纺织学报 ›› 2022, Vol. 43 ›› Issue (06): 115-120.doi: 10.13475/j.fzxb.20210305206

• 染整与化学品 • 上一篇    下一篇

有机硅及其共混物在锦纶/氨纶织物上的迁移与分布

权衡1,2, 任敬之1,2, 陈文龙3, 袁辉4, 谢南平5, 巫若子6, 倪丽杰1,2()   

  1. 1.武汉市生态染整及功能纺织品工程技术研究中心, 湖北 武汉 430200
    2.生物质纤维与生态染整湖北省重点实验室, 湖北 武汉 430200
    3.中山天信助剂实业有限公司, 广东 中山 528400
    4.广东溢达纺织有限公司, 广东 佛山 528000
    5.广东德润纺织有限公司,广东 佛山 528000
    6.江门职业技术学院, 广东 江门 529100
  • 收稿日期:2021-03-15 修回日期:2022-03-25 出版日期:2022-06-15 发布日期:2022-07-15
  • 通讯作者: 倪丽杰
  • 作者简介:权衡(1971—),男,教授,博士。主要研究方向为高分子纺织化学助剂及清洁印染工艺研究。
  • 基金资助:
    湖北省科技计划项目(2021BAA209)

Migration and distribution of organic silicon and its blends on polyamide/polyurethane fabrics

QUAN Heng1,2, REN Jingzhi1,2, CHEN Wenlong3, YUAN Hui4, XIE Nanping5, WU Ruozi6, NI Lijie1,2()   

  1. 1. Wuhan Engineering Research Center of Eco-Dyeing & Finishing and Functional Textile, Wuhan, Hubei 430200, China
    2. Hubei Key Laboratory of Biomass Fiber and Eco-Dyeing & Finishing, Wuhan, Hubei 430200, China
    3. Zhongshan Tianxin Auxiliary Industry Co., Ltd., Zhongshan, Guangong 528400, China
    4. Guangdong Esquel Textile Co., Ltd., Foshan, Guangdong 528000,China
    5. Guangdong Derun Textile Co., Ltd., Foshan, Guangdong 528000, China
    6. Jiangmen Polytechnic, Jiangmen, Guangdong 529100, China
  • Received:2021-03-15 Revised:2022-03-25 Published:2022-06-15 Online:2022-07-15
  • Contact: NI Lijie

摘要:

为探究嵌段硅油及其复合改性物在锦纶/氨纶织物表面上的存在状态,以指导产品研发及生产实践,通过对整理后锦纶/氨纶纤维表面C、N、O、Si元素相对占比的变化进行研究,解析了嵌段硅油及其与聚氨酯改性有机硅的复合物在锦纶/氨纶织物表面的分布状态,并预测了整理后锦纶/氨纶织物的风格变化方向。研究结果表明:聚醚嵌段硅油及其复合改性物在锦纶/氨纶纤维上的分布并不均匀,存在显著的“纵向层次”;柔软剂分子间的纠缠作用能够保证改性剂与嵌段硅油高分子良好的相容性和共混改性效果,且复合改性效果与热处理工艺具有明确、显著的相关性;对柔软整理后的织物进行快速强制冷却,有利于嵌段硅油与改性剂分子之间的强制互溶。

关键词: 嵌段硅油, 柔软剂, 复合改性, 锦纶/氨纶织物, 风格效果

Abstract:

The change of relative proportion of element C, N, O, and Si on the surface of polyamide/polyurethane fiber treated by different polysiloxane softener were studied, in order to explore the macromolecule distribution of polyether segmented polysiloxane softener and its modification on the surface of polyamide/polyurethane fabrics. Furthermore, the style effects of treated fabric were forecasted. The results show that the distribution of polyether segmented polysiloxane and its modification on the fiber is not uniform, a significant "vertical hierarchy" can be observed. It's clear that the inter-molecular entanglement of the softener ensures a better compatibility between polyether segmented polysiloxane and modifier. The blending modification effect is explicited, which has significant correlation with thermal treatment process. Rapid forced cooling for the treated fabric is conducive to the forced intersolubility between segmented polysiloxane and modifier molecules.

