Journal of Textile Research ›› 2025, Vol. 46 ›› Issue (12): 142-151.doi: 10.13475/j.fzxb.20250304301

• Dyeing and Finishing Engineering • Previous Articles     Next Articles

Synthesis and dyeing properties of acid dyes containing bio-based moieties

CHEN Ming1, ZHANG Hao1, ZHANG Ziyuan1, YANG Qingbiao1, GAO Ji1, FAN Cunwei1, SUN Jie2()   

  1. 1. College of Biotechnology and Pharmaceutical Engineering, Nanjing Tech University, Nanjing, Jiangsu 211816, China
    2. College of Food Science and Light Industry, Nanjing Tech University, Nanjing, Jiangsu 211816, China
  • Received:2025-03-21 Revised:2025-09-21 Online:2025-12-15 Published:2026-02-06
  • Contact: SUN Jie E-mail:sunjie5516@126.cm

Abstract:

Objective Dyes are indispensable in the textile industry, and a large amount of dyes are consumed every year. In view of the problem that acid dyes synthesized with aromatic amines are banned due to carcinogenicity, it is of great importance to study for more eco-friendly and safer synthetic dyes. Novel anthraquinone acid dyes were prepared in this research by using bio-based amines and bromamine acid as raw materials, and their performance in wool dyeing was tested, aiming to obtain a dye containing a bio-based moieties.

Method Bio-based amines like L-lysine, 1,5-diaminopentane (decarboxylated from L-lysine), and 2-furanmethylamine were used to synthesize three acid dyes with bromamine acid by the Ullmann reaction. Their structural characterizations were carried out using 1H NMR spectra, 13C NMR spectra and FT-IR spectra. The dyeing properties of these dyes on wool fabrics were investigated using a UV-vis spectrophotometer and a color measurement instrument. Their dyeing performance was compared with Acid Blue 25, a dye that is commercially available. Dyeing kinetics and adsorption isotherms models of these novel dyes were also examined.

Results The structure of the three novel anthraquinone acid dyes (D1-D3) containing bio-based components was confirmed by 1H NMR,13C NMR spectra and FT-IR spectra. The maximum absorption wavelengths (λmax) of the three dyes were 584, 594, and 540 nm, separately. When the wool fabric was dyed at pH 6 and 98 ℃ without any leveling agent, the dye-uptake was high, with 96.5% for D1, 83.3% for D2, 97.5% for D3, and 97.1% for Acid Blue 25, and the dye-uptake of D1 and D3 were close to that of Acid Blue 25. The half-dyeing time (t1/2) was 9.5 min for D1, 18 min for D2, and 8.5 min for D3, which was shorter than that of the Acid Blue 25 (25.6 min), indicating that the three bio-based acid dyes had faster dyeing rates. The standard deviation and substantivity values of D3 were 0.37 and 1 922.2, which were the best among the synthesized acid dyes and significantly better than those of Acid Blue 25, suggesting D3 had good leveling properties and substantivity. D1 and D2 exhibited σ and K values similar to Acid Blue 25, implying analogous leveling properties and substantivity. The K/S value increased from 4.2 to 25.2 for D1 dyed wool fabrics, from 7.8 to 36 for D2 dyed fabrics, and from 3.6 to 24.6 for D3 dyed fabrics, when the dye concentration increased from 0.5%(o.w.f) to 4%(o.w.f), and this signified D1-D3 had great build-up properties. The results of adsorption isotherms showed that the adsorption of D1-D3 on wool fabrics conformed to the monolayer adsorption characteristics and the Langmuir adsorption isotherm. The adsorption processes of the three dyes were consistent with the pseudo-second-order kinetic model, with determination coefficients (R2) all above 0.997. In terms of color fastness, washing fastness and rubbing fastness were above grade 3, and light fastness was above grade 6.

Conclusion In summary, three novel anthraquinone acid dyes were synthesized and characterized. The dyeing rate of these synthetic acid dyes was high and had a high exhaustion rate. The dyes containing bio-based components had good build-up properties, leveling properties, substantivity. The dyeing properties of D1-D3 were not weaker than the commercial Acid Blue 25 dye. The adsorption of dyes on wool conforms to the Langmuir adsorption isotherm. The pseudo-second-order kinetic model was favorable to describe the wool dyeing of the three dyes compared to the pseudo-first-order kinetic model. In terms of color fastness, the color fastness to washing and rubbing of dye D1-D3 were above grade 3, and the color fastness to light was above grade 6.

