纺织学报 ›› 2019, Vol. 40 ›› Issue (11): 131-139.doi: 10.13475/j.fzxb.20181000409

• 染整与化学品 • 上一篇    下一篇

硫酸根自由基对酸性红37的降解动力学与机制

庄帅1, 阳海1(), 安继斌2, 胡倩1, 张浩1, 贺贵添1, 易兵1   

  1. 1.湖南工程学院 环境催化与废弃物再生化湖南省重点实验室, 湖南 湘潭 411104
    2.重庆文理学院 环境材料与修复技术重庆市重点实验室, 重庆 402160
  • 收稿日期:2018-10-08 修回日期:2019-08-11 出版日期:2019-11-15 发布日期:2019-11-26
  • 通讯作者: 阳海
  • 作者简介:庄帅(1993—),男,硕士生。主要研究方向为纺织化学与染整工程。
  • 基金资助:
    国家自然科学基金项目(21772035);湖南省自然科学基金项目(2018JJ2079);湖南省教育厅项目(17B061);湖南省教育厅项目(18C0698)

Degradation kinetics and mechanism of Acid Red 37 under attack of sulfate radicals

ZHUANG Shuai1, YANG Hai1(), AN Jibin2, HU Qian1, ZHANG Hao1, HE Guitian1, YI Bing1   

  1. 1. Hunan Provincial Key Laboratory of Environmental Catalysis & Waste Recycling, Hunan Institute of Engineering, Xiangtan, Hunan 411104, China
    2. Chongqing Key Laboratory of Environmental Materials & Remediation Technologies, Chongqing University of Arts and Sciences, Chongqing 402160, China
  • Received:2018-10-08 Revised:2019-08-11 Online:2019-11-15 Published:2019-11-26
  • Contact: YANG Hai

摘要:

为探索酸性红37(AR37)在硫酸根自由基作用下的降解可行性,设计了短波紫外光(UVC)活化乙腈(ACN)和水中过二硫酸钾盐K2S2O8(PDS)体系,研究了UVC/PDS/(90%ACN+10%H2O)体系中不同PDS用量、底物浓度、反应温度和光照强度等因素对AR37降解动力学的影响,借助液质联用仪对该体系中AR37的降解中间产物进行鉴定,并对AR37降解途径进行推导。结果表明:AR37在UVC/PDS/(90%ACN+10%H2O)体系中具有较好的降解效果,反应60 min其去除率达到98%以上,降解速率为0.123 min-1;高温和光强增强有利于PDS产生硫酸根自由基,从而提高了AR37的降解效率;UVC/PDS/(90%ACN+10%H2O)体系中硫酸根自由基对AR37的降解占据主导作用,而AR37的初始降解途径主要包括单电子转移反应导致的脱磺酸基和偶氮键断裂,以及吸氢反应和取代反应导致的羟基化产物等。

关键词: 酸性红37, 偶氮染料, 染料废水, 降解动力学, 光活化

Abstract:

In order to explore the degradation possibility of Acid Red 37 (AR37) under the attack of sulfate radicals, the system of UVC-activated potassium persulfate (PDS) was obtained in mixed solution of acetonitrile (ACN) and water. Firstly, the degradation feasibility of AR37 in different solutions, such as dimethyl sulfoxide (DMSO), N-N-dimethylformamide (DMF), ACN and water, was compared. And then the influences of the dosage of PDS, the concentration of substrate, the reaction temperature and the UVC light intensity on the degradation kinetics of AR37 were studied in the system of UVC/PDS/(90%ACN+10%H2O). Lastly, the degradation intermediates of AR37 were identified by HPLC/MS/MS and the transformation mechanism was proposed. The results indicated that AR37 can be degraded in the system of UVC/PDS/(90%ACN+10%H2O). The removal efficiency of AR37 is more than 98% and the pseudo-first-order rate is 0.123 min-1. Higher temperature and light intensity facilitate producing the sulfate free radical, which is helpful for the degradation of AR37; and the sulfate free radical plays an important role in the degradation of AR37 in the system of UVC/PDS/(90%ACN+10%H2O). Based on the degradation intermediates, the degradation pathway is deduced, such as the cleavage of azo bond and the desulfonation due to single electron transfer of the sulfate free radical, as well as hydroxylation products from hydrogen-abstracted and substitution reaction.