Key words: segmented polysiloxane softener, softener, physical modification, polyamide/polyurethane fabric, style effect

中图分类号: 

  • TS194.2

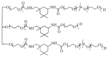
图1

G10结构示意图"

表1

嵌段硅油在锦纶/氨纶纤维表面的元素分布"

元素 占比/%
理论值 实测值
C 35.29 47.02
N 2.42 14.99
O 23.53 28.52
Si 38.75 9.47

图2

嵌段硅油在锦纶/氨纶织物表面的能谱图"

表2

多臂硅烷脲酯在锦纶/氨纶织物表面的元素分布"

元素 占比/%
理论值 实测值
C 44.52 56.57
N 0.67 23.19
O 29.29 19.22
Si 25.52 1.01

图3

G10的红外光谱图"

图4

多臂硅烷脲酯在锦纶/氨纶织物表面的能谱图"

表3

复合嵌段硅油在锦纶/氨纶织物表面的元素分布"

元素 占比/%
理论值 实测值 实测平均值
C 39.90 54.20 51.8
N 1.55 15.92 19.09
O 26.41 22.84 23.87
Si 32.14 7.05 5.24

图5

复合嵌段硅油在锦纶/氨纶织物表面的能谱图"

表4

急/缓冷时复合嵌段硅油在锦纶/氨纶纤维表面的元素分布"

元素 实测占比/%
急冷降温 缓冷降温
C 46.81 52.55
N 21.89 25.25
O 27.76 21.21
Si 3.54 0.99

图6

复合嵌段硅油在锦纶/氨纶织物表面的能谱图(急冷)"

图7

复合嵌段硅油在锦纶/氨纶织物表面的能谱图(缓冷)"

