纺织学报 ›› 2024, Vol. 45 ›› Issue (12): 33-40.doi: 10.13475/j.fzxb.20231003001

• 纤维材料 • 上一篇    下一篇

取向增强抗CO2腐蚀纤维薄膜的制备及其性能

卢海龙1, 于影2(), 左雨欣3, 王浩然1, 陈洪立1, 汝欣1   

  1. 1.浙江理工大学 机械工程学院, 浙江 杭州 310018
    2.嘉兴大学 信息科学与工程学院,浙江 嘉兴 314001
    3.嘉兴南湖学院, 浙江 嘉兴 314001
  • 收稿日期:2023-10-10 修回日期:2024-03-06 出版日期:2024-12-15 发布日期:2024-12-31
  • 通讯作者: 于影(1988—),女,副教授,博士。主要研究方向为功能化纤维材料制备与柔性电子器件。E-mail:yingyu@zjxu.edu.cn
  • 作者简介:卢海龙(2000—),男,硕士生。主要研究方向为功能纤维的制备。
  • 基金资助:
    国家自然科学基金项目(52305059);浙江省自然科学基金项目(LGG21E050021);嘉兴市应用性基础研究专项项目(2020AY10015);嘉兴市应用性基础研究专项项目(2020AD10015);嘉兴市应用性基础研究专项项目(2021AY30020)

Preparation and properties of orientation reinforced CO2 corrosion resistant fiber membrane

LU Hailong1, YU Ying2(), ZUO Yuxin3, WANG Haoran1, CHEN Hongli1, RU Xin1   

  1. 1. School of Mechanical Engineering, Zhejiang Sci-Tech University, Hangzhou, Zhejiang 310018, China
    2. College of Information Science and Engineering, Jiaxing University, Jiaxing, Zhejiang 314001, China
    3. Jiaxing Nanhu University, Jiaxing, Zhejiang 314001, China
  • Received:2023-10-10 Revised:2024-03-06 Published:2024-12-15 Online:2024-12-31

摘要:

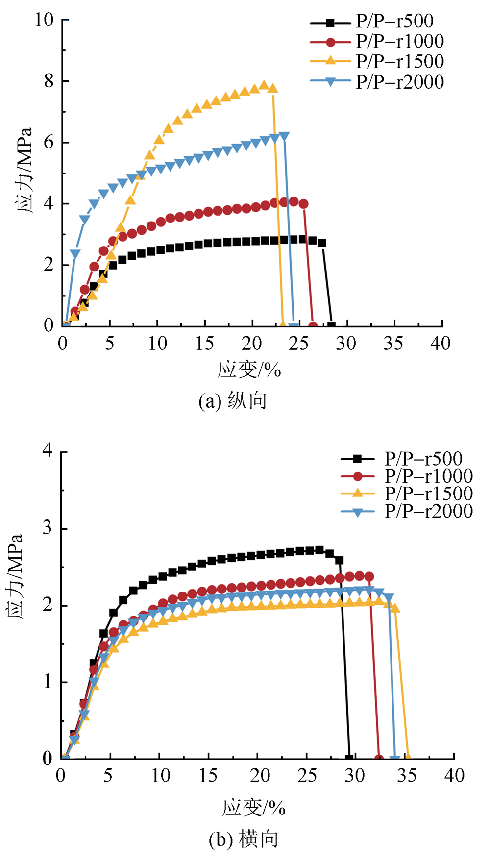
针对柔性金属空气电池阴极腐蚀问题,采用静电纺丝技术在不同滚筒转速条件下制备了4组聚乙烯亚胺(PEI)/聚丙烯腈(PAN)复合纤维薄膜。采用傅里叶变换红外光谱仪、X射线衍射仪、扫描电子显微镜、比表面积和孔径分析仪、同步热分析仪和柔性电子器件综合测试平台等对复合纤维薄膜的物理特性、CO2吸附性能及力学性能进行表征。结果表明:静电纺丝制备的PEI/PAN复合纤维薄膜的纤维表面较粗糙,存在沟壑、褶皱和微孔等形貌结构;当接收滚筒转速在1 500 r/min时,PEI/PAN复合纤维薄膜中纤维排列较规整,结晶度高,取向性显著;相比接收滚筒转速为500 r/min时制备的随机取向的纤维薄膜,接收滚筒转速为1 500 r/m时制备的高取向纤维薄膜的比表面积增大了82.29%,CO2吸附性能提升了62.06%,纵向拉伸断裂强度增强了178.57%。本研究通过取向增强获得了兼具抗CO2腐蚀性能和优异力学性能的静电纺丝柔性金属空气电池阴极隔膜,为柔性金属空气电池阴极抗CO2腐蚀薄膜的制备工艺方法提供参考。