Key words: Acid Red 37, azo dye, dye wastewater, degradation kinetics, photo-activated

中图分类号: 

  • X131

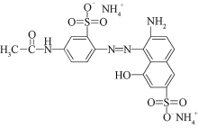
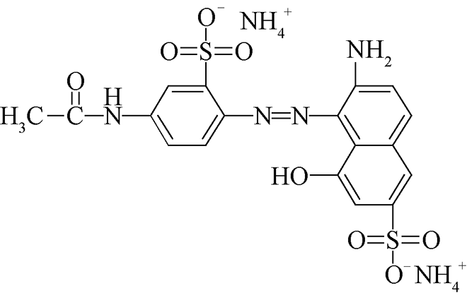
图1

AR37分子结构式"

图2

AR37在不同溶剂中的降解效果"

图3

AR37在4种不同ACN溶剂体系中的降解曲线和-ln(C/C0)与反应时间的关系"

图4

不同PDS质量浓度下AR37的降解曲线和PDS质量浓度对AR37降解速率的影响"

图5

不同底物浓度下AR37的降解曲线和底物浓度对AR37降解速率的影响"

图6

不同反应温度下AR37的降解曲线与反应温度对AR37降解速率的影响"

图7

不同光强下AR37的降解曲线和光强对AR37降解速率的影响"

图8

S2O82-的均裂反应式"

图9

加入不同浓度EtOH和TBA后AR37的降解曲线以及降解速率的比较"

图10

UVC/PDS在不同溶液介质中反应10 min后的EPR光谱"

图11

AR37在UVC/PDS/(90%ACN+10%H2O)体系中反应15 min后HPLC/MS/MS的TIC图谱"

表1

AR37可能的降解中间产物"

降解产物
编号
保留时间/min 质荷比(m/z) 分子式 可能降解产物 反应体系
实验值 理论值
P1 5.95 495.025 6 495.023 1 C18H14N4O9S2 单羟基化产物 体系1和3
P2 6.57 416.087 3 416.071 8 C18H15N4O6S 脱单磺酸基后单羟基取代产物 体系1和3
P3 6.71 400.095 4 400.076 9 C18H15N4O5S 脱单磺酸基产物 体系1和3
P4 7.19 255.043 2 255.012 9 C10H8NO5S 4,5-二羟基-6-氨基萘-2-磺酸 体系1,2和3
P5 7.52 192.077 1 192.058 2 C10H9NO3 7-氨基-1,3,8-萘三醇 体系1和3
P6 7.86 353.132 4 353.117 2 C18H16N4O4 脱双磺酸基后二羟基取代产物 体系1,2和3
P7 7.96 206.041 1 206.037 5 C10H7NO4 2-硝基-1,8-萘二醇 体系1,2和3
P8 8.25 337.134 3 337.122 2 C18H16N4O3 脱单磺酸基后单羟基取代产物 体系1,2和3
P9 8.70 181.066 1 181.053 5 C8H8N2O3 对硝基乙酰苯胺 体系1和3
P10 9.15 151.089 7 151.079 3 C8H10N2O 对氨基乙酰苯胺 体系1,2和3

图12

AR37在UVC/PDS/(90%ACN+10%H2O)体系中可能的降解途径"

