纺织学报 ›› 2022, Vol. 43 ›› Issue (12): 42-47.doi: 10.13475/j.fzxb.20210906506

• 纤维材料 • 上一篇    下一篇

废弃玉米秸秆的结构特征及其吸声性能

吕丽华(), 李臻   

  1. 大连工业大学 纺织与材料工程学院, 辽宁 大连 116034
  • 收稿日期:2021-09-01 修回日期:2022-05-13 出版日期:2022-12-15 发布日期:2023-01-06
  • 作者简介:吕丽华(1978—),女,教授,博士。主要研究方向为纤维材料再生资源利用技术。E-mail lvlh@dlpu.edu.cn
  • 基金资助:
    大连市科技创新基金项目(2019J12SN71)

Structural characteristics and sound absorption performance of waste corn straw

LÜ Lihua(), LI Zhen   

  1. School of Textile and Material Engineering, Dalian Polytechnic University, Dalian, Liaoning 116034, China
  • Received:2021-09-01 Revised:2022-05-13 Published:2022-12-15 Online:2023-01-06

摘要:

为增加废弃玉米秸秆的回收利用率,分别以长度为1.5、6和10 mm的废弃秸秆颗粒、棉纤维和大麻纤维为增强材料,聚己内酯为基体材料,通过热压成型工艺制备厚度为1.5 cm的吸声复合材料。采用声阻抗传递函数法对复合材料的吸声性能进行测试与对比,并分析其吸声机制。结果表明:1.5 mm长的废弃秸秆所制备复合材料的吸声性能最好,最大吸声系数达到0.71,平均吸声系数为0.50,降噪系数达到了0.51;废弃秸秆纤维素大分子主链上的氧六环结构为声波反复反射、折射提供了基础,较高的线性使得氢键等单键能够自由旋转,增加了声波能量的消耗,且废弃玉米秸秆的结晶度低使得声能易于沿着分子链传播,从而将声能转化为分子链段振动耗散。

关键词: 废弃玉米秸秆, 吸声材料, 结构特征, 吸声性能, 吸声机制, 聚己内酯

Abstract:

In order to recycle effectively the waste corn straw, sound-absorbing composites with a thickness of 1.5 cm were prepared by hot pressing the waste straw pellets with length of 1.5 mm, 6 mm, and 10 mm, cotton fiber and hemp fiber as reinforcement materials, and polycaprolactone as the matrix material. The sound absorption capabilities of the composites were evaluated and compared using the acoustic impedance transfer function approach. The results demonstrate that the 1.5 mm length of waste corn straw is suitable for the creation of sound-absorbing composites because it has the best sound absorption performance, with a maximum absorption coefficient of 0.71, an average absorption coefficient of 0.50, and a noise reduction coefficient of 0.51. The oxyhexacyclic structure on the main chain in corn straw cellulose macromolecule provides the basis for repeated reflection and refraction of sound waves. The high linearity enables the hydrogen bonds and other single bonds to rotate freely, which increases the consumption of sound energy. Moreover, the low crystallinity of waste corn straw makes the sound energy easy to propagate along the molecular chain, thus converting the sound energy into the vibration dissipation of the molecular chain.

Key words: waste corn straw, sound absorption material, structural characteristic, sound absorption performance, sound absorption mechanism, polycaprolactone

中图分类号: 

  • TS102.9

图1

不同增强体制备的复合材料的实物图"

图2

不同增强体制备复合材料的吸声系数曲线"

表1

复合材料的平均吸声系数和降噪系数"

样品名称 平均吸声系数 降噪系数
1.5 mm 废弃秸秆复合材料 0.50 0.51
6 mm 废弃秸秆复合材料 0.37 0.36
10 mm 废弃秸秆复合材料 0.36 0.28
棉纤维复合材料 0.20 0.16
大麻纤维复合材料 0.26 0.24

图3

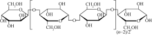
纤维素Ⅰ结构式"

图4

β-D-葡萄糖椅式氧六环结构"

图5

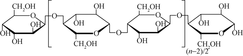
吡喃木糖结构"

图6

废弃玉米秸秆的XRD图谱"

图7

废弃玉米秸秆形态结构的SEM照片"

