纺织学报 ›› 2021, Vol. 42 ›› Issue (12): 70-75.doi: 10.13475/j.fzxb.20201102406

• 纺织工程 • 上一篇    下一篇

基于图像技术的织物导湿性能测试方法

熊晶晶1,2, 杨雪1,2, 苏静1,2, 王鸿博1,2()   

  1. 1.江苏省功能纺织品工程技术研究中心, 江苏 无锡 214122
    2.生态纺织教育部重点实验室(江南大学), 江苏 无锡 214122
  • 收稿日期:2020-11-11 修回日期:2021-09-27 出版日期:2021-12-15 发布日期:2021-12-29
  • 通讯作者: 王鸿博
  • 作者简介:熊晶晶(1996—),女,硕士生。主要研究方向为功能纺织材料。
  • 基金资助:
    国家重点研发计划项目(2017YFB0309100);中央高校基本科研业务费专项资金资助项目(JUSRP52007A)

Testing method for fabric moisture conductivity based on image technology

XIONG Jingjing1,2, YANG Xue1,2, SU Jing1,2, WANG Hongbo1,2()   

  1. 1. Jiangsu Engineering Technology Research Center for Functional Textiles, Wuxi, Jiangsu 214122, China
    2. Key Laboratory of Eco-Textiles(Jiangnan University), Ministry of Education, Wuxi, Jiangsu 214122, China
  • Received:2020-11-11 Revised:2021-09-27 Published:2021-12-15 Online:2021-12-29
  • Contact: WANG Hongbo

摘要:

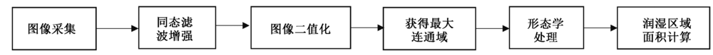
为提高织物导湿性能测试的准确性,在传统滴液法的基础上借助摄像机获得织物润湿图像后,利用同态滤波对图像进行增强预处理,再经阈值分割和形态学处理后,提取到织物的导湿面积对其导湿性能进行表征。重点分析了测试用液体、滴液高度、滴液用量及图像采集样本数量等参数对导湿性能测试结果稳定性的影响。结果表明:图像技术方法较传统方法更快速准确,稳定性和再现性好;以机织物作为测试对象时,选择测试液体为去离子水,单次滴液量为40 μL,滴液高度为2 cm时,重复实验5次,此时织物导湿面积测试结果变异系数小,测试方法稳定性较高。

关键词: 导湿性, 同态滤波, 织物润湿图像, 滴液高度, 图像处理技术, 测试标准化

Abstract:

In order to improve the test accuracy of the fabric moisture conductivity, fabric wetting images were obtained with the camera based on the traditional spot test. The images were enhanced by homomorphic filtering, and then processed by threshold segmentation and morphological processing. The moisture conductivity area extracted from the fabric image was used to characterize the moisture conductivity of the fabric. The influence of the test parameters such as the test liquid, drip height, drip volume and the number of image samples for stability of the test results was discussed. The results show that this method is faster and more accurate than the traditional test method, and it demonstrates good stability and repeatability. When woven fabrics were used as the test object, under conditions of using 40 μL deionized water as test liquid with 2 cm drop height and 5 repeated tests, the moisture conducting areas show low variation coefficient and exhibit stable results.

Key words: moisture conductivity, homomorphic filtering, fabric wetting image, drop height, image processing technology, test standardization

中图分类号: 

  • TS107

图1

实验装置示意图 1—移液器; 2—固定螺钉(可上下调整); 3—支撑夹;4—试样台; 5—立柱; 6—相机; 7—相机夹持夹;8—底座; 9—USB转接线; 10—计算机。"

图2

同态滤波处理前后织物润湿图像"

图3

图像处理过程"

表1

不同液体导湿面积测试结果"

织物原料 刚果红溶液 去离子水 NaCl溶液
涤纶 2.93 2.43 2.38
3.47 3.16 2.98
竹浆纤维 3.52 3.31 3.19
棉/竹浆纤维(50/50) 3.48 3.29 3.09
莫代尔 3.85 3.74 3.62
棉/莫代尔(50/50) 3.71 3.61 3.53

表2

不同滴液高度时棉织物导湿面积测试结果"

滴液高度/cm 导湿面积/cm2 导湿面积CV值/%
1 2.93 4.04
2 3.12 3.91
3 3.47 4.31
4 2.97 4.86
5 3.09 6.58
6 2.72 6.67

图4

取样方法示意图"

表3

采样数量对导湿面积测试结果的影响"

