Journal of Textile Research ›› 2024, Vol. 45 ›› Issue (11): 21-28.doi: 10.13475/j.fzxb.20230903501

• Fiber Materials • Previous Articles     Next Articles

Preparation of zein/ethylene-vinyl alcohol copolymer composite filter by electrostatic spinning and its air filtration performance

YUE Tiantian1, ZHENG Shuai1, HU Jing1, LIU Yuqing1, LIN Jinyou2()   

  1. 1. College of Textile and Apparel Engineering, Soochow University, Suzhou, Jiangsu 215127, China
    2. Shanghai Advanced Institute, Chinese Academy of Sciences, Shanghai 201210, China
  • Received:2023-09-14 Revised:2024-02-18 Online:2024-11-15 Published:2024-12-30
  • Contact: LIN Jinyou E-mail:linjinyou@zjlab.org.cn

Abstract:

Objective Particulate pollutants in the air are the main cause for air pollution, threatening public health and ecological environment. The requirements for air quality around the world are becoming more and more stringent. However, traditional petroleum-based synthetic polymer fiber filter materials may cause secondary pollution to the environment due to their non-degradable properties. Therefore, it is of great significance to study biodegradable air filtration materials. Due to the good membrane forming, biodegradability, biocompatibility and rich functional groups of zein, more and more research has been carried out in the field of air filtration in recent years.

Method Using ethylene-vinyl alcohol copolymer (EVOH) and zein as raw materials, the mixed fiber membranes of zein and EVOH were prepared by single-needle two-component and double-needle two-component electrospinning, respectively. The fiber morphology prepared by two different electrospinning methods was studied, and the filtration performance and mechanical properties were compared and analyzed by attaching the nanofiber membrane to the commercial cellulose paper towel to form a composite filtration.

Results The EVOH/zein composite filter prepared by two-needle two-component electrospinning showed better performance than the single-needle two-component electrospinning EVOH/zein-n filter. Under the condition of controlling the weight, the filtration efficiency of the single-needle two-component electrospinning EVOH/zein-n filter was 26.8%-50.7%, the pressure drop was 19.2-39.6 Pa, while the pressure drop of the pure EVOH filter was 45.2 Pa. The filtration efficiency of the two-needle two-component electrospinning EZr filter is 43.2%-93.0%, and the pressure drop was 10.1-74.6 Pa. Among them, the EZ20 filter has the best filtration performance, the filtration efficiency reached 94.5%, and the quality factor of the EZr composite filter was greater than that of the pure EVOH and zein filters. Under the condition of controlling the flow rate, when the zein concentration was 20%, the air filtration stability of the EVOH / zein mixed filter was the best, the filtration efficiency increased from 92.45% to 98.19%. With the increase of flow rate, the pressure drop of the filter also increased, from 34.9 Pa to 184.5 Pa. When the particle size was 3-5 μm, the over-rate efficiency of the pure EVOH filter was 96.13%, while the EZr filter achieved 100% filtration efficiency, and EZ20 achieved about 100% filtration efficiency for PM0.5-PM3 including PM2.5. In addition, the breaking strength of EZr fiber membrane was between that of pure zein fiber membrane and pure EVOH fiber membrane, and the breaking strength of EZ20 fiber membrane was 72.87 cN, which is 7 times that of pure zein fiber membrane.

Conclusion An environmentally friendly EVOH/zein filter was prepared by electrospinning EVOH/zein nanofibers on cellulose paper towels. By studying the single-needle two-component and double-needle two-component electrospinning, it is found that the EVOH/zein composite fiber prepared by single-needle two-component electrospinning is a circular structure with smooth surface, which is different from the flat ribbon zein fiber. It is not conducive to capturing particulate pollutants and shows poor air filtration performance. In the EVOH/zein composite filter prepared by double-needle opposite electrospinning, circular EVOH fibers and flat ribbon zein fibers are interlaced, and have the same filtration efficiency and lower pressure drop as the pure zein filter. In the study of mechanical properties, the mechanical properties of the prepared filter were significantly improved by mixing EVOH fiber with zein fiber, leading to good stress and strain. The mechanical properties also show more obvious advantages. This study will provide ideas for the further development of air filters.