关键词: 取向纳米纤维膜, 静电纺丝, CO2吸附, 力学性能, 电池隔膜材料

Abstract:

Objective CO2 corrosion of the cathode in flexible metal-air batteries severely reduces its electrochemical performance and greatly hinders the further development of flexible metal-air batteries. Existing research shows that the amino functional group in PEI has strong adsorption capacity for CO2. By increasing the orientation of the fiber membrane, the specific surface area and pore volume of the fiber membrane can be increased, thereby enhancing the adsorption capacity of the fiber membrane. A high degree of orientation can also enhance the mechanical properties of the membrane to a certain extent. However, there are few studies on cathode separators for flexible metal-air batteries offering both excellent CO2 adsorption capacity and good mechanical properties. As such, this study aims to use electrospinning technology to prepare highly oriented Polyethyleneimine(PEI)/polyacryloni-trile(PAN) composite fiber membrane by adjusting the drum speed, and to characterize its physical properties, mechanical properties and CO2 adsorption properties.

Method Four different groups of PEI/PAN composite fiber membranes were prepared at the drum rotation speeds of 500, 1 000, 1 500 and 2 000 r/min respectively. Fourier transform infrared spectroscopy, X-ray diffractometer, Scanning electron microscopy, and a flexible electronic comprehensive test platform were used to characterize the physical properties and mechanical properties of the composite fiber membranes. The CO2 adsorption performance of the composite fiber membranes was characterized by a specific surface area and pore size analyzer and a simultaneous thermal analyzer, and the influence of orientation on the CO2 adsorption capacity and mechanical properties of the PEI/PAN composite fiber membrane was explored.

Results The results of infrared spectroscopy and scanning electron microscopy show that the PEI/PAN composite fiber membrane was successfully prepared by electrospinning, and as the drum speed increases, the fiber diameter decreases. The rotation speed of the drum greatly affected the orientation of the fibers. When the rotation speed was 1 500 r/min, the orientation of the fibers seemed the best. The high degree of orientation obtained by increasing the rotation speed of the drum can obtain a larger specific surface area and pore volume of the PEI/PAN composite fiber membrane, thus improving its ability to adsorb CO2. This is mainly due to the smaller fiber diameter and the larger gap formed by fiber stacking between the non-oriented and oriented directions. The increase in fiber orientation also enhances the crystallinity of fibers, which greatly affects their mechanical properties. High orientation caused increase the tensile breaking strength and Young's modulus of the fibers in the longitudinal direction. This is mainly because the nanofibers arew able to withstand greater tensile stress when they are aligned.

Conclusion The PEI/PAN composite fiber membrane prepared by electrospinning at 1 500 r/min has excellent orientation. Compared with the randomly oriented composite fiber membrane prepared by electrospinning at 500 r/min, the CO2 adsorption capacity of the prepared membrane is increased by 62.06%, the longitudinal tensile breaking strength is enhanced by 178.57%, and the Young's modulus is enhanced by 245.3%. The research reported in this article provides a reference for the preparation of cathode anti-CO2 corrosion membranes for flexible metal-air batteries.