[1] GOMARASCHI M, OSSOLI A, POZZI S, et al. Enhanced decolorization of Orange G in a Fe(II)-EDDS activated persulfate process by accelerating the regeneration of ferrous iron with hydroxylamine[J]. Chemical Engineering Journal, 2014,256(6):316-323.
doi: 10.1016/j.cej.2014.06.006
[2] LIN H, ZHANG H, HOH L Degradation of C. I. Acid Orange 7 in aqueous solution by a novel electro/Fe3O4/PDS process[J]. Journal of Hazardous Materials, 2014,276(9):182-191.
[3] LIU N, DING F, WENG C H, et al. Effective degradation of primary color direct azo dyes using Fe0 aggregates-activated persulfate process[J]. Journal of Environmental Management, 2018,206:565-576.
pmid: 29127929
[4] 易兵, 胡倩, 杨辉琼, 等. 酸性红37光催化降解动力学的响应曲面法优化及其转化机制[J]. 纺织学报, 2018,39(6):81-88.
YI Bing, HU Qian, YANG Huiqiong, et al. Photocatalytic degradation kinetics optimization of acid red 37 by reponse surface method and transformation mechanism[J]. Journal of Textile Research, 2018,39(6):81-88.
[5] VALERO-LUNA C, PALOMARES-SANCHEZ S A, RUIZ F. Catalytic activity of the barium hexaferrite with H2O2/visible light irradiation for degradation of Methylene Blue[J]. Catalysis Today, 2016,266:110-119.
doi: 10.1016/j.cattod.2015.08.049
[6] 欧阳磊, 丁耀彬, 朱丽华, 等. 钴掺杂铁酸铋活化过硫酸盐降解水中四溴双酚A的研究[J]. 环境科学, 2013,34(9):3507-3512.
OUYANG Lei, DING Yaobin, ZHU Lihua, et al. Efficient degradation of tetrabromobisphenol A in water by co-doped BiFeO3[J]. Environmental Science, 2013,34(9):3507-3512.
[7] TENG Y. Sulfate radical and its application in decontamination technologies[J]. Critical Reviews in Environmental Science & Technology, 2015,45(16):1756-1800.
[8] AND G P A, DIONYSIOU D D. Radical generation by the interaction of transition metals with common oxidants[J]. Environmental Science & Technology, 2004,38(13):3705-3712.
pmid: 15296324
[9] GUAN Y H, MA J, LI X C, et al. Influence of pH on the formation of sulfate and hydroxyl radicals in the UV/peroxymonosulfate system[J]. Environmental Science & Technology, 2011,45(21):9308-9314.
pmid: 21999357
[10] FURMAN O S. Mechanism of base activation of persulfate[J]. Environmental Science & Technology, 2010,44(16):6423-6428.
pmid: 20704244
[11] 蒋梦迪, 张清越, 季跃飞, 等. 热活化过硫酸盐降解三氯生[J]. 环境科学, 2018,39(4):1661-1667.
JIANG Mengdi, ZHANG Qingyue, JI Yuefei, et al. Degradation of Triclosan by heat activated persulfate oxidation[J]. Environmental Science, 2018,39(4):1661-1667.
[12] JOHNSON R L, TRATNYEK P G, JOHNSON R O. Persulfate persistence under thermal activation conditions[J]. Environmental Science & Technology, 2008,42(24):9350-9356.
pmid: 19174915
[13] 陈家斌, 魏成耀, 房聪, 等. 碳纳米管活化过二硫酸盐降解偶氮染料酸性橙7[J]. 中国环境科学, 2016,36(12):3618-3624.
CHEN Jiabin, WEI Chengyao, FANG Cong, et al. Decolorization of acid orange 7 by persulfate activated by carbon nanotube[J]. China Environmental Science, 2016,36(12):3618-3624.
[14] KOLTHOFF I M, MILLER I K. The chemistry of persulfate: I: the kinetics and mechanism of the decomposition of the persulfate ion in aqueous mediuml[J]. Journal of The American Chemical Society, 1951,73(7):1-30.
[15] ZALIBERA M, RAPA P, STASKO A, et al. Thermal generation of stable · SO 4 - spin trap adducts with super-hyperfine structure in their EPR spectra: an alternative EPR spin trapping assay for radical scavenging capacity determination in dimethylsulphoxide [J]. Free Radical Research, 2009,43(5):457-469.
pmid: 19353392
