纺织学报 ›› 2020, Vol. 41 ›› Issue (07): 88-92.doi: 10.13475/j.fzxb.20190502205

• 纺织工程 • 上一篇    下一篇

基于滤波最小均方算法的簇绒地毯装备噪声主动控制

陈绍用, 徐洋(), 盛晓伟, 张子煜   

  1. 东华大学 机械工程学院, 上海 201620
  • 收稿日期:2019-05-13 修回日期:2020-01-19 出版日期:2020-07-15 发布日期:2020-07-23
  • 通讯作者: 徐洋
  • 作者简介:陈绍用(1993—),男,硕士生。主要研究方向为有源噪声控制。
  • 基金资助:
    国家自然科学基金资助项目(51675094);中央高校重点项目(2232017A3-04)

Active noise control for tufted carpet equipment based on filtered least mean square algorithm

CHEN Shaoyong, XU Yang(), SHENG Xiaowei, ZHANG Ziyu   

  1. College of Mechanical Engineering, Donghua University, Shanghai 201620, China
  • Received:2019-05-13 Revised:2020-01-19 Online:2020-07-15 Published:2020-07-23
  • Contact: XU Yang

摘要:

为降低纺织车间簇绒地毯装备的低频噪声,将噪声主动控制的滤波最小均方算法 (FXLMS)引入纺织机械噪声控制领域。以英国柯贝尔 1/8针距簇绒地毯织机为研究对象,建立了噪声主动控制系统模型,根据现场情况布置传感-作动单元;并运用双传声器离线通道辨识方法估计初级和次级通道传递函数;针对前馈控制策略引起的次级声反馈现象,选用参量阵扬声器作为次级声源减轻该现象对噪声控制系统稳定性的影响。最后对簇绒地毯织机噪声的主动控制仿真研究和实验验证了该方法的可行性和有效性。实验结果表明:簇绒地毯织机采用的主动噪声控制方法对低频段噪声的控制效果较中高频段好,簇绒地毯织机噪声主要频率点的噪声消声量最大可达9.8 dB。

关键词: 簇绒地毯织机, 噪声控制, 滤波最小均方算法, 低频噪声

Abstract:

In order to reduce tufted carpet equipment's low frequency noise, this paper introduces the filtered least mean square algorithm (FXLMS) for textile machinery noise control. The active noise control system model was established to complete the sensor-actuator arrangement taking the British COBBLE 1/8-pitch tufted carpet loom as the research object. The dual-microphone offline channel identification method was used to estimate the primary and secondary channel transfer functions. For the secondary acoustic feedback phenomenon caused by the elected feed-forward control system, the parametric array speaker was used to reduce the influence on stability of the noise reduction experiment as secondary acoustic source. The noise reduction simulation and experiment of the tufted carpet loom verified the feasibility and effectiveness of the proposed method. The experimental results show that the active noise control method used in tufted carpet loom has better effect on low-frequency noise control than medium and high frequency noise control, and the noise cancellation at the main frequency point reaches 9.8 dB.

Key words: tufted carpet loom, noise control, filtered least mean square algorithm, low-frequency noise

中图分类号: 

  • TS103.2

图1

英国柯贝尔 1/8针距簇绒地毯织机传动机构图"

图2

簇绒地毯织机工作空间"

图3

前馈主动噪声控制系统示意图"

图4

簇绒地毯织机噪声信号时频图"

图5

双传声器法次级通道建模"

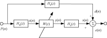
图6

自适应前馈主动控制系统框图"

图7

噪声主动控制流程图"

图8

N为128时仿真前后噪声信号功率谱密度"

表1

主要频率点降噪前后声压值"

主要频率点/Hz 声压/Pa
降噪前 降噪后
36.10 0.035 40 0.031 26
124.77 0.043 38 0.014 03
282.30 0.030 56 0.015 49
550.70 0.030 63 0.010 31
810.00 0.003 01 0.003 09

图9

降噪前噪声声压幅频谱图"

图10

降噪后噪声声压幅频谱图"