Key words: oriented nanofiber membrane, electrospinning, CO2 adsorption, mechanical property, battery diaphragm material

中图分类号: 

  • TQ152

图1

静电纺丝示意图"

图2

PEI/PAN复合纤维薄膜的红外光谱图"

图3

不同转速下纤维膜的XRD图谱"

图4

不同转速下纤维的截面SEM照片"

图5

不同转速下纤维膜的表面SEM照片及对应纤维直径分布"

图6

不同转速下纤维的取向度分布图"

图7

不同转速下纤维膜的N2等温吸附-脱附曲线"

表1

不同转速下纤维膜的比表面积与累计孔体积"

样品编号 比表面积/
(m2·g-1)
累计孔体积/
(cm3·g-1)
P/P-r500 3.762 0.005 097
P/P-r1000 5.974 0.007 534
P/P-r1500 6.858 0.008 943
P/P-r2000 6.258 0.008 262

图8

不同转速下纤维膜与活性炭的CO2吸附曲线"

图9

P/P-r1500的纵向拉伸实物图"

表2

不同转速下纤维膜的纵向力学性能参数"

样品 拉伸断裂强度/
MPa
断裂伸长率/
%
弹性模量/
MPa
P/P-r500 2.8±0.1 27.4±0.1 10.22
P/P-r1000 4.0±0.1 25.3±0.1 15.81
P/P-r1500 7.8±0.1 22.1±0.1 35.29
P/P-r2000 6.2±0.1 23.4±0.1 26.49

图10

不同转速下纤维膜的纵向与横向拉伸应力-应变曲线"

