纺织学报 ›› 2020, Vol. 41 ›› Issue (01): 124-130.doi: 10.13475/j.fzxb.20190101507

• 服装工程 • 上一篇    下一篇

服装结构及假人模型对电磁辐射防护服屏蔽效能的影响

王秋寒1, 王亚静2, 董科萍3, 肖红1,4()   

  1. 1.武汉纺织大学 服装学院, 湖北 武汉 430073
    2.北京吉克防护科技有限公司, 北京 100124
    3.东华大学 纺织学院, 上海 201620
    4.军事科学院系统工程研究院 军需工程技术研究所, 北京 100010
  • 收稿日期:2019-01-02 修回日期:2019-08-29 出版日期:2020-01-15 发布日期:2020-01-14
  • 通讯作者: 肖红
  • 作者简介:王秋寒(1969—),男,副教授,博士。主要研究方向为职业装及功能性服装设计与研发。
  • 基金资助:
    国家自然科学基金项目(51673211)

Effect of clothing structure and dummy model on shielding effectiveness of electromagnetic protecting clothing

WANG Qiuhan1, WANG Yajing2, DONG Keping3, XIAO Hong1,4()   

  1. 1. School of Fashion, Wuhan Textile University, Wuhan, Hubei 430073, China
    2. Beijing Jike Protection & Tech. Co., Ltd., Beijing 100124, China
    3. College of Textiles, Donghua University, Shanghai 201620, China
    4. Institute of Quartermaster Engineering & Technology, Institute of System Engineering, Academy of Military Science, Beijing 100010, China
  • Received:2019-01-02 Revised:2019-08-29 Online:2020-01-15 Published:2020-01-14
  • Contact: XIAO Hong

摘要:

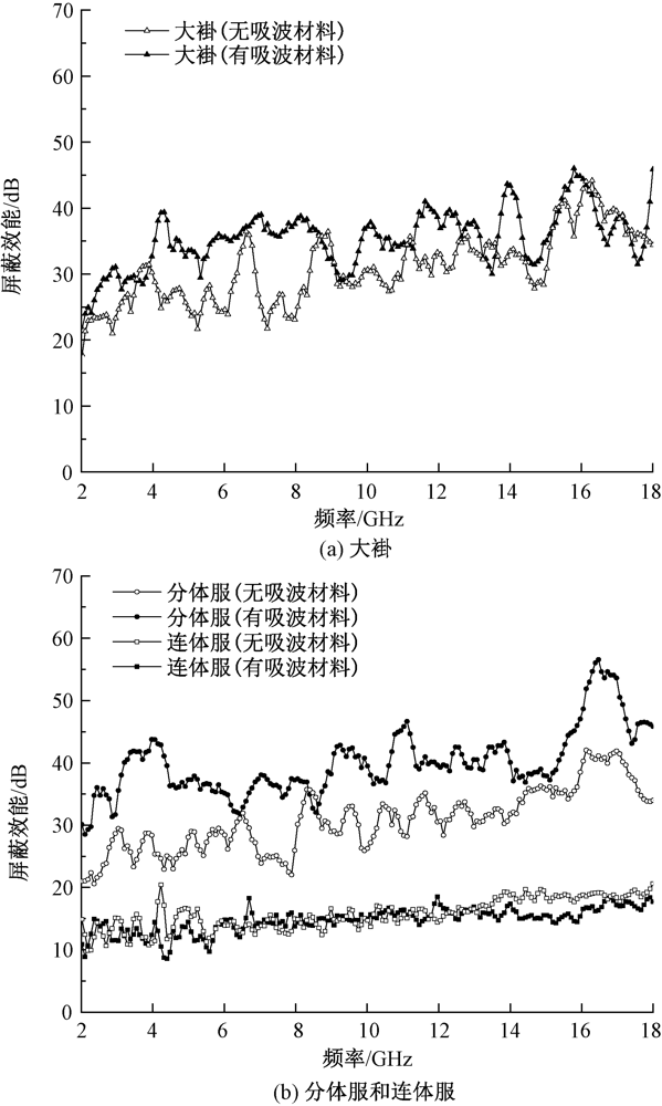
为探究相同电磁屏蔽织物制备的不同结构与款式服装的屏蔽效能及其影响因素,采用同样材料,制作4种不同款式的电磁辐射防护服,穿在内置喇叭天线的假人上,在半电波暗室,对其屏蔽性能影响因素进行测试分析。结果表明,服装款式、接缝缝隙、结构开口、测试部位、假人模型是否填充吸波材料、电磁场极化方向等都是影响屏蔽效能的因素,尤其是服装款式和接缝缝隙。其中,马甲、大褂、分体服、连体服的胸部电磁屏蔽效能依次提高;当对连体服下腹部接缝缝隙进行导电织物贴片处理后,屏蔽效能大幅度提升;当在假人模型背部填充吸波材料消除谐振腔多次反射后,测试的屏蔽效能亦有所提升。领口、袖口等部位在采用紧口设计时,开口对屏蔽效能的影响并不显著。由于服装结构开口和接缝方向的影响,导致电磁波垂直和水平极化后防护服的屏蔽效能存在差异。

