Journal of Textile Research ›› 2024, Vol. 45 ›› Issue (10): 55-63.doi: 10.13475/j.fzxb.20230505801

• Textile Engineering • Previous Articles     Next Articles

Preparation and performance of three-component helical auxetic yarn based on ring spun

GUO Chenyu, JIANG Yun, YANG Ruihua()   

  1. College of Textile Science and Engineering, Jiangnan University, Wuxi, Jiangsu 214122, China
  • Received:2023-05-23 Revised:2023-10-10 Online:2024-10-15 Published:2024-10-15
  • Contact: YANG Ruihua E-mail:yangrh@jiangnan.edu.cn

Abstract:

Objective Auxetic components can be used to create functional auxetic composite materials. The helical auxetic yarn (HAY) belongs to the group of auxetic reinforcement materials. Traditional auxetic yarns, made from filaments with a helical structure, often face issues like component slippage that can reduce yarn stability. They also lack the natural crimp and soft texture of staple fibers, which restricts their surface properties and applications. To address these challenges, this paper presents an innovative production method for helical auxetic yarns that incorporates staple fibers into the spiral wrapping structure. The aim is to enhance the yarn's auxetic performance and expand its range of applications.

Method Composite yarn was spun on a modified ring spinning machine to create a helical auxetic yarn based on the wrapping structure, with cotton and polyester filaments wrapped around a spandex filament. Besides, the double-filament helical auxetic yarn without cotton was also produced. The auxetic performance characteristics of these two types of yarns were analyzed and compared. Based on the spinning parameters, the effect of the yarn construction parameters on the negative Poisson's ratio was further investigated.

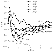
Results In this study, the negative Poisson's ratio of the new developed three-component and conventional two-component helical auxetic yarns was compared and analyzed. The maximum negative Poisson's ratios of the two yarns were similar, both less than -2, and the negative Poisson's ratio of two-component yarn was slightly better. In addition, the three-component helical auxetic yarn achieved a maximum negative Poisson's ratio at less strain compared with two-component yarn. Furthermore, after achieving the best negative Poisson's ratio, the Poisson's ratio of the three-component helical auxetic yarn was maintained below -0.5 with a tensile strain of 5% to 15%. However, after the two-component yarn reached the maximum negative Poisson's ratio, the negative Poisson's ratio effect of the yarn showed the weaking tread, flattening and approaching zero after 13% tensile strain. The influence of structural parameters of the helical auxetic yarn on the negative Poisson's ratio effect was discussed based on the spinning process parameters. Firstly, at a twist factor of 325, i.e., a helix angle of 27.4°, the negative Poisson's ratio effect was most obvious and its peak is at a 3% tensile strain. As the yarn twist factor increased, the negative Poisson's ratio effect diminished and larger tensile strain was required for reaching the maximum negative Poisson's ratio. Secondly, when the draft ratio of the wrapping filament was higher, the maximum negative Poisson's ratio of the helical auxetic yarn was initially increased and then decreased. When the draft ratio of the wrapped filament was 1.03, the negative Poisson's ratio was -3.24 which was the highest value among all the types of yarns. Thirdly, the draft ratio of the elastic core filament has negative effect on the maximum negative Poisson's ratio of the yarn. When the draft ratio of elastic core filament was 1.01 and 1.02, the negative Poisson's ratio of helical auxetic yarn was the best and similar, both less than -3.

Conclusion The enhancement of ring spinning machinery has facilitated the fabrication of a three-component auxetic yarn incorporating cotton fibers, thereby introducing an innovative approach to the design of auxetic yarns. The spinning process parameters, encompassing the twist factor as well as the drafting ratios of the core filament and the wrapping filament, exert a pronounced influence on the auxetic performance of the yarn. A comparative analysis of the auxetic properties of yarns manufactured under varying process parameters has yielded critical insights for optimizing the production process. This has led to the development of yarns that exhibit superior and consistent auxetic characteristics, thereby expanding the horizons and potential applications of auxetic materials within the textile industry.

