纺织学报 ›› 2021, Vol. 42 ›› Issue (02): 113-121.doi: 10.13475/j.fzxb.20200701109

• 染整与化学品 • 上一篇    下一篇

有机溶剂对液体活性染料分散和水解稳定性影响的模拟研究

徐保律1,2, 吴伟1,2, 钟毅1,2,3, 徐红1,2,3, 毛志平1,2,3,4()   

  1. 1.东华大学 生态纺织教育部重点实验室, 上海 201620
    2.东华大学 化学化工与生物工程学院,上海 201620
    3.东华大学 纺织科技创新中心, 上海 201620
    4.东华大学 国家染整工程技术研究中心, 上海 201620
  • 收稿日期:2020-07-03 修回日期:2020-11-11 出版日期:2021-02-15 发布日期:2021-02-23
  • 通讯作者: 毛志平
  • 作者简介:徐保律(1997—),男,硕士生。主要研究方向为分子动力学模拟研究染色理论。
  • 基金资助:
    国家重点研发计划项目(2017YFB0309700)

Simulation study on effect of organic solvents on dispersion and hydrolytic stability of liquid reactive dyes

XU Baolü1,2, WU Wei1,2, ZHONG Yi1,2,3, XU Hong1,2,3, MAO Zhiping1,2,3,4()   

  1. 1. Key Laboratory of Science & Technology of Eco-Textile, Ministry of Education, Donghua University, Shanghai 201620, China
    2. College of Chemistry, Chemical Engineering and Biotechnology, Donghua University, Shanghai 201620, China
    3. Innovation Center for Textile Science and Technology, Donghua University, Shanghai 201620, China
    4. National Engineering Research Center for Dyeing and Finishing of Textiles, Donghua University, Shanghai 201620, China
  • Received:2020-07-03 Revised:2020-11-11 Online:2021-02-15 Published:2021-02-23
  • Contact: MAO Zhiping

摘要:

为探究液体活性染料体系中有机溶剂对活性染料储存稳定性的影响机制,基于分子动力学模拟,考察了4种有机溶剂对高浓度C.I.活性蓝176聚集以及水解稳定性的影响,并进行实验验证。结果表明:不同有机溶剂对活性染料分散及水解效果影响的差异,与有机溶剂在染料分子聚集有效区域以及染料水解基团周围的分布有关,二者间相互作用的强弱决定了染料的储存稳定性;N-甲基吡咯烷酮体系中,4种有机溶剂的72个染料分子中有31个染料分子可以单分子形式存在,其对C.I.活性蓝176的分散稳定性最佳;己内酰胺在染料水解基团氯原子周围的分布更多,其对抑制液态活性染料的水解效果最好。

关键词: 液体活性染料, 有机溶剂, 水解稳定性, 分子间相互作用, 分子动力学模拟

Abstract:

In order to explore the mechanism of organic solvents affecting the storage stability of reactive dyes in liquid reactive dyes system, the effects of four organic solvents on the aggregation and hydrolysis of high concentration C.I. Reactive Blue 176 were investigated and verified by experiments, based on molecular dynamics simulation. Simulation analysis on radial distribution function of organic solvent molecules around dye shows that the difference in the effect of different organic solvents on the dispersion and hydrolysis of reactive dyes is related to the distribution of organic solvents in the effective area of dye molecules aggregation and around the hydrolytic groups of dyes. The strength of the interaction between them determines the storage stability of dyes. In N-methyl pyrrolidone systems, among 72 dyestuffs of the four organic solvents, 31 has the best dispersing effect on C.I. Reactive Blue 176, and the degree of dye aggregation is low, while caprolactam has the most effective effect on inhibiting the hydrolysis of liquid reactive dyes.

Key words: liquid reactive dye, organic solvent, hydrolysis stability, intermolecular interaction, molecular dynamics simulation

中图分类号: 