关键词: 电磁辐射防护服, 服装款式, 屏蔽效能, 假人模型

Abstract:

In order to explore the shielding effectiveness and influencing factors of different structures and styles of clothing made of the same electromagnetic shielding fabric,four types of electromagnetic protecting clothing were designed for testing in semi-anechoic chamber by wearing dummy method. The factors affecting the electromagnetic shielding effectiveness were analyzed. The results show that the clothing style, seam gap, test location, dummy model stuffing with absorbing materials, and the polarization direction of electromagnetic field were found as the factors affecting the shielding effectiveness, especially the clothing style and seam gap. The shielding effectiveness went higher in the sequence of vest, coat, split suit to conjoined suit. When conductive fabric patches were applied to the abdominal seam gap of split suits, the shielding effectiveness was greatly improved. After filling the back of the dummy model with an absorbing material to eliminate the multiple electromagnetic reflections in the resonator, the shielding effectiveness of the test was also improved. The effect of opening on shielding effectiveness was proved not significant, when the neckline and cuff were tightly designed. Due to the influence of the seam direction of clothing, there are differences in shielding effectiveness for vertical and horizontal polarization of electromagnetic waves.

Key words: electromagnetic protecting clothing, clothing style, shielding effectiveness, dummy model

中图分类号: 

  • TS102

表1

电磁辐射防护服各层织物参数"

防护服织物结构 颜色 材料 面密度/(g·m-2) 电导率/(S·m-1) 平均屏蔽效能/dB
外层 蓝色 涤/棉织物 200
中间层 金属色 镀铜镍织物 75 105 55(2~18 GHz)
里层 蓝色 涤纶织物 65

图1

穿着电磁辐射防护服时的测试布置"

图2

迷你双脊喇叭天线在人体模型中的安装位置"

表2

吸波材料在1~50 GHz范围内的反射损耗"

频率/GHz 反射损耗/dB 频率/GHz 反射损耗/dB
1 10 6 23
2 13 10 26
3 20 18 28

图3

不同款式服装胸部的屏蔽效能"

图4

不同款式服装下腹部的屏蔽效能"

表3

不同款式服装同一测试部位的屏蔽效能平均值"

测试
部位
服装
款式
屏蔽效能/dB
未填充吸波材料 填充吸波材料
胸部 马甲 14 23
大褂 28 37
分体服 26 31
连体服 31 41
下腹部 大褂 30 35
分体服 30 39
连体服 15 14
头部 连体服 28 27

图5

大褂与分体服的胸部和下腹部的屏蔽效能"

图6

连体服头部、胸部和下腹部的屏蔽效能"

图7

屏蔽面料粘贴防护服接缝缝隙图"

图8

缝隙对连体服屏蔽效能的影响"

图9

服装配件对连体服屏蔽效能的影响"

图10

不同极化状态下大褂屏蔽效能"