Key words: zein, ethylene-vinyl alcohol copolymer, counter-jet electrospinning, air filter, composite filter material

CLC Number: 

  • TQ341.5

Fig.1

Schematic diagram of electrospinning. (a) Single needle two-component electrospinning; (b) Two-needle two-component counter-electrospinning"

Fig.2

SEM images of EVOH/zein"

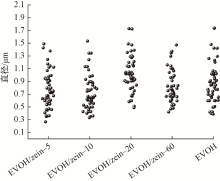
Fig.3

Fiber diameter distribution of EVOH/zein-n"

Tab.1

Filtration performance of EVOH/zein-n with different areal density"

样品
编号
过滤效率/% 压降/Pa
0.4
g/m2
0.8
g/m2
1.2
g/m2
0.4
g/m2
0.8
g/m2
1.2
g/m2
EZ5 26.8 37.5 50.7 6.3 11.7 19.2
EZ10 29.3 36.5 49.7 5.9 13.1 21.7
EZ20 28.4 39.7 48.1 5.2 12.5 20.3
EZ60 27.8 33.1 39.6 27.8 33.1 39.6
EVOH 27.0 35.2 45.2 27.0 35.2 45.2

Fig.4

SEM images of EZr before (a) and after (b) filtration"

Fig.5

Diameter and bandwidth distribution of EZr"

Fig.6

FT-IR spectra of EVOH, zein and EZr"

Tab.2

Filtration performance of EZr of different areal density"

样品
编号
过滤效率/% 压降/Pa 品质因数/Pa-1
1 g/m2 3 g/m2 7 g/m2 1 g/m2 3 g/m2 7 g/m2 1 g/m2 3 g/m2 7 g/m2
EZ15 43.2 51.3 69.2 10.1 15.8 30.7 0.056 0.045 0.041
EZ20 63.2 88.8 94.5 19.3 58.3 74.6 0.052 0.038 0.036
EZ25 55.9 68.0 79.2 12.3 29.1 45.6 0.060 0.039 0.034
EVOH 45.2 55.4 60.5 16.0 26.8 39.5 0.038 0.023 0.026
zein 60.2 72.0 93.0 24.0 77.0 111.2 0.032 0.026 0.024

Fig.7

Mechanical properties of EZr. (a) Breaking strength and breaking elongation; (b) Stress-strain curves"

Fig.8

Filtration efficiency and pressure drop of EZ20 under 40 repeated tests (a) and at different air velocities (b)"

Fig.9

Filtration efficiency of filter for particles of different sizes"

