纺织学报 ›› 2019, Vol. 40 ›› Issue (8): 175-180.doi: 10.13475/j.fzxb.20180806806

• 管理与信息化 • 上一篇    下一篇

熔喷三维气流场的数值计算与分析

姬长春1,2, 张开源1, 王玉栋1(), 王新厚3   

  1. 1.太原理工大学 轻纺工程学院, 山西 晋中 030600
    2.山西能源学院, 山西 晋中 030600
    3.东华大学 纺织学院, 上海 201620
  • 收稿日期:2018-08-27 修回日期:2019-03-13 出版日期:2019-08-15 发布日期:2019-08-16
  • 通讯作者: 王玉栋
  • 作者简介:姬长春(1987—),女,讲师,博士。主要研究方向为多相流数值模拟。
  • 基金资助:
    国家自然科学基金项目(51776034);高等学校创新项目(201701D31111186)

Numerical calculation and analysis of three-dimensional flow field in melt-blown process

JI Changchun1,2, ZHANG Kaiyuan1, WANG Yudong1(), WANG Xinhou3   

  1. 1. College of Textile Engineering, Taiyuan University of Technology, Jinzhong, Shanxi 030600, China
    2. Shanxi Institute of Energy, Jinzhong, Shanxi 030600, China
    3. College of Textiles,Donghua University, Shanghai 201620, China
  • Received:2018-08-27 Revised:2019-03-13 Online:2019-08-15 Published:2019-08-16
  • Contact: WANG Yudong

摘要:

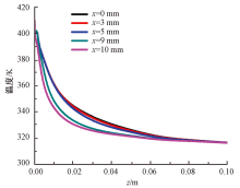
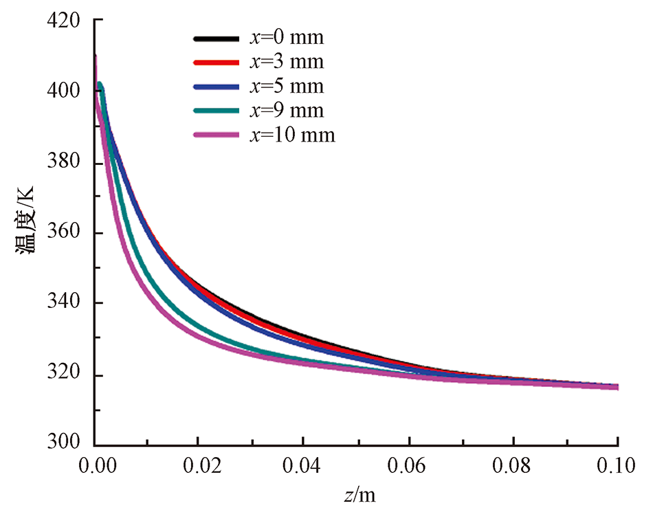
为探究双槽形熔喷模头喷气孔端面对空气流场特征和纤维拉伸工艺的影响,对熔喷三维流场进行数值分析。采用Gambit建立了双槽形熔喷模头的结构模型,应用Fluent软件对熔喷三维气流场进行数值计算,分析流场中的速度、温度和压强分布规律及喷气孔端面对纤维制备的影响。结果表明:喷气孔端面对流场分布有一定影响,若远离流场中心,纺丝线上的速度和温度开始下降,而静压值变化较小;流场中心附近处纺丝线上的速度、温度和压强分布差别很小,靠近喷气孔端面的纺丝线上的温度、速度和静压最低;双槽形模头流场不同位置纺丝线上速度、温度和压强的不同导致制备的熔喷纤维在性能等方面存在差异。

关键词: 熔喷工艺, 气流模头, 三维流场, 数值计算

Abstract:

In order to study the influence of the end face of the gas-slot in the melt-blown die on the air flow field and the fiber drawing process, a three-dimensional flow field was numerically analyzed. The structural model of the slot die was established by Gambit. The Fluent software was adopted to numerically calculate the three-dimensional flow field from the slot die, and the velocity, temperature and pressure distribution in the flow field were analyzed. The results show that the end face of the gas-slot has a certain influence on the flow field distribution. As the distance from the center of the flow field increases, the velocity and temperature on the spinning line decreases, and the static pressure changes little. The velocity, temperature and pressure distribution on the spinning line near the center of the flow field are very small. The temperature, velocity and static pressure on the spinning line near the end face of thegas-slot are the lowest. The distribution characteristics of the three-dimensional flow field causes differences in fineness and performance of the melt-blown fibers.

Key words: melt-blown process, gas flow die head, three-dimensional flow field, numeral calculation

中图分类号: 

  • TS174.1

图1

双槽形熔喷模头的结构示意图"

图2

双槽形熔喷模头的计算域"

图3

xy面上的速度、温度和压强分布(z=1 mm)"

图4

xy面上的速度、温度和压强分布(z=5 mm)"

图5

xy面上的速度、温度和压强分布(z=30 mm)"

图6

xy面上的速度、温度和压强分布(z=50 mm)"

图7

不同纺丝线上的速度分布 注:x=0、3、5、9和10 mm分别对应纺丝线上点(0,0,0)、(3,0,0)、(5,0,0)、(9,0,0)和点(10,0,0),下同。"

图8

不同纺丝线上的温度分布"

图9

不同纺丝线上的压强分布"