[1] 王少聪, 王娟, 许超, 等. 玉米秸秆织物设计及其在装饰纺织品上的创新应用[J]. 染整技术, 2022, 44(2): 54-58.
WANG Shaocong, WANG Juan, XU Chao, et al. Design of corn straw fabric and its innovative application in decorative textiles[J]. Dyeing and Finishing Technology, 2022, 44(2): 54-58.
[2] 唐英迪, 袁洪印. 浅谈我国玉米秸秆综合利用现状及存在的问题[J]. 农业与技术, 2020, 40(13): 43-44.
TANG Yingdi, YUAN Hongyin. Current situation and Existing problems of comprehensive utilization of corn straw in China[J]. Agriculture and Technology, 2020, 40(13): 43-44.
[3] WANG H X, YAO D F, XU J L, et al. Investigation of technology for composting mixed deer manure and straw[J]. Environmental Science and Pollution Research International, 2021, 28(33): 45805-45825.
doi: 10.1007/s11356-021-13886-7
[4] Al-KAISI M, TENESACA C. In-field corn residue management for bioenergy use: potential effects on selected soil health parameters[J]. Open Journal of Soil Science, 2021, 11(4): 241-255.
doi: 10.4236/ojss.2021.114013
[5] ZHANG J M, HORI N, TAKEMURA A. Reinforcement of agricultural wastes liquefied polyols based polyurethane foams by agricultural wastes particles[J]. Journal of Applied Polymer Science, 2021, 138(23): 50583-50596.
doi: 10.1002/app.50583
[6] 肖力光, 赵露, 陈景义. 利用秸秆制造新型复合节能墙体材料的可行性研究[J]. 吉林建筑工程学院学报, 2004(2): 1-6,13.
XIAO Liguang, ZHAO Lu, CHEN Jingyi. Feasibility study on making new composite energy saving wall material with straw[J]. Journal of Jilin Architectural and Civil Engineering Institute, 2004(2): 1-6,13.
[7] 华亮, 黄银娣. 汽车用新型吸声材料:稻草秸秆板吸声性能的测定[J]. 生物质化学工程, 2007(6): 29-31.
HUA Liang, HUANG Yindi. Determination of sound absorption performance of straw straw board as a new sound absorption material for automobile[J]. Biomass Chemical Engineering, 2007(6): 29-31.
[8] LIU Y J, LYU L H, XIONG X Q, et al. Structural characteristics and sound absorption properties of poplar seed fibers[J]. Textile Research Journal, 2020, 90(21/22): 2467-2477.
doi: 10.1177/0040517520921396
[9] 吕丽华, 刘英杰, 郭静, 等. 废弃羽毛的结构特征及其吸声性能[J]. 纺织学报, 2020, 41(1): 32-38.
LÜ Lihua, LIU Yingjie, GUO Jing, et al. Structural characteristics and sound absorption propertiesof waste feather[J]. Journal of Textile Research, 2020, 41(1): 32-38.
doi: 10.1177/004051757104100106
[10] 吕丽华, 李臻, 张多多. 废弃秸秆吸声复合材料的制备与性能[J]. 纺织学报, 2022, 43(1): 30-37.
LÜ Lihua, LI Zhen, ZHANG Duoduo. Preparation and properties of sound absorbing composites based on the use of waste straws[J]. Journal of Textile Research, 2022, 43(1): 30-37.
[11] 继诚. 植物纤维化学[M].4版. 北京: 中国轻工业出版社, 2012:166-167.
JI Cheng. Plant fiber chemistry[M]. 4th ed. Beijing: China Light Industry Press, 2012:166-167.