Key words: dyeing, dyeing kinetics, acid dye, adsorption isotherm, wool fabric

CLC Number: 

  • TQ615.1

Fig.1

Synthesis route of bromamine-derived acid dyes"

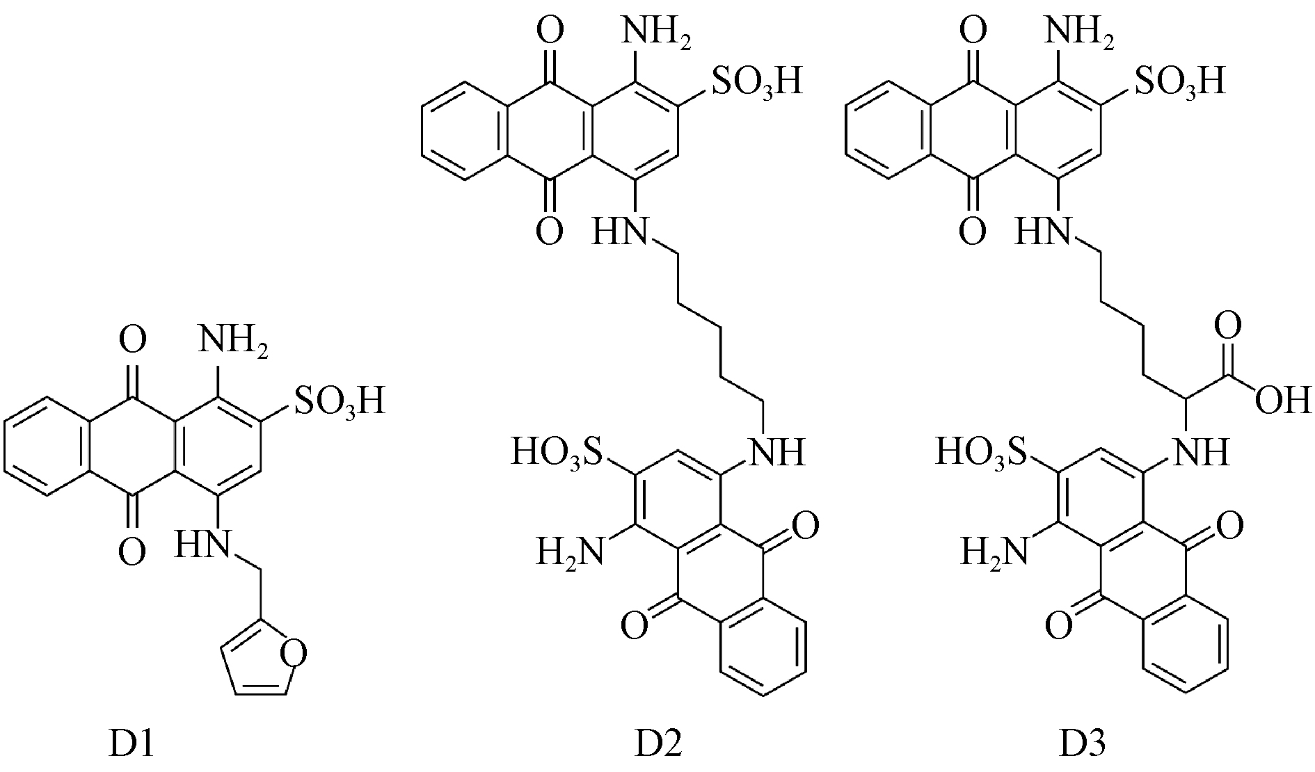
Fig.2

Chemical structures of three dye molecules"

Fig.3

Dyeing process"

Tab.1

1H NMR, and 13C NMR of D1-D3"