样本数量 导湿面积/cm2 导湿面积CV值/%
3 2.93 7.30
4 2.94 5.62
5 2.99 3.92
6 2.98 4.01
7 2.95 4.07
8 2.92 4.15
[1] 赵兵, 王芳, 陈文艳. 基于图像处理井下作业防护织物导湿性能研究[J]. 产业用纺织品, 2016, 34(11):36-40.
ZHAO Bing, WANG Fang, CHEN Wenyan. Study on moisture transfer performance of underground protective fabric based on image processing technique[J]. Technical Textiles, 2016, 34(11):36-40.
[2] 张天祥, 章辉, 韩玉茹. 纺织品吸湿速干功能测试方法的探讨[J]. 纺织标准与质量, 2018(5):7-12.
ZHANG Tianxiang, ZHANG Hui, HAN Yuru. Discussion on test methods of moisture absorbent and quick-drying property of textiles[J]. Textile Standards and Quality, 2018 (5):7-12.
[3] 杜帅, 李岳阳, 王孟涛, 等. 基于改进局部自适应对比法的织物疵点检测[J]. 纺织学报, 2019, 40(2):38-44.
DU Shuai, LI Yueyang, WANG Mengtao, et al. Fabric defect detection based on improved local adaptive contrast method[J]. Journal of Textile Research, 2019, 40(2):38-44.
[4] 陆奕辰, 王蕾, 唐千惠, 等. 应用图像处理的纱线黑板毛羽量检测与评价[J]. 纺织学报, 2018, 39(8):144-149.
LU Yichen, WANG Lei, TANG Qianhui, et al. Detection and evaluation on yarn hairiness of blackboard with image processing[J]. Journal of Textile Research, 2018, 39(8):144-149.
[5] 谢梅娣, 王启明, 黄雅萍, 等. 图像处理测试织物导湿性能的应用研究[J]. 上海纺织科技, 2005, 33(11):62-63.
XIE Meidi, WANG Qiming, HUANG Yaping, et al. Application of image analysis in wet conductibility of fabric[J]. Shanghai Textile Science & Technology, 2005, 33(11):62-63.
[6] 杜文豪, 张慧萍, 晏雄. 运用高速摄影对不同结构参数织物导湿性能研究[J]. 天津纺织科技, 2009(1):12-17.
DU Wenhao, ZHANG Huiping, YAN Xiong. Using HG-camera system to study on the fabric wet permeability of different structure parameters[J]. Tianjin Textile Science & Technology, 2009(1):12-17.
[7] RAJA D, RAMAKRISHNAN G, BABU V R, et al. Comparison of different methods to measure the transverse wicking behavior of fabrics[J]. Journal of Industrial Textiles, 2014, 43(3):366-382.
doi: 10.1177/1528083712456054
[8] 冯相辉. 一种改进的同态滤波图像增强算法[J]. 重庆邮电大学学报(自然科学版), 2020, 32(1):139-145.
FENG Xianghui. An improved homomorphic filtering image enhancement algorithm[J]. Journal of Chongqing University of Posts and Telecommunications (Natural Science Edition), 2020, 32(1):139-145.
[9] 程新. 基于同态滤波的图像增强算法研究[D]. 西安:西安邮电大学, 2016:33-40.
CHENG Xin. Image enhancement algorithm based on Homomorphic filtering[D]. Xi'an :Xi'an University of Posts, 2016:33-40.
[10] 杜帅, 李岳阳, 夏风林, 等. 基于十字窗口的经编织物疵点检测[J]. 丝绸, 2019, 56(11):26-31.
DU Shuai, LI Yueyang, XIA Fenglin, et al. Fabric defect detection based on the cross window method[J]. Journal of Silk, 2019, 56(11):26-31.
[11] 张才前, 姚菊明. 织物导湿排汗性能自动测试方法[J]. 纺织学报, 2018, 39(1):45-50.
ZHANG Caiqian, YAO Juming. Automatic moisture transmission and perspiration test method of fabrics[J]. Journal of Textile Research, 2018, 39(1):45-50.
[12] 杜文豪. 运用高速摄影对不同结构参数织物导湿性能的研究[D]. 上海:东华大学, 2009:38-39.
DU Wenhao. Study on wet permeability for the fabric of different structure parameters by using HG-camera system[D]. Shanghai:Donghua Univerity, 2009:38-39.
[13] 刘晓, 周永凯, 张华. 针织物单向导湿性能测试新方法[J]. 纺织导报, 2019(8):89-92.
LIU Xiao, ZHOU Yongkai, ZHANG Hua. A new method for testing unidirectional moisture-transfer ability of knitted fabric[J]. China Textile Leader, 2019 (8):89-92.
[14] 柳伟伟, 胡良平, 贾元, 等. 实验设计中的重复原则[J]. 药学服务与研究, 2010(5):330-334.
LIU Weiwei, HU Liangping, JIA Yuan, et al. Replication principle in experimental design[J]. Pharmaceutical Care and Research, 2010 (5):330-334.
[15] 张雯静, 王鸿博. 静电纺纳米纤维膜拉伸性能取样方法的探讨[J]. 膜科学与技术, 2013(5):34-37.
ZHANG Wenjing, WANG Hongbo. Study on the sampling methods of tensile property of nanofiber membrane by electrospinning[J]. Membrane Science and Technology, 2013(5):34-37.
[16] 颜奥林, 王鸿博, 杜金梅, 等. 纤维素纤维的种类对织物热湿舒适性的影响[J]. 丝绸, 2020, 57(9):17-21.
YAN Aolin, WANG Hongbo, DU Jinmei, et al. Effects of cellulose fiber types on the thermal and moisture comfort of fabrics[J]. Journal of Silk, 2020, 57(9):17-21.
[1] 朱凡凡 卢雨正 王 洋 高卫东. 集聚赛络纺纯涤纶纱的结构及其导湿性能[J]. 纺织学报, 2017, 38(03): 38-43.
[2] 朱祎俊 郭建生. 不同混纺比甲壳素纤维/长绒棉混纺织物性能测试与分析[J]. 纺织学报, 2013, 34(1): 25-30.
[3] 叶静. PET/纳米矿物粒子纤维的结构与性能[J]. 纺织学报, 2009, 30(01): 22-25.
[4] 沈巍;钱坤;尹汪宏. 彩色目标提取方法检测羊绒/羊毛混纺比[J]. 纺织学报, 2007, 28(9): 31-34.
[5] 楼利琴;张才前. 导湿排汗纤维机织物的导湿性能[J]. 纺织学报, 2007, 28(9): 45-48.
[6] 孔令剑.;晏雄. 灰色理论在麻织物热湿舒适性研究中的应用[J]. 纺织学报, 2007, 28(4): 41-44.
[7] 许瑞超;张一平;陈莉娜. 针织运动面料的差动毛细导湿性[J]. 纺织学报, 2007, 28(3): 20-22.
[8] 张才前.;奚柏君;来侃. 湿阻法测试织物各向异性导湿性能[J]. 纺织学报, 2007, 28(1): 31-33.
[9] 王其;冯勋伟. 大豆纤维针织物导湿透汽性研究[J]. 纺织学报, 2001, 22(03): 16-17.
Viewed
Full text