[1] HAN W L, BHAT G S, WANG X H . Investigation of nanofiber breakup in the melt-blowing process[J]. Industry & Engineering Chemistry Research, 2016,55(11):3150-3156.
[2] WANG Z F, BATES F S, KUMAR S , et al. Water droplet spreading and imbibition on superhydrophilic poly(butylene terephthalate) melt-blown fiber mats[J]. Chemical Engineering Science, 2016,146(11):104-114.
doi: 10.1016/j.ces.2016.02.006
[3] WANG Z F, MACOSKO C W, BATES F S . Fluorine-enriched melt-blown fibers from polymer blends of poly(butylene terephthalate) and a fluorinated multiblock copolyester[J]. Acs Applied Materials & Interfaces, 2016,8(1):3006-3012.
[4] HARPHAMA A S, SHAMBAUGH R L . Flow field of practical dual rectangular jets[J]. Industry & Engineering Chemistry Research, 1996,35(10):3776-3781.
[5] KRUTKA H M, SHAMBAUGH R L, PAPAVASSILIOU D V . Analysis of a melt-blowing die: comparison of CFD and experiments[J]. Industrial & Engineering Chemistry Research, 2002,41(20):5125-5138.
[6] WANG X M, KE Q F . Empirical formulas for distributions of air velocity and temperature along the spinline of a dual slot die[J]. Polymer Engineering and Science, 2005,45(8):1092-1097.
[7] CHEN T, HUANG X B . Numerical simulation of the air jet flow field in the melt blowing process[J]. Journal of Donghua University(English Edition), 2002,19(4):1-3.
[8] SUN Y F, WANG X H . Optimal geometry design of the melt blowing slot die via the orthogonal array method and numerical simulation[J]. Journal of The Textile Institute, 2011,102(1):65-69.
doi: 10.1080/00405000903475805
[9] SUN Y F, WANG X H . Optimization of air flow field of the melt blowing slot die via numerical simulation and genetic algorithm[J]. Journal of Applied Polymer Science, 2010,115(3):1540-1545.
doi: 10.1002/app.v115:3
[10] 辛三法, 王新厚, 胡守忠 . 双槽熔喷工艺中外沿长度对空气流场的影响[J]. 纺织学报, 2015,36(4):71-75.
XIN Sanfa, WANG Xinhou, HU Shouzhong . The effect of outer length on air flow field in melt blowing with dual slots was studied via numerical simulation[J]. Journal of Textile Research, 2015,36(4):71-75.
doi: 10.1177/004051756603600109
[11] 孙亚峰 . 微纳米纤维纺丝拉伸机理的研究[D]. 上海:东华大学, 2010: 25-45.
SUN Yafeng . Investigation of macro nano fiber forma-tion[D]. Shanghai: Donghua University, 2010: 25-45.
[12] LAUNDER B E, SPALDING D B. Lectures in Mathematical Models of Turbulence[M]. London: Academic Press, 1972: 55.
[1] 汪久根, 郭昊, 洪玉芳, 陈芳华. 自润滑关节轴承衬垫弹性参数的计算[J]. 纺织学报, 2020, 41(06): 61-68.
[2] 张荣 冯志华 陆庆 陈晓明. 含纱疵纱线的气流引纬牵引特性分析[J]. 纺织学报, 2017, 38(11): 131-136.
[3] 辛三法 王新厚 胡守忠. 微纳米纤维的熔喷制作工艺[J]. 纺织学报, 2015, 36(07): 7-11.
[4] 张忠胜 刘晓艳 于伟东. 纺织纤维的弯曲疲劳理论及其应用[J]. 纺织学报, 2013, 34(5): 152-0.
[5] 梅恒 徐伯俊 苏旭中 徐红 徐耀林. 网眼罗拉紧密纺集聚区三维流场数值模拟与分析[J]. 纺织学报, 2013, 34(4): 122-126.
[6] 薛文良;魏孟媛;陈革;程隆棣. 喷气织机主喷嘴内部流场的数值计算[J]. 纺织学报, 2010, 31(4): 124-127.
[7] 邹专勇;俞建勇;薛文良;刘丽芳;程隆棣. 喷气涡流纺工艺参数对气流场影响的数值计算[J]. 纺织学报, 2008, 29(4): 32-36.
Viewed
Full text


Abstract

Cited

  Shared   
  Discussed   
[1] 邢明杰;唐佃花;郁崇文. 工艺参数对喷气纱强力的影响[J]. 纺织学报, 2005, 26(1): 49 -51 .
[2] 檀革银;靳向煜;唐守星. 非织造用转基因棉的脱脂工艺及性能研究[J]. 纺织学报, 2004, 25(04): 24 -25 .
[3] 杨菊萍. 高浓度交联型阳离子高分子絮凝剂[J]. 纺织学报, 2005, 26(5): 63 -64 .
[4] 祝志峰;乔志勇. 浆液泡沫的起因与消除[J]. 纺织学报, 2006, 27(7): 86 -89 .
[5] 林建龙;王小北;顾翔. 新型电脑刺绣机挑线机构设计分析[J]. 纺织学报, 2006, 27(12): 105 -108 .
[6] 张强;王悌义. 赫马(Hema)型喷嘴流场测定与分析[J]. 纺织学报, 1995, 16(02): 19 -22 .
[7] 张佩华;潘伯荣;汤振民;邱佩芬. 偏心拉杆式牵拉机构的测试与分析[J]. 纺织学报, 1995, 16(02): 46 -48 .
[8] 李济群. 国产毛 C07型自调匀整装置延迟时间的简约计算式[J]. 纺织学报, 1993, 14(03): 19 -21 .
[9] . 国际化工及石油化工设备展览四月份在京举办[J]. 纺织学报, 1987, 8(02): 55 .
[10] 孙福;张国庆;孙艳秋. 导电炭黑/聚酯复合材料的性能[J]. 纺织学报, 2008, 29(10): 9 -11 .