染料
编号
化学位移
核磁共振氢谱
(400 MHz,重水)
核磁共振碳谱
(101 MHz,重水)
D1 8.28 ~ 8.19 (m, 2H), 7.87 (s, 1H), 7.84 ~ 7.77 (m, 2H), 7.63 (d, 1H), 6.43 (dd, 1H), 6.37 (d, 1H), 4.67 (s, 2H) 177.66, 146.95, 143.80, 142.13, 138.94, 136.05, 135.92, 131.31, 126.97, 116.84, 113.73, 113.05, 110.76, 107.61, 39.52
D2 8.25 (tt, 4H), 7.83~ 7.78 (m, 4H), 7.76 (s, 2H), 2.69 ~ 2.65 (m, 4H), 1.73~ 1.66 (m, 4H), 1.09~ 1.02 (m, 2H) 185.85, 174.74, 141.66, 138.41, 134.21, 133.52, 131.98, 126.75, 117.14, 114.15, 113.76, 70.36, 50.15, 31.18, 30.35, 19.47
D3 8.28 ~ 8.21 (m, 4H), 7.83 ~ 7.77 (m, 4H), 7.74 (s, 2H), 4.38 (t, 1H), 3.27~ 3.21 (m, 2H), 2.33 (q, 2H), 2.05 ~ 1.95 (m, 2H), 1.47 ~ 1.39 (m, 2H) 186.75, 143.11, 139.02, 134.01, 133.55, 132.28, 125.96, 116.74, 114.77, 114.03, 49.92, 32.53, 23.44

Fig.4

FT-IR spectra of dyes and bromamine acid"

Tab.2

Percentages of dye exhaustion at different pH"

染料
编号
上染率E/%
pH=3 pH=4 pH=6 pH=7
D1 96.2 95.5 96.5 48.2
D2 80.1 83.4 83.3 68.4
D3 97.3 97.3 97.5 90.0

Fig.5

Percentages of dye exhaustion with different sodium sulfate mass concentration"

Tab.3

Effect of sodium sulfate mass concentrations"

染料
编号
不同硫酸钠质量浓度下的匀染性(σ值)
0 g/L 0.2 g/L 0.4 g/L 0.8 g/L 1.0 g/L
D1 0.98 0.91 0.86 0.77 0.72
D2 0.90 0.88 0.80 0.71 0.69
D3 0.37 0.37 0.33 0.26 0.22

Tab.4

Color parametres of dyes"

染料编号 K/S L* a* b* C* H*
D1 16.1 27.23 7.31 -26.55 29.53 282.39
D2 20.8 27.61 7.30 -33.78 36.56 278.19
D3 13.2 39.09 10.06 -13.25 18.64 307.20

Fig.6

Effect of dye dosage on K/S"

Fig.7

Exhaustion rate curves of dyes on wool fabrics"

Tab.5

σ,t1/2 and K value of dyes"

染料 σ t1/2/min K
D1 0.98 9.5 1 389.5
D2 0.90 18 244.4
D3 0.37 8.5 1 922.2
AB25 0.93 25.6 1 650.7

Fig.8

Adsorption isotherms for D1-D3"

Fig.9

Freundlich adsorption isotherms"

Tab.6

Equations and parameters for different adsorption models"

染料
编号
Freundlich吸附等温线 Langmuir吸附等温线
方程 KF m R2 方程 K1 Q0 RL R2
D1 lnqe=2.23+0.95lnCe 9.29 1.05 0.960 1 q e=0.025+0.13 1 C e 0.19 40 0.06~0.84 0.971
D2 lnqe=0.11+1.21lnCe 1.12 0.83 0.996 1 q e=0.012+1.02 1 C e 0.01 83.33 0.56~0.99 0.985
D3 lnqe=2.27+0.64lnCe 9.68 1.56 0.934 1 q e=0.022+0.060 1 C e 0.37 45.45 0.03~0.73 0.962

Fig.10

Langmuir adsorption isotherms"

Fig.11

Adsorption curves of wool fabrics on D1-D3"

Fig.12

Pseudo-first-order kinetic models for different dyes"

Tab.7

Adsorption kinetics for different dyes"

染料
编号
qe/(mg·g-1) 伪一级动力学模型 伪二级动力学模型
k1 qe,cal/(mg·g-1) R2 k2 qe,cal/(mg·g-1) R2
D1 18.7 0.112 7.01 0.756 0.053 6 16.9 0.997
D2 17.8 0.108 5.47 0.846 0.071 5 17.6 0.999
D3 23.2 0.123 5.75 0.712 0.067 6 23.2 0.999

Fig.13

Pseudo-second-order equation of different dyes"

Tab.8

Color fastness of D1-D3 on wool fabrics 级"