Key words: auxetic yarn, helical wrapping structure, complex yarn, yarn structure, process parameter

CLC Number: 

  • TS106.4

Fig.1

Structural deformation of three-component helical auxetic yarn"

Fig.2

Manufacturing process for three-component helical auxetic yarn"

Tab.1

Materials and parameters of yarns"

名称 纱线组分 纱线材料
三组分负泊松比纱 芯纱 80 tex氨纶长丝
第1包缠纱 30 tex棉粗纱
第2包缠纱 8.33 tex涤纶长丝
双长丝负泊松比纱 芯纱 80 tex氨纶长丝
包缠纱 8.33 tex涤纶长丝

Fig.3

Tensile deformation of double filament helical auxetic yarn.(a)Initial state; (b) Stage 1; (c) Stage 2; (d) Stage 3"

Fig.4

Tensile deformation of three-component helical auxetic yarn.(a)Initial state; (b) Stage 1; (c) Stage 2; (d) Stage 3; (d) Stage 4"

Fig.5

Poisson's ratio curves of double filament and three-component helical auxetic yarn"

Fig.6

Wrap angle at different twist factor"

Fig.7

Poisson's ratio curves of yarn under different twist factors"

Fig.8

Poisson's ratio curves of yarn under different draft ratio of wrapped filament"

Fig.9

Initial yarn structure at different wrapped filament draft ratio"

Fig.10

Poisson's ratio curves of yarn under different draft ratios of elastic core yarn"

Fig.11

Negative Poisson's ratio of helical auxetic yarn under optimized process parameters"