[1] 李铁, 严胜刚, 刘道旭. 基于DSP的直升机舱室内的有源噪声控制系统[J]. 测控技术, 2009,28(6):54-57.
LI Tie, YAN Shenggang, LIU Daoxu. Active noise control system in helicopter cabin based on DSP[J]. Measurement & Control Technology, 2009,28(6):54-57.
[2] 鲍雪山. 舰艇自噪声自适应有源抵消技术研究[D]. 哈尔滨:哈尔滨工程大学, 2007: 3-26.
BAO Xueshan. Research on adaptive active noise cancellation technology of warship[D]. Harbin: Harbin Engineering University, 2007: 3-26.
[3] 杨益民. 特种车辆有源噪声控制系统的研究与设计[D]. 杭州:浙江大学, 2014: 3-21.
YANG Yimin. Research and design of active noise control system for special vehicles[D]. Hangzhou: Zhejiang University, 2014: 3-21.
[4] 白松, 徐新喜, 刘孝辉, 等. 车内噪声控制技术及其在卫生技术车辆中的应用[J]. 军事医学, 2012,36(2):99-102,106.
BAI Song, XU Xinxi, LIU Xiaohui, et al. In-vehicle noise control technology and its application in sanitary technology vehicles[J]. Military Medicine, 2012,36(2):99-102,106.
[5] 张帅. 一种大耳罩有源降噪耳机的设计与实现[D]. 成都:电子科技大学, 2018: 1-30.
ZHANG Shuai. Design and implementation of active noise reduction earphone with large earmuff[D]. Chengdu: University of Electronic Science and Technology of China, 2018: 1-30.
[6] MORGAN D R. History, applications, and subsequent development of the FXLMS algorithm[J]. IEEE Signal Processing Magazine, 2013,30(3):172-176.
[7] 徐洋, 李昂昂, 盛晓伟, 等. 基于近场声全息的纺织装备高速运动机构噪声源识别[J]. 纺织学报, 2019,40(4):129-134.
XU Yang, LI Ang'ang, SHENG Xiaowei, et al. Noise source identification of high-end textile equipment based on near-field acoustic holography method[J]. Journal of Textile Research, 2019,40(4):129-134.
[8] 陈智. 基于FxLMS算法的前馈式自适应有源噪声控制系统建模与仿真[J]. 自动化与仪器仪表, 2018(5):10-13.
CHEN Zhi. Modeling and simulation of feedforward adaptive active noise control system based on FxLMS Algorithm[J]. Automation & Instrumentation, 2018(5):10-13.
[9] 杨浩, 吴亚锋, 王春云, 等. AANC次级通道建模方法[J]. 噪声与振动控制, 2011,31(3):33-36.
YANG Hao, WU Yafeng, WANG Chunyun, et al. AANC secondary channel modeling method[J]. Noise and Vibration Control, 2011,31(3):33-36.
[10] 陈克安. 有源噪声控制[M]. 2版. 北京: 国防工业出版社, 2014: 118-119.
CHEN Ke'an. Active noise control[M]. 2nd ed. Beijing: National Defense Industry Press, 2014: 118-119.
[11] 叶超, 吴鸣, 杨军. 利用参量阵扬声器进行有源噪声控制的研究[J]. 电声技术, 2011,35(3):61-63.
YE Chao, WU Ming, YANG Jun. Research on active noise control using parametric array loudspeakers[J]. Audio Engineering, 2011,35(3):61-63.
[1] 李辉芹, 张楠, 温晓丹, 巩继贤, 赵晓明, 王支帅. 纤维材料降噪结构体的研究进展[J]. 纺织学报, 2020, 41(03): 175-181.
[2] 徐洋, 李昂昂, 盛晓伟, 孙志军. 基于近场声全息的纺织装备高速运动机构噪声源识别[J]. 纺织学报, 2019, 40(04): 129-134.
[3] 黄双 郗欣甫 徐洋 孙以泽. 簇绒地毯织机耦联轴系的铰链间隙对毯面绒高的影响[J]. 纺织学报, 2016, 37(08): 132-137.
Viewed
Full text


Abstract

Cited

  Shared   
  Discussed   
No Suggested Reading articles found!