Abstract

Cited

  Shared   
  Discussed   
[1] 黄立新. Optim纤维及产品的开发与应用[J]. 纺织学报, 2004, 25(02): 101 -102 .
[2] 张治国;尹红;陈志荣. 纤维前处理用精练助剂研究进展[J]. 纺织学报, 2004, 25(02): 105 -107 .
[3] 黄小华;沈鼎权. 菠萝叶纤维脱胶工艺及染色性能[J]. 纺织学报, 2006, 27(1): 75 -77 .
[4] 王菊萍;殷佳敏;彭兆清;张峰. 活性染料染色织物超声波酶洗工艺[J]. 纺织学报, 2006, 27(1): 93 -95 .
[5] 钟智丽;王训该. 纳米纤维的应用前景[J]. 纺织学报, 2006, 27(1): 107 -110 .
[6] 罗军;费万春. 生丝中各层次茧丝数的概率分布[J]. 纺织学报, 2006, 27(2): 1 -4 .
[7] 万振凯;李静东. 三维编织复合材料压缩损伤声发射特性分析[J]. 纺织学报, 2006, 27(2): 20 -24 .
[8] 包晓敏;汪亚明. 基于最小风险贝叶斯决策的织物图像分割[J]. 纺织学报, 2006, 27(2): 33 -36 .
[9] 杨建成. 槽筒导丝沟槽廓线的研究[J]. 纺织学报, 2006, 27(3): 4 -7 .
[10] 马世平. 基于MATLAB的六连杆打纬机构优化设计及仿真[J]. 纺织学报, 2006, 27(3): 40 -42 .