  • O647.9

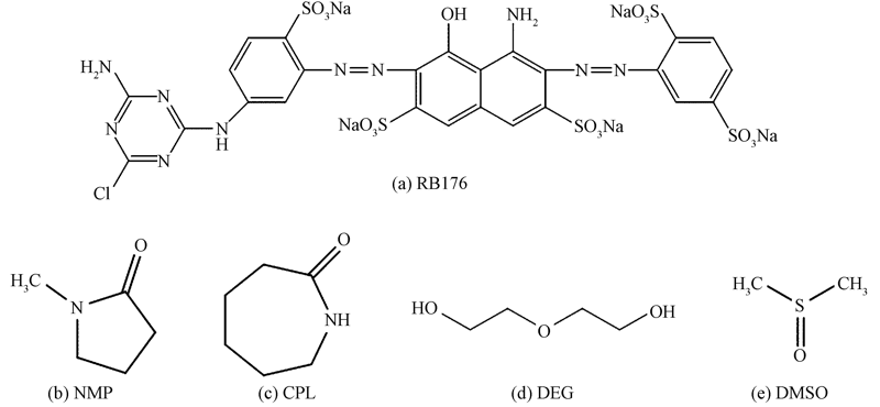
图1

染料及有机溶剂的化学结构"

表1

体系的模拟设定"

体系 有机
溶剂
染料质
量分
数/%
有机溶
剂质量
分数/%
水质量
分数/
%
染料分
子个数
盒子边
长/nm
NMP
CPL 10 15 75 72 10.3
DEG
DMSO
V - 10 - 90 72 10.3

图2

模拟过程中不同体系染料阴离子的溶剂可及表面积变化"

图3

不同体系中平衡期间具有不同聚集尺寸的染料簇平均数目"

图4

染料及有机溶剂分子的表面静电势 注:ESP的局部最小值和最大值分别表示为青色和橙色的球体,并分别用深蓝色和棕红色文本标记。"

图5

染料分子非极性部分的静电势分布"

图6

同等值面下染料周围水和有机溶剂分子的空间分布函数 注:红色为水分子,其他不同颜色分别代表4个有机溶剂分子。"

图7

不同体系中染料基团周围有机溶剂分子的径向分布函数"

图8

染料的水解示意图 注:D代表母体染料。"

图9

不同体系中染料氯原子周围有机溶剂分子的径向分布函数"

表2

不同体系生成的沉淀质量及染料平均粒径"

体系 生成的沉淀质量/g 平均粒径/μm
0.15 1.038
0.20 1.316
0.23 1.401
0.32 1.626
0.49 1.986

图10

不同体系的染料溶液的紫外-可见吸收光谱变化"

图11

不同体系中C.I.活性蓝176水解的高效液相谱"