[1] 周煜华, 杨静, 葛利伟, 等. 有机硅柔软剂氨基硅油的研究进展[J]. 江西化工, 2017(4):28-31.
ZHOU Yuhua, YANG Jing, GE Liwei, et al. Research progress of silicone softener amino silicone oil[J]. Jiangxi Chemical Industry, 2017(4):28-31.
[2] 陈焜, 周向东. 低溶剂嵌段硅油的碱法合成及应用[J]. 印染, 2018, 44(15):26-31.
CHEN Kun, ZHOU Xiangdong. Synthesis and application of alkali-based low solvent blocked sili-cone[J]. China Dyeing & Finishing, 2018, 44 (15):26-31.
[3] 冯娜, 贺江平, 胡晓侠, 等. 端羟基有机硅聚氨酯柔软剂的合成研究[J]. 纺织导报, 2016(4):26-30.
FENG Na, HE Jiangping, HU Xiaoxia, et al. Synthesis of hydroxyl-terminated silicone polyurethane softener[J]. China Textile Leader, 2016(4):26-30.
[4] 徐成书, 吴梦婷, 任燕, 等. 线性聚醚嵌段氨基硅油的制备及其性能[J]. 纺织学报, 2019, 40(8):89-94.
XU Chengshu, WU Mengting, REN Yan, et al. Preparation and properties of linear polyether-blocked amino silicone[J]. Journal of Textile Research, 2019, 40(8):89-94.
[5] 潘家炎, 安秋凤, 徐新. 季铵盐端基改性聚醚有机硅的合成及应用[J]. 印染助剂, 2016, 33(9):23-26.
PAN Jiayan, AN Qiufeng, XU Xin. Synthesis and application of quaternary ammonium terminal-group modified polyether organosilicon[J]. Textile Auxiliaries, 2016, 33(9):23-26.
[6] 徐成书, 同晓妮, 蔡再生, 等. 线性聚醚嵌段氨基硅油改性水性聚氨酯抗起毛起球剂的合成及其应用[J]. 纺织学报, 2018, 39(9):84-89.
XU Chengshu, TONG Xiaoni, CAI Zaisheng, et al. Synthesis and application of waterborne polyurethane anti-pillingagent modified by linear polyether-blocked amino silicone[J]. Journal of Textile Research, 2018, 39(9):84-89.
[7] 段鹏真, 杨云飞, 张玲玲. 高稳定性蔗糖聚酯乳液的制及其应用[J]. 纺织学报, 2016, 37(5):97-103.
DUAN Pengzhen, YANG Yunfei, ZHANG Lingling. Preparation and application of high stability sucrosepolyester emulsion[J]. Journal of Textile Research, 2016, 37(5):97-103.
[8] 袁洁, 贺江平. 聚醚型有机硅聚氨酯柔软剂的合成与应用[J]. 印染, 2016, 42(1):9-13.
YUAN Jie, HE Jiangping. Synthesis and application of polyether silicone polyurethane softener[J]. China Dyeing & Finishing, 2016, 42(1):9-13.
[9] LASKARAKIS A. Insights on the morphology of polymer donor:acceptor blends by optical metrology[J]. Thin Solid Films, 2018, 648(4): 62-68.
doi: 10.1016/j.tsf.2018.01.006
[10] MAH A X Y, CHIN H H, NEOH J Q, et al. Design of bio-oil additives via computer-aided molecular design tools andphase stability analysis on final blends[J]. Computers and Chemical Engineering, 2019, 123(4): 257-271.
doi: 10.1016/j.compchemeng.2019.01.008
[11] MU Q, PENG D, WANG F, et al. Preparation and properties of additive polysiloxane/POSS hybrid composites[J]. Key Engineering Materials, 2017, 753(28): 50-59.
doi: 10.4028/www.scientific.net/KEM.753.50
[12] LIU Ting, LIU Diya, ZHOU Wenshi, et al. Effects of soft segment and microstructure of polysiloxane modified cationic waterborne polyurethane on the properties of its emulsion and membrane[J]. Materials Research Express, 2019. DOI: 10.1088/2053-1591/aaea98.
doi: 10.1088/2053-1591/aaea98
[13] SOTO-FIGUEROA C, VICENTE L, ARTÍNEZ-MAGADÁN J M, et al. Mesoscopic simulation of asymmetric-copolymer/homopolymer blends: microphase morphological modification by homo-polymer chains solubilization[J]. Polymer, 2007, 48(13): 3902-3911.
doi: 10.1016/j.polymer.2007.04.043
[14] MAJKA T M, RAFTOPOULOS K N, PIELICHOWSKI K. The influence ofPOSS nanoparticles on selected thermal properties of polyurethane-based hybrids[J]. Journal of Thermal Analysis and Calorimetry, 2018, 133(1): 289-301.
doi: 10.1007/s10973-017-6942-8
[15] KOLAŘÍK J. A model for the yield strength of binary blends of thermoplastics[J]. Polymer, 1994, 35(17): 3631-3637.
doi: 10.1016/0032-3861(94)90539-8
[16] CHIANG T C, LIU H L, TSAI L C, et al. Improvement of the mechanical property and thermal stability of poly-propylenerecycled rubber composite by chemical modification and physical blending[J]. Scientific Reports, 2020, 10(1): 2342.
doi: 10.1038/s41598-020-58338-3
[1] 杨振声, 王炳帅. 烯丙基聚烷氧基环氧醚的制备及其性能[J]. 纺织学报, 2022, 43(03): 103-109.
[2] 周园园, 郑煜铭, 吴小琼, 邵再东. 静电纺纳米纤维光催化剂性能增强方法的研究进展[J]. 纺织学报, 2021, 42(11): 179-186.
[3] 于岩, 章若红, 钟毅, 杜英英, 毛志平, 徐红. 用气相色谱-质谱法测定纺织柔软剂中的环硅氧烷[J]. 纺织学报, 2020, 41(08): 69-73.
[4] 高晶, 张俊, 赵泽阳, 李婉迪, 王佳珺, 王璐. 氧化石墨烯协同TiO2/SiO2改性涤/棉织物的抗菌持久性与服用性[J]. 纺织学报, 2019, 40(10): 120-126.
[5] 刘彦杰 吴明华 陈权胜 宋伟 林鹤鸣. 聚硅氧烷链段相对分子质量对改性聚硅氧烷的影响[J]. 纺织学报, 2014, 35(10): 60-0.
[6] 屠吉利 刘今强. 基于PhabrOmeter的毛巾织物手感风格评价[J]. 纺织学报, 2013, 34(8): 48-0.
[7] 朱艳红;钱程;周大鹏;赵帅;张亚芬. 嵌段型聚醚/氨基硅油的结构表征及应用性能[J]. 纺织学报, 2011, 32(4): 71-74.
[8] 安秋凤.;高胜利;李临生;张西亚;金云霞;李明涛. 棉纤维表面氨基硅的膜形貌及其定向排列方式[J]. 纺织学报, 2007, 28(6): 8-11.
[9] 楼卫东. 柔软剂对BTCA免烫整理棉织物性能的影响[J]. 纺织学报, 2007, 28(5): 89-91.
[10] 张红.;肖稳发. 新型改性有机硅柔软剂的合成及应用性能[J]. 纺织学报, 2006, 27(10): 63-66.
[11] 杨庆斌;李克让;刘逸新;于伟东. 大豆蛋白复合改性纤维的力学性能[J]. 纺织学报, 2006, 27(10): 70-73.
[12] 张治国;尹红;陈志荣. 织物用柔软剂研究进展[J]. 纺织学报, 2005, 26(5): 128-131.
[13] 郑帼;刘燕军;葛启. 加成法合成氨基硅油[J]. 纺织学报, 2005, 26(1): 73-75.
[14] 陈胜慧;刘华丽;杨亚江. 织物湿摩擦系数测试仪F-Tester的研制与应用[J]. 纺织学报, 2003, 24(03): 80-82.
[15] 吕彤;吴赞敏;郭晓红;李凡. 柔软剂MA的制备及应用性能研究[J]. 纺织学报, 2000, 21(06): 41-43.
Viewed
Full text


Abstract

Cited

  Shared   
  Discussed   
No Suggested Reading articles found!