[12] MEI Y, CHE Q, YAN Q, et al. Torrefaction of different parts froma corn stalk and its effect on the characterization of products[J]. Industrial Crops & Products, 2016, 92: 26-33.
[13] 龚木荣. 制浆造纸概论[M]. 北京: 中国轻工业出版社, 2019: 15-16.
GONG Murong. Introduction to pulp and paper making[M]. Beijing: China Light Industry Press, 2019: 15-16.
[14] ZUGENMAIER P. Order in cellulosics: historical review of crystal structure research on cellulose[J]. Carbohydrate Polymers, 2021, 254: 117417.
doi: 10.1016/j.carbpol.2020.117417
[15] 刘英杰. 杨絮纤维/聚己内酯复合材料的制备及吸声性能分析[D]. 大连: 大连工业大学, 2020: 15-17.
LIU Yingjie. Preparation and sound absorption performance of the poplar seed fiber/polycaprolactone composite materials[D]. Dalian: Dalian Polytechnic University, 2020: 15-17.
[16] HUANG J B, LIU C, TONG H, et al. Theoretical studies on pyrolysis mechanism of xylopyranose[J]. Computational and Theoretical Chemistry, 2012, 1001: 44-50.
doi: 10.1016/j.comptc.2012.10.015
[17] 宁春平, 易玉华. 竹纤维的表面包覆及其对浇注型聚氨酯弹性体力学性能的影响[J]. 复合材料学报, 2021, 38(8): 2715-2723.
NING Chunping, YI Yuhua. Surface coating of bamboo fibres and its effects on the mechanical properties of casting polyurethane elastomer[J]. Journal of Composite Materials, 2021, 38(8): 2715-2723.
[18] 于伟东. 纺织材料学[M]. 北京: 中国纺织出版社, 2006: 147-148.
YU Weidong. Textile materials science[M]. Beijing: China Textile & Apparel Press, 2006: 147-148.
[19] CROCKER M J, ARENAS J P. Recent trends in porous sound-absorbing materials[J]. Sound & Vibration, 2010, 44(7): 12-17.
[1] 渠赟, 马维, 刘颖, 任学宏. 可光降解聚羟基丁酸酯/聚己内酯基抗菌纤维膜的制备及其性能[J]. 纺织学报, 2022, 43(06): 29-36.
[2] 张宇, 刘来俊, 李超婧, 晋巧巧, 谢千阳, 李佩伦, 王富军, 王璐. 外泌体功能化串晶结构纤维膜的制备及其成骨分化性能[J]. 纺织学报, 2022, 43(03): 24-30.
[3] 吕丽华, 李臻, 张多多. 废弃秸秆/聚己内酯吸声复合材料的制备与性能[J]. 纺织学报, 2022, 43(01): 28-35.
[4] 张子煜, 徐洋, 盛晓伟, 解国升. 基于统计能量分析的簇绒地毯织机高频噪声抑制[J]. 纺织学报, 2021, 42(03): 169-174.
[5] 李好义, 许浩, 陈明军, 杨涛, 陈晓青, 阎华, 杨卫民. 纳米纤维吸声降噪研究进展[J]. 纺织学报, 2020, 41(11): 168-173.
[6] 沈岳, 蒋高明, 刘其霞. 梯度结构活性碳纤维毡吸声性能分析[J]. 纺织学报, 2020, 41(10): 29-33.
[7] 潘璐, 程亭亭, 徐岚. 聚己内酯/聚乙二醇大孔径纳米纤维膜的制备及其在组织工程支架中的应用[J]. 纺织学报, 2020, 41(09): 167-173.
[8] 吕丽华, 刘英杰, 郭静, 王滢, 毕吉红, 叶方. 废弃羽毛的结构特征及其吸声性能[J]. 纺织学报, 2020, 41(01): 32-38.
[9] 李长伟 吕丽华. 废弃羊毛吸声复合材料的制备及其性能[J]. 纺织学报, 2018, 39(10): 74-80.
[10] 王利君 熊杰 骆菁菁 赵兴艳 赵新飞. 聚乳酸-聚己内酯/丝素蛋白三元复合纳米纤维膜支架的结构与性能[J]. 纺织学报, 2017, 38(05): 8-13.
[11] 姜生 倪诗吟 张利娟. 锦纶对纺织废胶-受阻酚微观形态与性能的影响[J]. 纺织学报, 2017, 38(03): 72-77.
[12] 崔红 高秀丽 张伟 吕立斌. 自捻纱的拉伸力学性能[J]. 纺织学报, 2017, 38(03): 44-48.
[13] 吕丽华 毕吉红 于翔. 废弃纤维吸声复合材料的制备及其吸声性能[J]. 纺织学报, 2016, 37(2): 39-43.
[14] 栾巧丽 邱华 成钢 葛明桥. 废旧羊毛非织造布的制备及其吸声性能[J]. 纺织学报, 2016, 37(07): 77-81.
[15] 胡凤霞 杜兆芳 赵淼淼 张健. 麻纤维汽车内饰材料的吸声性能与针刺工艺的关系[J]. 纺织学报, 2013, 34(12): 45-0.
Viewed
Full text


Abstract

Cited

  Shared   
  Discussed   
No Suggested Reading articles found!