[1] LAKES R. Foam structures with a negative Poisson's ratio[J]. Science, 1987, 235(4792): 1038-1041.
pmid: 17782252
[2] ULLAH T, HUSSAIN M, ALI M, et al. Impact of auxeticity on mechanical properties of 3D woven auxetic reinforced thermoplastic composites[J]. Polymer Composites, 2023, 44(2): 897-906.
[3] 徐婉丽, 常玉萍, 马丕波. 负泊松比经编间隔织物的抗低速冲击性能[J]. 纺织学报, 2018, 39(11): 45-49.
doi: 10.13475/j.fzxb.20180105105
XU Wanli, CHANG Yuping, MA Pibo. Low velocity impact resistance of warp-knitted spacer fabrics of negative Poisson's ratio[J]. Journal of Textile Research, 2018, 39(11): 45-49.
doi: 10.13475/j.fzxb.20180105105
[4] 常玉萍, 马丕波. 负泊松比经编间隔织物的准静态拉伸性能[J]. 纺织学报, 2018, 39(4): 47-53.
CHANG Yuping, MA Pibo. Tensile properties under quasi-static of auxetic warp-knitted spacer fabrics[J]. Journal of Textile Research, 2018, 39(4): 47-53.
[5] TAHIR D, ZHANG M, HU H. Auxetic materials for personal protection: a review[J]. Physica Status Soli-di (B), 2022, 259(12): 1-13.
[6] ANDREA S, DAVIDE C. Negative Poisson's ratio lattice for designing vertebral biomaterials[J]. Mechanics of Advanced Materials and Structures, 2021, 29(27): 1-8.
[7] CHEN L J, CHEN C Y, JIN L, et al. Stretchable negative Poisson's ratio yarn for triboelectric nanogenerator for environmental energy harvesting and self-powered sensor[J]. Energy and Environmental Science, 2021, 14(2): 955-964.
[8] 周铭, 杜赵群. 负泊松比结构纺织材料的研究进展[J]. 纺织学报, 2014, 35(2): 99-108.
ZHOU Ming, DU Zhaoqun. Research advances in negative Poisson's ratio structured textile mate-rials[J]. Journal of Textile Research, 2014, 35(2): 99-108.
[9] CHEN J L, DU Z Q. Structural design and performance characterization of stable helical auxetic yarns based on the hollow-spindle covering system[J]. Textile Research Journal, 2020, 90(3/4): 271-281.
[10] 刘赛, 郑冬明, 潘行星, 等. 交叉螺旋结构拉胀纱线及其织物的成形与表征[J]. 纺织学报, 2019, 40(2): 26-29.
LIU Sai, ZHENG Dongming, PAN Xingxing, et al. Formation and characterization of auxetic yarns with interlaced-helical structure and fabrics[J]. Journal of Textile Research, 2019, 40(2): 26-29.
[11] 刘赛, 杜赵群, 于伟东. 负泊松比功能的结构复合纺纱技术进展[J]. 毛纺科技, 2020, 48(6): 8-12.
LIU Sai, DU Zhaoqun, YU Weidong. Spinning technology of complex structure with negative Poisson's ratio[J]. Wool Textile Journal, 2020, 48(6): 8-12.
[12] LIM T C. Semi-auxetic yarns[J]. Physica Status Solidi(B), 2014, 251(2): 273-280.
[13] ZHANG G, GHITA O, EVANS K E. The fabrication and mechanical properties of a novel 3-component auxetic structure for composites[J]. Composites Science and Technology, 2015, 117: 257-267.
[14] MUSHTAQ B, AHMAD A, ALI Z, et al. Core spun based helical auxetic yarn: a novel structure for wearable protective textiles[J]. Journal of Natural Fibers, 2022, 19(16): 1-13.
[15] MILLER W, REN Z, SMITH C W, et al. A negative Poisson's ratio carbon fibre composite using a negative Poisson's ratio yarn reinforcement[J]. Composites Science and Technology, 2012, 72(7): 761-766.
[16] WRIGHT J R, SLOAN M R, EVANS K E. Tensile properties of helical auxetic structures: a numerical study[J]. Journal of Applied Physics, 2010, 108(4): 124-707.
[17] 郭宇微. 抗菌保暖包芯包缠复合纱的生产[J]. 棉纺织技术, 2021, 49(5): 56-60.
GUO Yuwei. Production of antibacterial thermal insulation core-wrapped composite yarn[J]. Cotton Textile Technology, 2021, 49(5): 56-60.
[18] 李丹丹, 权利军, 金肖克, 等. 氨纶与双组分复合长丝/棉包芯纱的拉伸弹性[J]. 纺织学报, 2017, 38(5): 31-36.
LI Dandan, QUAN Lijun, JIN Xiaoke, et al. Tensile elasticity of spandex and bi-component filament/cotton core-spun yarn[J]. Journal of Textile Research, 2017, 38(5): 31-36.
[19] 周铭. 负泊松比纱线的结构成形及建模表征[D]. 上海: 东华大学, 2014: 26-28.
ZHOU Ming. Study on structure formation and modeling of negative Poisson's ratio yarn[D]. Shanghai: Donghua University, 2014: 26-28.
[20] LIU S, CHEN H Y, LI Y Z, et al. Design, Manufacture, and characterization of auxetic yarns with multiple core/wrap structure by braiding method[J]. Materials, 2022, 15(18): 6300-6308.
[1] ZUO Qi, WU Huawei, WANG Chunhong, DU Juanjuan. Effect of yarn structure on tensile properties of ramie staple yarn reinforced composites [J]. Journal of Textile Research, 2023, 44(10): 81-89.
[2] LIU Shuai, GUO Chenyu, CHEN Hewen, YANG Ruihua. Model analysis on structure of ring spun Sirofil wrapped yarn and its property optimization [J]. Journal of Textile Research, 2023, 44(04): 63-69.
[3] SHI Jingjing, YANG Enlong. Analysis of structure and properties of cotton/wool siro segment colored yarns [J]. Journal of Textile Research, 2023, 44(03): 55-59.
[4] WANG Jun, SHI Qianqian, LI Ling, ZHANG Yuze. Research progress of dual-feed-opening rotor spinning technology [J]. Journal of Textile Research, 2022, 43(08): 12-20.
[5] CAO Qiaoli, LI Hao, QIAN Lili, YU Chongwen. Effect of sliver blending parameters on blending irregularity of article blended yarn [J]. Journal of Textile Research, 2022, 43(02): 81-88.
[6] LI Hao, XING Mingjie, SUN Zhihao, WU Yao. Exploration of image-based testing method for yarn twist in air-jet vortex spinning [J]. Journal of Textile Research, 2021, 42(02): 60-64.
[7] LIU Sai, ZHENG Dongming, PAN Xingxing, LIU Gui, DU Zhaoqun. Formation and characterization of auxetic yarns with interlaced-helical structure and fabrics [J]. Journal of Textile Research, 2019, 40(02): 26-29.
[8] . Structure and performances of double channel digital ring spinning melange yarn [J]. Journal of Textile Research, 2018, 39(11): 27-32.
[9] . Comparative analysis of conventional and self twist jet vortex spinning [J]. JOURNAL OF TEXTILE RESEARCH, 2018, 39(01): 25-31.
[10] . Mechanism and characteristics of digital rotor spun yarn [J]. JOURNAL OF TEXTILE RESEARCH, 2017, 38(11): 32-35.
[11] . Influence of filament distribution pattern on properties of composite yarns [J]. JOURNAL OF TEXTILE RESEARCH, 2017, 38(09): 32-39.
[12] . Structure and moisture conductivity of compact-siro spinning pure polyester yarns [J]. JOURNAL OF TEXTILE RESEARCH, 2017, 38(03): 38-43.
[13] . Influence of composite yarn's structures on yarn strength efficiency [J]. JOURNAL OF TEXTILE RESEARCH, 2017, 38(02): 99-105.
[14] . Influence of tuck ratio and times on roperties of single tuck sweater fabric [J]. JOURNAL OF TEXTILE RESEARCH, 2016, 37(08): 54-58.
[15] . Determination of sewing parameters for knitted fabric [J]. JOURNAL OF TEXTILE RESEARCH, 2015, 36(09): 94-99.
Viewed
Full text


Abstract

Cited

  Shared   
  Discussed   
No Suggested Reading articles found!