染料
编号
耐摩擦色牢度 耐皂洗色牢度 耐光色
牢度
湿 变色 沾色
羊毛
D1 4 4 5 4~5 5 7~8
D2 5 4~5 4~5 4~5 4~5 7~8
D3 4~5 4 4 4 3 6~7
AB25 5 5 5 5 5 7~8
[1] WANG H Y, WANG G W, ZHENG C L, et al. Synthesis of acid dyes containing polyetheramine moieties and their low-temperature dyeing properties on wool fiber[J]. Journal of Applied Polymer Science, 2018, 135(6): 45793.
doi: 10.1002/app.v135.6
[2] 罗巧玲, 付少海, 王冬, 等. 生物基锦纶56弱酸性染料仿绿色植被染色[J]. 纺织学报, 2025, 46(2): 130-137.
LUO Qiaoling, FU Shaohai, WANG Dong, et al. Dyeing of bio-based polyamide 56 with weak acidic dyes for green vegetation imitation[J]. Journal of Textile Research, 2025, 46(2): 130-137.
[3] 穆振义. 乌尔曼反应在染料合成中的应用[J]. 染料与染色, 1984, 37(3): 1-7.
MU Zhenyi. Application of Ullmann reaction in dye synthesis[J]. Dyestuffs and Coloration, 1984, 37(3): 1-7.
[4] HUANG H F, MA W, TANG B T, et al. Properties of a novel acid dye 1-amino-4-[(6-nitro-2-benzothiazolyl)amino]-9, 10-anthraquinone-2-sulfonic acid with anti-UV capability[J]. Chinese Chemical Letters, 2010, 21(4): 417-420.
doi: 10.1016/j.cclet.2009.11.010
[5] 刘金源. 纺织品中新增致癌芳香胺及其胺盐检测技术研究[D]. 青岛: 青岛科技大学, 2023: 1-16.
LIU Jinyuan. Study on the detection technology of carcinogenic aromatic amines and their salts in tex-tiles[D]. Qingdao: Qingdao University of Science & Technology, 2023: 1-16.
[6] DO K L, SU M, MUSHTAQ A, et al. Dyeing of silk with natural lac dye from laccifer lacca Kerr. and evaluation of antibacterial and UV-protective proper-ties[J]. Fibers and Polymers, 2023, 24(8): 2773-2783.
doi: 10.1007/s12221-023-00254-0
[7] 叶华, 刘占鳌, 高叶. 桑叶提取物在天然纺织品染色中的效果[J]. 印染助剂, 2025, 42(5): 53-56.
YE Hua, LIU Zhan'ao, GAO Ye. Effect of mulberry leaf extract in the dyeing of natural textiles[J]. Textile Auxiliaries, 2025, 42(5): 53-56.
[8] 朱文卿, 郭腾龙, 张波. 生物质转化制备含氮化合物研究进展[J]. 中国科学: 化学, 2025, 55(1): 50-68.
ZHU Wenqing, GUO Tenglong, ZHANG Bo. Progress on the sustainable production of N-containing compounds from biomass[J]. Scientia Sinica: Chimica, 2025, 55(1): 50-68.
doi: 10.1360/SSC-2024-0250
[9] 王均成, 王文风. L-赖氨酸发酵生产研究进展[J]. 发酵科技通讯, 2010, 39(4): 39-43.
WANG Juncheng, WANG Wenfeng. Research progress of L-lysine fermentation production[J]. Bulletin of Fermentation Science and Technology, 2010, 39(4): 39-43.
[10] 鲁盼盼, 安宁, 郑舒言, 等. 生物基聚己二酸戊二胺(PA56)的性能及应用[J]. 化工新型材料, 2024, 52(S2): 99-103.
LU Panpan, AN Ning, ZHENG Shuyan, et al. Properties and applications of bio-based poly(pentamethylene adipamide)(PA56)[J]. New Chemical Materials, 2024, 52(S2): 99-103.
[11] 蔺琨, 李壮, 王坤, 等. 生物合成尼龙新材料核心单体二元胺研究进展[J]. 过程工程学报, 2023, 23(7): 958-971.
doi: 10.12034/j.issn.1009-606X.223147
LIN Kun, LI Zhuang, WANG Kun, et al. Advances in biosynthesis of diamine as core monomers of new nylon materials[J]. The Chinese Journal of Process Engineering, 2023, 23(7): 958-971.
doi: 10.12034/j.issn.1009-606X.223147
[12] LI W, LI H, WU C H, et al. An effective synthesis of bio-based pentamethylene diisocyanate in a jet loop reactor[J]. Chemical Engineering Journal, 2021, 425: 131527.
doi: 10.1016/j.cej.2021.131527
[13] SUN J, WANG H Y, ZHENG C L, et al. Synthesis of some surfactant-type acid dyes and their low-temperature dyeing properties on wool fiber[J]. Journal of Cleaner Production, 2019, 218: 284-293.
doi: 10.1016/j.jclepro.2019.01.341