[16] DONADELLI J A, CARLOS L, ARQUES-SANZ A, et al. Kinetic and mechanistic analysis of azo dyes decolorization by ZVI-assisted Fenton systems: pH-dependent shift in the contributions of reductive and oxidative transformation pathways[J]. Applied Catalysis B: Environmental, 2018,231:51-61.
doi: 10.1016/j.apcatb.2018.02.057
[17] HOSSEINI H A, NEZHADALI A, DARROUDI M. Spectrophotometric study of complex formation between iodoquinol (IQ) and Co2+, Mn2+, Cd2+, Pb2+, and Zn2+ in DMF/MeOH binary mixed solvents[J]. Arabian Journal of Chemistry, 2017,10:293-296.
[18] YANG H, LIU H J, HU Z B, et al. Consideration on degradation kinetics and mechanism of thiamethoxam by reactive oxidative species (ROSs) during photocatalytic process[J]. Chemical Engineering Journal, 2014,245(1):24-33.
[19] YANG H, MEI L Y, WANG P C, et al. Photocatalytic degradation of norfloxacin on different TiO2-X polymorphs under visible light in water[J]. RSC Advances, 2017,7(72):45721-45732.
[20] YANG H, ZHOU S L, LIU H J, et al. Photocatalytic degradation of carbofuran in TiO2 aqueous solution:kinetics using design of experiments and mechanism by HPLC/MS/MS[J]. Journal of Environmental Sciences, 2013,25(8):1680-1686.
doi: 10.1016/S1001-0742(12)60217-4
[21] LUTZE H V, BREKENFELD J, NAUMOV S, et al. Radicals: new mechanistic aspects and economical considerations[J]. Water Research, 2017,129:509-519.
pmid: 29247911
[22] YANG Y, PIGNAGELLO J J, MA J, et al. Comparison of halide impacts on the efficiency of contaminant degradation by sulfate and hydroxyl radical-based advanced oxidation processes (AOPs)[J]. Environmental Science & Technology, 2014,48(4):2344-2351.
pmid: 24479380
[23] ZHOU L, ZHENG W, JI Y F, et al. Ferrous-activated persulfate oxidation of arsenic(III) and diuron in aquatic system[J]. Journal of Hazardous Materials, 2013,263:422-430.
pmid: 24220194
[24] YANG H, ZHUANG S, HU Q, et al, Competitive reactions of hydroxyl and sulfate radicals with sulfonamides in Fe2+/S2 O 8 2 - system: reaction kinetics, degradation mechanism and acute toxicity [J]. Chemical Engineering Journal, 2018,339:32-41.
[25] YANG H, ZHOU W C, YANG L P, et al. Flutriafol Degradation in Ag +/S2 O 8 2 - aqueous system: an experimental and theoretical investigation [J]. Environment Protection Engineering, 2018,44(2):57-72.
[1] 钱怡帆, 周堂, 张礼颖, 刘万双, 凤权. 聚丙烯腈/ 醋酸纤维素/ TiO2 复合纳米纤维膜的制备及其光催化降解性能[J]. 纺织学报, 2020, 41(05): 8-14.
[2] 徐红云, 于存, 苏帮. 一色齿毛菌对直接大红4BS 染料的脱色[J]. 纺织学报, 2020, 41(04): 78-83.
[3] 孙慧萍 吕文洲. 膨润土负载锌-钴催化臭氧处理模拟染料废水[J]. 纺织学报, 2019, 40(03): 118-124.
[4] 李庆 樊增禄 张洛红 李勇 陈创勋. 锆-有机骨架对水中染料的高选择性可循环吸附[J]. 纺织学报, 2019, 40(02): 141-146.
[5] 魏亮 陈小光 黄波 唐丽娟 王玉. 偶氮染料废水厌氧生物脱色强化[J]. 纺织学报, 2018, 39(08): 83-87.
[6] 易兵 胡倩 杨辉琼 阳海 李良臣 区泽棠. 酸性红37光催化降解动力学的响应曲面法优化及其转化机制[J]. 纺织学报, 2018, 39(06): 81-88.
[7] 李庆 张莹 樊增禄 朱炜. Cu-有机骨架对染料废水的吸附和可见光降解[J]. 纺织学报, 2018, 39(02): 112-118.
[8] 冯倩倩 朱方龙 信群 陈萌. 膨胀型阻燃棉织物的热降解动力学[J]. 纺织学报, 2016, 37(12): 81-86.
[9] 徐万福 傅伟松 周乃锋 陈华祥 丁亚钢 . 分散染料自动连续化生产新工艺[J]. 纺织学报, 2016, 37(11): 80-85.
[10] 李志刚. 偶氮染料降解氧化产物苯胺的液相色谱/质谱联用法测定[J]. 纺织学报, 2015, 36(05): 69-73.
[11] 吴刚 王力君 张明誉 郭方龙 赵珊红. 涤纶中致癌芳香胺的加速溶剂萃取-UPLC-MS/MS快速测定[J]. 纺织学报, 2014, 35(7): 94-0.
[12] 何华玲 张健飞 于志财 路艳华 林杰. 阳离子淀粉-膨润土复合絮凝剂对活性染料的吸附[J]. 纺织学报, 2014, 35(7): 101-0.
[13] 兰慧芳 邹专勇 朱卫红 支佳雯 喻佳丽. 颗粒活性炭对模拟活性染料废水的吸附脱色效果[J]. 纺织学报, 2013, 34(5): 70-75.
[14] 赵雪婷 董永春 程博闻 康卫民. 铁改性聚丙烯腈纳微米纤维催化剂在偶氮染料降解中的应用[J]. 纺织学报, 2013, 34(10): 76-0.
[15] 杜亮 李子燕 宁平 杜谨宏 左奇丽 姜浩. 利用水生植物处理染料废水的研究进展[J]. 纺织学报, 2012, 33(11): 146-152.
Viewed
Full text


Abstract

Cited

  Shared   
  Discussed   
No Suggested Reading articles found!