[1] 方剑, 任松, 张传雄, 等. 智能可穿戴纺织品用电活性纤维材料[J]. 纺织学报, 2021, 42(9): 1-9.
FANG Jian, REN Song, ZHANG Chuanxiong, et al. Electroactive fibrous materials for intelligent wearable textiles[J]. Journal of Textile Research, 2021, 42(9): 1-9.
[2] 王津, 胡开瑞, 张刘飞, 等. 纤维材料在柔性可穿戴锌电池中的应用进展[J]. 纺织学报, 2022, 43(10): 192-199.
WANG Jin, HU Kairui, ZHANG Liufei, et al. Application progress of fiber materials in flexible wearable zinc batteries[J]. Journal of Textile Research, 2022, 43(10): 192-199.
[3] WANG Y, XU C, YU X, et al. Multilayer flexible electronics: manufacturing approaches and applica-tions[J]. Materials Today Physics, 2022. DOI: 10.1016/j.mtphys.2022.100647.
[4] LIU X, JIAO H, WANG M, et al. Current progresses and future prospects on aluminium-air batteries[J]. International Materials Reviews, 2022, 67(7): 734-764.
[5] MOKHTAR M, TALIB M Z M, MAJLAN E H, et al. Recent developments in materials for aluminum-air batteries: a review[J]. Journal of Industrial and Engineering Chemistry, 2015, 32: 1-20.
[6] PEI Z, YUAN Z, WANG C, et al. A flexible rechargeable zinc-air battery with excellent low-temperature adaptability[J]. Angewandte Chemie International Edition, 2020, 59(12): 4793-4799.
[7] HUANG C L, WANG P Y, LI Y Y. Fabrication of electrospun CO2 adsorption membrane for zinc-air battery application[J]. Chemical Engineering Journal, 2020. DOI: 10.1016/j.cej.2020.125031.
[8] SUN H, WU C, SHEN B, et al. Progress in the development and application of CaO-based adsorbents for CO2 capture: a review[J]. Materials Today Sustainability, 2018, 1: 1-27.
[9] RUHAIMI A H, AZIZ M A A, JALIL A A. Magnesium oxide-based adsorbents for carbon dioxide capture: Current progress and future opportunities[J]. Journal of CO2 Utilization, 2021. DOI: 10.1016/j.jcou.2020.101357.
[10] AL Mesfer, MOHAMMED K. Synthesis and characterization of high-performance activated carbon from walnut shell biomass for CO2 capture[J]. Environmental Science and Pollution Research, 2020, 27(13): 15020-15028.
[11] MANSOURIZADEH A, ISMAIL A F, MATSUURA T. Effect of operating conditions on the physical and chemical CO2 absorption through the PVDF hollow fiber membrane contactor[J]. Journal of Membrane Science, 2010, 353(1/2): 192-200.
[12] TUNCAY G, KESKIN B, TÜRKEN T, et al. Development of braid reinforced hollow fiber membranes as both ultrafiltration and nanofiltration membranes: Effect of pore forming additive on structure and performance[J]. Journal of Applied Polymer Science, 2022. DOI: 10.1002/app.53098.
[13] HOU H, SHANG M, WANG L, et al. Efficient photocatalytic activities of TiO2 hollow fibers with mixed phases and mesoporous walls[J]. Scientific reports, 2015, 5(1): 1-9.
[14] KANG S, HWANG J. CoMn2O4 embedded hollow activated carbon nanofibers as a novel peroxymonosulfate activator[J]. Chemical Engineering Journal, 2021. DOI: 10.1016/j.cej.2020.127158.
[15] WEI S, ZHOU M, DU W. Improved acetone sensing properties of ZnO hollow nanofibers by single capillary electrospinning[J]. Sensors and Actuators B: Chemical, 2011, 160(1): 753-759.
[16] 李春艳. PVDF电纺纤维膜的成型及其性能研究[D]. 广州: 华南理工大学, 2014: 35-40.
LI Chunyan. Processing and properties of electrospun PVDF fiber mats[D]. Guangzhou: South China University of Technology, 2014: 35-40.