[14] SIVENDRAN N, BELITZ F, SOWA PRENDES D, et al. Photochemical sandmeyer-type halogenation of arenediazonium salts[J]. Chemistry-A European Journal, 2022, 28(9): e202103669.
doi: 10.1002/chem.v28.9
[15] LIU H B, LI Y L, XIAO S Q, et al. Control growth of one-dimensional nanostructures of organic materials[J]. The Journal of Physical Chemistry B, 2004, 108(23): 7744-7747.
doi: 10.1021/jp049455r
[16] WANG C F, SUN J Q, LIU X D, et al. Synthesis and copolymerization of fully bio-based benzoxazines from guaiacol, furfurylamine and stearylamine[J]. Green Chemistry, 2012, 14(10): 2799-2806.
doi: 10.1039/c2gc35796h
[17] GONZÁLEZ Y I, KALER E W. Fibrous assemblies and water gelation in mixtures of lysine with sodium alkyl sulfates[J]. Langmuir, 2005, 21(16): 7191-7199.
pmid: 16042441
[18] KOREISHI M, ZHANG D M, IMANAKA H, et al. A novel acylase from Streptomyces mobaraensis that efficiently catalyzes hydrolysis/synthesis of capsaicins as well as N-acyl-L-amino acids and N-acyl-peptides[J]. Journal of Agricultural and Food Chemistry, 2006, 54(1): 72-78.
pmid: 16390180
[19] HIHARA T, OKADA Y, MORITA Z. The aggregation of triphenodioxazine reactive dyes in aqueous solution and on cellulosic and nylon substrates[J]. Dyes and Pigments, 2000, 45(2): 131-143.
doi: 10.1016/S0143-7208(00)00013-9
[20] CUI J H, ZHANG S F. Synthesis and application of a novel, triphendioxazine-based, phosphorus-containing acid dye for wool[J]. Coloration Technology, 2018, 134(5): 381-389.
doi: 10.1111/cote.2018.134.issue-5
[21] FEIZ M, NOROUZI H. Dyeing and adsorption studies of madder (rubia tinctorum) on wool fibers[J]. Materials Science, 2015, 21(1): 81-86.
doi: 10.5755/j01.ms.21.1.5150
[22] 王洪新, 张鹏, 叶建, 等. 沸石咪唑骨架-67纳米粒子对亮绿染料的吸附行为研究[J]. 洛阳理工学院学报(自然科学版), 2022, 32(2): 7-12.
WANG Hongxin, ZHANG Peng, YE Jian, et al. Study on the adsorption behavior of zeolitic imidazole framework-67 nanoparticles for brilliant green dye[J]. Journal of Luoyang Institute of Science and Techno-logy (Natural Science Edition), 2022, 32(2): 7-12.
[23] 贺艳, 黄致广, 李云龙. 稻壳生物炭对甲基橙和罗丹明B的吸附研究[J]. 针织工业, 2025(1): 42-47.
HE Yan, HUANG Zhiguang, LI Yunlong. Adsorption of methyl orange and rhodamine B dyes by rice husk biochar[J]. Knitting Industries, 2025(1): 42-47.
[24] MCKAY G, BLAIR H S, GARDNER J R. Adsorption of dyes on chitin. I. equilibrium studies[J]. Journal of Applied Polymer Science, 1982, 27(8): 3043-3057.
doi: 10.1002/app.07.v27:8
[25] VUCKOVIC N, NIKODIJEVIC M, DJORDJЕVIC D. The study of direct dye sorption on flax fibers during dyeing[J]. Chemical Industry and Chemical Engineering Quarterly, 2021, 27(3): 255-263.
doi: 10.2298/CICEQ200503043V
[26] CHAIRAT M, RATTANAPHANI S, BREMNER J B, et al. An adsorption and kinetic study of lac dyeing on silk[J]. Dyes and Pigments, 2005, 64(3): 231-241.
doi: 10.1016/j.dyepig.2004.06.009
[27] 韩虎, 李伟婷, 魏会芳, 等. 酸性染料易染氨纶的染色动力学[J]. 纺织学报, 2019, 40(8): 76-79.
HAN Hu, LI Weiting, WEI Huifang, et al. Dyeing kinetics of dyeable spandex fiber with acid dye[J]. Journal of Textile Research, 2019, 40(8): 76-79.
[1] SONG Jiayi, WANG Zhengyi, CHENG Xianwei, GUAN Jinping, ZHU Yawei. Preparation of liquid indigo dye and its dyeing performance on cotton fabrics [J]. Journal of Textile Research, 2025, 46(12): 133-141.