[1] 张艳. 高浓度液态活性染料的配制及应用[D]. 青岛:青岛大学, 2007: 6-10.
ZHANG Yan. The preparation and application of concentrated aqueous reactive dye solution[D]. Qingdao: Qingdao University, 2007: 6-10.
[2] 侯毓汾, 程侣伯. 活性染料[M]. 北京: 化学工业出版社, 1991: 640.
HOU Yufen, CHENG Lübo. Reactive dyes[M]. Beijing: Chemical Industry Press, 1991: 640.
[3] 胡生, 黄小华. 有机溶剂对直接黄液体染料溶解度的影响[J]. 安徽工程科技学院学报(自然科学版), 2009,24(2):25-29.
HU Sheng, HUANG Xiaohua. Effect of organic solvent on solubility of direct yellow liquid dye[J]. Journal of Anhui University of Technology and Science(Natural Science Edition), 2009,24(2):25-29.
[4] 胡元元, 郝龙云, 蔡玉青, 等. 有机溶剂对活性染料墨水稳定性的影响[J]. 染整技术, 2008(6):5-9,30.
HU Yuanyuan, HAO Longyun, CAI Yuqing, et al. Effect of organic solvents on the stability of reactive dye ink[J]. Textile Dyeing and Finishing Journal, 2008(6):5-9,30.
[5] 杨军浩, 何岩彬, 章建新. 国外水性液体活性染料制备方法的研究概况[J]. 染料与染色, 2010,47(2):1-7.
YANG Junhao, HE Yanbin, ZHANG Jianxin. A review of researches on preparation methods of aqueous liquid reactive dyes abroad[J]. Dyestuffs and Coloration, 2010,47(2):1-7.
[6] WANG R Q, FANG K J, REN Y F, et al. Jetting per-formance of two lactam compounds in reactive dye solution[J]. Journal of Molecular Liquids, 2019,294:111668.
[7] TANG Z Y, FANG K J, SONG Y W, et al. Jetting p-erformance of polyethylene glycol and reactive dye solutions[J]. Polymers, 2019,11(4):739.
[8] PARK J Y, HIRATA Y, HAMADA K. Interactions between dyes and surfactants in inkjet ink used for textiles[J]. Journal of Oleo Science, 2011,60(12):627-637.
pmid: 22123244
[9] PARK J Y, HIRATA Y, HAMADA K. Dye aggregation and interaction of dyes with a water-soluble polymer in ink-jet ink for textiles[J]. Coloration Technology, 2012,128(3):184-191.
doi: 10.1111/cote.2012.128.issue-3
[10] PARK J Y, HIRATA Y, HAMADA K. Relationship between the dye/additive interaction and inkjet ink droplet formation[J]. Dyes and Pigments, 2012,95(3):502-511.
[11] 王金玉, 黄小华, 李林. 稳定的高浓度K型液体活性染料的制备[J]. 纺织学报, 2013,34(12):71-75.
WANG Jinyu, HUANG Xiaohua, LI Lin. Preparation of stabilized and concentrated K-type liquid reactive dyes[J]. Journal of Textile Research, 2013,34(12):71-75.
[12] WU W, WANG C Y, XU H, et al. Study of the aggregation behaviour of three primary reactive dyes via molecular dynamics simulations[J]. Molecular Simulation, 2020,46(8):627-637.
[13] HESS B, KUTZER C, VAN D S D, et al. GR-OMACS 4: algorithms for highly efficient, load-balanced, and scalable molecular simulation[J]. Journal of Computational Chemistry, 2008,4:435-447.
[14] WANG J M, WOLF R M, CALDWELL J W, et al. Development and testing of a general amber force field[J]. Journal of Computational Chemistry, 2004,25(9):1157-1174.
doi: 10.1002/(ISSN)1096-987X pmid: 15116359
[15] PRICE D, BROOKS C. A modified TIP3P water potential for simulation with Ewald summation[J]. The Journal of Chemical Physics, 2004,121(20):10096-10103.
pmid: 15549884
[16] KASHEFOLGHETA S, VERDE A V. Developing force fields when experimental data is sparse: AMBER/GAFF-compatible parameters for inorganic and alkyl oxoanions[J]. Physical Chemistry Chemical Physics, 2018,20(44):28346-28347.
[17] EVANS D J, HOLIAN B L. The nose-hoover ther-mostat[J]. Journal of Chemical Physics, 1985,83(8):4069-4074.
[18] DASHTIMOGHADAM E, BAHLAKEH G, SALIMI-KENARI H, et al. Rheological study and molecular dynamics simulation of biopolymer blend thermogels of tunable strength[J]. Biomacromolecules, 2016,17(11):3474-3484.
doi: 10.1021/acs.biomac.6b00846 pmid: 27766854
[19] HESS B, BEKKER H, BERENDSEN H J C, et al. LINCS: a linear constraint solver for molecular simulations[J]. Journal of Computational Chemistry, 1997,18(12):1463-1472.
[20] DARDEN T, YORK D, PEDERSEN L. Particle mesh Ewald: an N. log(N) method for Ewald sums in large systems[J]. Journal of Chemical Physics, 1993,98(12):10089-10092.
[21] ZHIVOTOVSKII L A. Computer models of quantitative characteristics in genetics: communication Ⅱ: dynamics of the frequency of alleles with different types of selection[J]. Sov Genet, 1974,8(7):937-41.
pmid: 4425289
[22] HUMPHREY W, DALKE A, SCHULTEN K. VMD: visual molecular dynamics[J]. Journal of Molecular Graphics, 1996,14(1):33-38.
doi: 10.1016/0263-7855(96)00018-5 pmid: 8744570
[23] LU T, CHEN F. Multiwfn: a multifunctional wavefunction analyzer[J]. Journal of Computational Chemistry, 2012,33(5):580-592.
doi: 10.1002/jcc.22885 pmid: 22162017
[1] 王纯怡, 吴伟, 王健, 徐红, 毛志平. C.I.分散棕19在超临界CO2及水中溶解性的分子动力学模拟[J]. 纺织学报, 2020, 41(09): 95-101.
[2] 吴伟, 陈小文, 钟毅, 徐红, 毛志平. 硫酸钠在低带液轧-焙-蒸活性染料染色中的作用[J]. 纺织学报, 2020, 41(05): 85-93.
[3] 贺永林 李永贵 葛明桥. 有机溶剂对回收涤纶碱减量废渣中对苯二甲酸的影响[J]. 纺织学报, 2013, 34(12): 12-0.
[4] 王金玉 黄小华 李林. 稳定的高浓度K型液体活性染料的制备[J]. 纺织学报, 2013, 34(12): 71-0.
Viewed
Full text


Abstract

Cited

  Shared   
  Discussed   
No Suggested Reading articles found!