[17] BHARDWAJ N, KUNDU S C. Electrospinning: a fascinating fiber fabrication technique[J]. Biotechnology Advances, 2010, 28(3): 325-347.
[18] 沈雪华, 颜枫, 谢丰, 等. 固废源固态胺吸附剂用于CO2捕集研究进展[J]. 硅酸盐学报, 2023, 51(9): 2411-2422.
SHEN Xuehua, YAN Feng, XIE Feng, et al. Research progress of solid amine adsorbents derived from solid waste for CO2 capture[J]. Journal of the Chinese Ceramic Society, 2023, 51(9): 2411-2422.
[19] ZHANG Y, GUAN J, WANG X, et al. Balsam-pear-skin-like porous polyacrylonitrile nanofibrous membranes grafted with polyethyleneimine for postcombustion CO2 capture[J]. ACS Applied Materials & Interfaces, 2017, 9(46): 41087-41098.
[20] HUANG C L, WANG P Y, LI Y Y. Fabrication of electrospun CO2 adsorption membrane for zinc-air battery application[J]. Chemical Engineering Journal, 2020. DOI: 10.1016/j.cej.2020.125031.
[21] AL-SALEH M A, GULTEKIN S, AL-ZAKRI A S, et al. Effect of carbon dioxide on the performance of Ni/PTFE and Ag/PTFE electrodes in an alkaline fuel cell[J]. Journal of applied electrochemistry, 1994, 24: 575-580.
[22] DANWITTAYAKUL S, MUENSRI P. Polyethyleneimine coated polyacrylonitrile cellulose membrane for colorimetric copper (II) determina-tion[J]. Journal of Water Chemistry and Techno-logy, 2020, 42: 22-29.
[23] 王曙东, 李双燕, 张幼珠, 等. 静电纺PLA取向超细纤维膜的结构与性能[J]. 产业用纺织品, 2009, 27(9): 8-11.
WANG Shudong, LI Shuangyan, ZHANG Youzhu, et al. Structure and properties of electrospun aligned PLA ultrafine fibres[J]. Technical Textiles, 2009, 27(9): 8-11.
[24] YANG Z H, GAO Y. BET surface area analysis on microporous materials[J]. Mod Sci Instrum, 2010, 1: 97-102.
[25] 杜青, 何祎, 余坦竟, 等. 取向PAN/MWCNTs与热塑性聚烯烃复合材料的制备及表征[J]. 中国塑料, 2022, 36(8): 49-55.
DU Qing, HE Yi, YU Tanjing, et al. Preparation and characterization of oriented thermoplastic polyolefin/PAN/MWCNT composites[J]. China Plastics, 2022, 36(8): 49-55.
[1] 雷福旺, 冯其, 侯奥菡, 赵振鸿, 谭佳兆, 赵景, 王先锋. 聚偏氟乙烯-聚丙烯腈/SiO2单向导湿纤维膜的制备及其性能[J]. 纺织学报, 2024, 45(12): 1-8.
[2] 刘霞, 吴改红, 闫子豪, 王彩柳. 智能相变调温聚乳酸纤维膜的制备及其性能[J]. 纺织学报, 2024, 45(12): 18-24.
[3] 王雅文, 刘娜, 王元非, 吴桐. 静电纺纳米纤维纱线及其对细胞迁移和血管化的调控[J]. 纺织学报, 2024, 45(12): 25-32.
[4] 刘健, 董守骏, 王程皓, 刘泳汝, 潘山山, 尹兆松. 花瓣状多尖端静电纺丝喷头的电场模拟及优化[J]. 纺织学报, 2024, 45(10): 191-199.
[5] 张佃平, 王昊, 林文峰, 王振秋. 多喷头纺丝装置的仿真与设计[J]. 纺织学报, 2024, 45(10): 200-207.
[6] 李蒙, 戴梦男, 俞杨销, 王建南. 丝素蛋白基骨修复材料的应用研究进展[J]. 纺织学报, 2024, 45(10): 224-231.
[7] 刘婷, 闫涛, 潘志娟. 香蕉茎秆纤维/抗菌纤维混纺纱的制备及其性能[J]. 纺织学报, 2024, 45(10): 48-54.
[8] 王浩然, 于影, 左雨欣, 顾志清, 卢海龙, 陈洪立, 柯俊. 聚乙烯亚胺/聚丙烯腈复合纤维薄膜的制备及其功能化应用[J]. 纺织学报, 2024, 45(09): 26-32.
[9] 王清鹏, 张海艳, 王雨婷, 张涛, 赵燕. 聚环氧乙烷/Al2O3被动辐射降温膜的制备及其性能[J]. 纺织学报, 2024, 45(09): 33-41.
[10] 杨硕, 赵朋举, 程春祖, 李晨暘, 程博闻. 非对称润湿性纤维复合膜的制备及其油水分离性能[J]. 纺织学报, 2024, 45(08): 10-17.
[11] 王永政, 黄林涛, 宋付权. 石油沥青/聚丙烯腈静电纺碳纳米纤维的制备工艺优化及其性能[J]. 纺织学报, 2024, 45(08): 107-115.
[12] 闫迪, 王雪芳, 谭文萍, 高国金, 明津法, 宁新. 富咪唑型多孔左旋聚乳酸纳米纤维膜制备及其双重净水性能[J]. 纺织学报, 2024, 45(08): 116-126.
[13] 陈灿, 拖晓航, 王迎. 取向聚氨酯纳米纤维膜卷纱的制备及其力学性能[J]. 纺织学报, 2024, 45(08): 134-141.
[14] 钱洋, 张璐, 李晨阳, 王荣武. 静电纺海藻酸钠复合纳米纤维膜制备及其性能[J]. 纺织学报, 2024, 45(08): 18-25.
[15] 刘嘉炜, 季东晓, 覃小红. 空气过滤用静电纺纳米纤维材料研究进展[J]. 纺织学报, 2024, 45(08): 35-43.
Viewed
Full text


Abstract

Cited

  Shared   
  Discussed   
No Suggested Reading articles found!