[2] ZHOU Qingqing, CHANG Shuo, MAO Zhiping, WU Wei. Research progress in applications of artificial intelligence in dyeing and finishing industry [J]. Journal of Textile Research, 2025, 46(12): 260-269.
[3] MA Yingyuan, LI Jianfang, HU Yi. Dyeing performance of silk fabrics with Reactive Red 195 in water-less solution in isoalkane system [J]. Journal of Textile Research, 2025, 46(11): 178-187.
[4] LIU Shuang, REN Jiacheng, DING Kai, CHEN Huimin, YUE Xiaoli. Simulation and numerical experiment of spatiotemporal evolution of stress-strain field during open width printing and dyeing process of weft knitted fabrics [J]. Journal of Textile Research, 2025, 46(11): 221-229.
[5] WANG Xuelin, HU Wanjin, ZHOU Sijie, DU Lixin, XIA Liangjun, XU Weilin. Research progress in color construction of Lyocell fiber and its products [J]. Journal of Textile Research, 2025, 46(11): 247-254.
[6] JIN Shaote, YAN Kelu, HUANG Jinjie, CHEN Defang, SHI Xiangyang. Continuous dyeing technology for loose cotton fibers with reactive dyes and its industrial application [J]. Journal of Textile Research, 2025, 46(10): 129-134.
[7] WANG Siyu, WANG Feng, WANG Hongbo, SU Jing. L-cysteine/bromelain synergistic one-bath process anti-shrinkage finishing of wool fabrics [J]. Journal of Textile Research, 2025, 46(10): 152-158.
[8] LIU Dongfang, REN Lipei, XU Weilin, XIAO Xingfang. Preparation and dye adsorption properties of activated carbon loaded Juncus effusus materials [J]. Journal of Textile Research, 2025, 46(10): 159-166.
[9] ZUO Zhuofan, LU Kailiang, LI Qianwen, ZHANG Wei. Optimization of treatment efficiency of indigo dyeing wastewater by electrocoagulation using Al-Mg alloy anodes [J]. Journal of Textile Research, 2025, 46(09): 197-204.
[10] LIN Ke, HU Wanjin, WANG Xiaofeng, ZHOU Sijie, XIA Liangjun, XU Weilin. Research progress in color construction of polypropylene fibers and its products [J]. Journal of Textile Research, 2025, 46(08): 236-244.
[11] ZHANG Huandong, JI Bolin, ZHONG Yi, XU Hong, MAO Zhiping. Influence of contact pre-drying on pre-drying efficiency and color difference in open-width dyeing of cotton knitted fabrics [J]. Journal of Textile Research, 2025, 46(07): 154-159.
[12] LIU Yuxiang, WU Jing, XU Jinlong, XIE Ruimin, WANG Huaping. Preparation and properties of cationic dyeable poly(propylene terephthalate) pre-oriented yarns [J]. Journal of Textile Research, 2025, 46(07): 46-52.
[13] LIN Yuting, XU Shilin, HU Yi. Preparation and performance of multi-color thermoplastic urethane/polyacrylonitrile nanofiber yarns [J]. Journal of Textile Research, 2025, 46(07): 78-86.
[14] XIANG Wenlong, YANG Jingran, XIAO Xiaozhen. Preparation of Fe-Co bimetallic organic framework/rice husk composite material and its performance in dye decolorization [J]. Journal of Textile Research, 2025, 46(06): 178-186.
[15] ZHU Daquan, CUI Zhihua, GAO Pu, ZHU Jie, ZHANG Bin, ZHU Yuewen, CHEN Weiguo. Aromatic primary amination modification of mercerized wool and its room temperature diazo coupling staining [J]. Journal of Textile Research, 2025, 46(05): 186-194.
Viewed
Full text


Abstract

Cited

  Shared   
  Discussed   
No Suggested Reading articles found!