[1] QUAN Zhenzhen, ZU Yao, WANG Yihan, et al. Slip effect based bimodal nanofibrous membrane for high-efficiency and low-resistance air purification[J]. Separation and Purification Technology, 2021. DOI:10.1016/j.seppur.2021.119258.
[2] FAN Xin, RONG Lingshuang, KONG Lushi, et al. Tug-of-war-inspired bio-based air filters with advanced filtration performance[J]. ACS Applied Materials & Interfaces, 2021, 13(7): 8736-8744.
[3] XIONG Zhenjun, LIN Jinyou, LI Xiuhong, et al. Hierarchically structured nanocellulose-implanted air filters for high-efficiency particulate matter removal[J]. ACS Applied Materials & Interfaces, 2021, 13(10): 12408-12416.
[4] 万雨彩, 刘迎, 王旭, 等. 聚乙烯醇-乙烯共聚物纳米纤维增强聚丙烯微米纤维复合空气过滤材料的结构与性能[J]. 纺织学报, 2020, 41(4):15-20.
WAN Yucai, LIU Ying, WANG Xu, et al. Structure and properties of polyvinyl alcohol-ethylene copolymer nanofiber reinforced polypropylene microfiber composite air filtration materials[J]. Journal of Textile Research, 2020, 41(4):15-20.
[5] WANG Chunya, WU Shuyi, JIAN Muqiang, et al. Silk nanofibers as high efficient and lightweight air filter[J]. Nano Research, 2016, 9(9): 2590-2597.
[6] 任雪梅, 南力彰, 李旭凯. 玉米胚乳醇溶蛋白合成的分子机制研究进展[J]. 山西农业科学, 2021, 49(11):1355-1360.
REN Xuemei, NAN Lizhang, LI Xukai. Research progress on the molecular mechanism of maize endosperm prolamin synthesis[J]. Shanxi Agricultural Sciences, 2021, 49(11): 1355-1360.
[7] HU Jing, XIONG Zhenjun, LIU Yuqing, et al. A biodegradable composite filter made from electrospun zein fibers underlaid on the cellulose paper towel[J]. International Journal of Biological Macromolecules, 2022, 204: 419-428.
doi: 10.1016/j.ijbiomac.2022.02.029 pmid: 35151705
[8] LIU Juejing, DUNNE Francis O, FAN Xin, et al. A protein-functionalized microfiber/protein nanofiber bi-layered air filter with synergistically enhanced filtration performance by a viable method[J]. Separation and Purification Technology, 2019. DOI:10.1016/j.seppur.2019.115837.
[9] 李家鸣. 乙烯-乙烯醇共聚物 (EVOH) 性能及发展现状[J]. 安徽科技, 2018(4): 54-56.
LI Jiaming. Properties and development status of ethylene-vinyl alcohol copolymer (EVOH)[J]. Anhui Science and Technology, 2018(4): 54-56.
[10] MONDRAGÓN Margarita, LÓPEZ-VILLEGAS Oliver, SÁNCHEZ-VALDÉS Saúl, et al. Effect of thermoplastic starch and photocrosslinking on the properties and morphology of electrospun poly (ethylene-co-vinyl alcohol) mats[J]. Polymer Engineering & Science, 2020, 60(3): 474-480.
[11] DENG Lingli, ZHANG Xi, LI Yang, et al. Characterization of gelatin/zein nanofibers by hybrid electrospinning[J]. Food Hydrocolloids, 2018, 75: 72-80.
[12] THOMAS D, CONTAL P, RENAUDIN V, et al. Modelling pressure drop in heap filters during dynamic filtration[J]. Journal of Aerosol Science, 1999, 30(2): 235-246.
[1] ZHU Wenni, XU Runnan, HU Diefei, YAO Juming, MILITKY Jiri, KREMENAKOVA Dana, ZHU Guocheng. Simulation analysis of filtration characteristics of fiber materials based on random algorithm [J]. Journal of Textile Research, 2022, 43(09): 76-81.
[2] LIU Chaojun, LIU Junjie, DING Yike, MA Shaofeng, ZHANG Xiuqin, ZHANG Jianqing. Preparation and properties of expanded polytetrafluoroethylene membrane composites with high dust holding capacity for high efficiency air filtration [J]. Journal of Textile Research, 2021, 42(05): 31-37.
[3] . Preparation and filtration performance of polyacrylonitrile graded composite nanofiber membrane [J]. Journal of Textile Research, 2018, 39(09): 1-7.
[4] . Air filtration performance of polyether sulfone nonwoven composite membranes [J]. JOURNAL OF TEXTILE RESEARCH, 2018, 39(07): 55-62.
[5] . Preparation and properties of electrospun polyacrylonitrile nanofiber coated window screen [J]. JOURNAL OF TEXTILE RESEARCH, 2018, 39(04): 14-18.
[6] . Influence of PPS fibers on sstructure and mechanical properties of basalt/PPS needle-punched composite filter materials [J]. JOURNAL OF TEXTILE RESEARCH, 2013, 34(7): 5-9.
[7] . Properties and new product developement of automobile air filter filtration material [J]. JOURNAL OF TEXTILE RESEARCH, 2013, 34(6): 58-66.
[8] SONG Yeping;XIONG Jie;XIE Junjun;HUO Pengfei;WANG Yongpan;SUN Fang. Process optimization and prediction model of diameter for electrospun zein nanofibers [J]. JOURNAL OF TEXTILE RESEARCH, 2009, 30(07): 6-9.
[9] CHEN Gangjin;XIAO Huiming;WANG Yaoxiang. Charge characteristics and stability of non-woven polypropylene fabric electrets [J]. JOURNAL OF TEXTILE RESEARCH, 2007, 28(9): 125-128.
Viewed
Full text


Abstract

Cited

  Shared   
  Discussed   
No Suggested Reading articles found!