. Research on fabric draping performance based on 3D model and deep learning[D]. Shanghai: Donghua University, 2020: 7-29.
[9] YAN Jiang, GUO Ruiliang, MA Fenfen, et al. Cloth simulation for Chinese traditional costumes[J]. Multimedia Tools and Applications, 2019, 78(4): 5025-5050.
doi: 10.1007/s11042-018-5983-8
[10] SZE K Y, LIU X H. Fabric drape simulation by solid-shell finite element method[J]. Finite Elements in Analysis and Design, 2007, 43(11): 819-838.
[11] XIE Q, SZE K Y, ZHOU Y X. Drape simulation using solid-shell elements and adaptive mesh subdivision[J]. Finite Elements in Analysis and Design, 2015. DOI:10.1016/j.finel.2015.08.001.
[12] HAN Mingu, CHANG Seunghwan. Draping simulations of carbon/epoxy fabric prepregs using a non-orthogonal constitutive model considering bending behavior[J]. Composites Part A: Applied Science and Manufacturing, 2021. DOI:10.1016/j.compositesa.2021.106483.
[13] ZHANG Jiahua, GEORGE Baciu, JUSTIN Cameron, et al. Particle pair system: an interlaced mass-spring system for real-time woven fabric simulation[J]. Textile Research Journal, 2012, 82(7): 655-666.
[14] YIN Chen, WANG Q Jane, ZHANG Mengqi. Accurate simulation of draped fabric sheets with nonlinear modeling[J]. Textile Research Journal, 2021, 92(3/4): 539-560.
[15] MOZAFARY Vajiha, PEDRAM Payvandy. Introducing and optimizing a novel mesh for simulating knitted fabric[J]. Journal of the Textile Institute, 2018, 109(2): 202-218.
[16] FITAS Ricardo, STEFAN Hesseler, SANTINO Wist, et al. Kinematic draping simulation optimization of a composite B-pillar geometry using particle swarm optimization[J]. Heliyon, 2022.DOI:10.1016/j.heliyon.2022.e11525.
[1] XU Hui, ZHU Hao, PAN Suqing, SHI Hongyan, YING Di. Woven fabric simulation based on variable section multifilament model [J]. Journal of Textile Research, 2024, 45(05): 70-78.
[2] RU Xin, ZHU Wanzhen, SHI Weimin, PENG Laihu. Deformation prediction and simulation of weft knitted fabrics with non-uniform density distribution [J]. Journal of Textile Research, 2022, 43(06): 63-69.
[3] LIU Haisang, JIANG Gaoming, DONG Zhijia. Simulation and virtual display for few-guide bar yarn dyed fabric based Web [J]. Journal of Textile Research, 2021, 42(02): 87-92.
[4] LI Xintong, GAO Zhe, GU Hongyang, CONG Honglian. Study on stiffness style of knitted suit fabrics [J]. Journal of Textile Research, 2020, 41(11): 53-58.
[5] . Simulation of warp knitted plush fabric based on fractal noise and geometry shader [J]. JOURNAL OF TEXTILE RESEARCH, 2018, 39(02): 171-176.
[6] . Weft knitted fabric simulation using mixed color yarn texture information [J]. JOURNAL OF TEXTILE RESEARCH, 2017, 38(07): 148-154.
[7] . Computer simulation of warp knitted fleece fabric [J]. JOURNAL OF TEXTILE RESEARCH, 2015, 36(07): 147-151.
[8] Ai-Jun ZHANG. CAD design and simulation of double-needle bar short pile fabrics [J]. JOURNAL OF TEXTILE RESEARCH, 2013, 34(7): 132-136.
[9] ZHANG Ruilin;WANG Wenzheng;GUO Weijie. Improved fast fabric appearance simulation algorithm [J]. JOURNAL OF TEXTILE RESEARCH, 2009, 30(05): 126-129.
[10] LIN Zhigui; FANG Wei; HUANG Weizhi. Analysis of fabric drape evaluation based on support vector machine [J]. JOURNAL OF TEXTILE RESEARCH, 2009, 30(01): 51-54.
[11] CHEN Ming;ZHOU Hua;YANG Lanjun;LI Bin. Coefficient of 3-D draping test of fabrics and 3-D reconstruction [J]. JOURNAL OF TEXTILE RESEARCH, 2008, 29(9): 51-55.
[12] CHEN Li;YE Jiemao. Preliminary study of designing knitted fabric pattern based on mathematics theory [J]. JOURNAL OF TEXTILE RESEARCH, 2008, 29(7): 38-40.
[13] LI Qiang;GUO Yuqing;JI Feng. Testing method of fabric drape based on upward projection [J]. JOURNAL OF TEXTILE RESEARCH, 2008, 29(3): 34-37.
[14] SHEN Yi;ZHOU Hua;YIN Hongyuan. Model ZYF-3 fabric-drape three-dimensional tester [J]. JOURNAL OF TEXTILE RESEARCH, 2008, 29(1): 118-122.
[15] LIU Xuan-mu;SHEN Yi;WANG Shou-bing. Edge detection of fabric in fabric drape performance testing system [J]. JOURNAL OF TEXTILE RESEARCH, 2006, 27(3): 8-10.
Viewed
Full text


Abstract

Cited

  Shared   
  Discussed   
No Suggested Reading articles found!