[1] 陈万金, 陈燕俐, 蔡捷. 辐射及其安全防护技术[M]. 北京: 化学工业出版社, 2006:24-25.
CHEN Wanjin, CHEN Yanli, CAI Jie. Radiation and safety protection technology [M]. Beijing: Chemical Industry Press, 2006:24-25.
[2] 伏广伟, 湛权, 王瑞, 等. 防电磁辐射服装暴露面积对其屏蔽效能的影响[J]. 纺织学报, 2009,30(12):103-107.
FU Guangwei, ZHAN Quan, WANG Rui, et al. Shielding effectiveness difference of anti-electromagnetic radiation garment caused by its exposure area[J]. Journal of Textile Research, 2009,30(12):103-107.
[3] 吴冬燕. 电磁屏蔽服屏蔽效能的影响因素研究[D]. 苏州:苏州大学, 2015:15-19.
WU Dongyan. Study on the influencing factors of shielding effectiveness of electromagnetic shielding clothing[D]. Suzhou:Soochow University, 2015:15-19.
[4] 苏莹. 开口部位对电磁屏蔽服装屏蔽效能的影响[D]. 郑州:中原工学院, 2018:12-13.
SU Ying. The influence of opening position on shielding effectiveness of electromagnetic shielding clothing[D]. Zhengzhou: Zhongyuan Institute of Technology, 2018:12-13.
[5] 汪秀琛. 防电磁辐射服装屏蔽机理研究及建模[D]. 西安:西安工程大学, 2006:48-51.
WANG Xiuchen. Research and modeling of shielding mechanism of anti-electromagnetic radiation clothing[D]. Xi'an:Xi'an Polytechnic University, 2006:48-51.
[6] 刘畅. 防电磁辐射服装屏蔽效能测试方法研究[D]. 北京:北京交通大学, 2009:23-27.
LIU Chang. Study on the test method of shielding effectiveness of anti-electromagnetic radiation clothing[D]. Beijing:Beijing Jiaotong University, 2009:23-27.
[7] 张伟伟. 防辐射服电磁屏蔽效能评价研究[J]. 科技创新与生产力, 2017(6):106-109.
ZHANG Weiwei. Evaluation of electromagnetic shielding effectiveness of radiation-proof clothing[J]. Scientific and Technological Innovation and Productivity, 2017(6):106-109.
[8] 施楣梧, 王群, 唐章宏, 等. 电磁辐射防护服屏蔽效能测量系统的研制[J]. 安全与电磁兼容, 2015(1):23-25,51.
SHI Meiwu, WANG Qun, TANG Zhanghong, et al. Development of shielding effectiveness measurement system for electromagnetic radiation protective clothing[J]. Safety and Electromagnetic Compatibility, 2015 (1):23-25,51.
[9] 程慧斌. 缝隙对屏蔽效能影响要素分析[C]// 2013年全国微波毫米波会议论文集. 北京: 中国电子学会出版社, 2013:1552-1555.
CHENG Huibin. Analysis of the factors affecting shielding effectiveness by slots[C]// Proceedings of the 2013 national conference on microwave and millimeter waves. Beijing: China Academic Journal Electronic Publishing House, 2013:1552-1555.
[10] 孙丽芳, 王向晖, 齐红新, 等. 微波防护服开口对防护性能影响的计算[J]. 强激光与粒子束, 2017(4):38-44.
SUN Lifang, WANG Xianghui, QI Hongxin, et al. Calculation of the effect of microwave protective clothing opening on protective performance[J]. High Power Laser and Particle Beam, 2017 (4):38-44.
[1] 张卓, 丛洪莲, 蒋高明, 董智佳. 基于交互式遗传算法的Polo衫快速款式推荐系统[J]. 纺织学报, 2021, 42(01): 138-144.
[2] 李涛, 杜磊, 黄振华, 蒋玉萍, 邹奉元. 服装款式图识别与样板转换技术研究进展[J]. 纺织学报, 2020, 41(08): 145-151.
[3] 王利君 毛鹏丽. 防电磁辐射聚吡咯/ 棉织物的制备及其性能[J]. 纺织学报, 2018, 39(09): 95-101.
[4] 张昭华 倪军 王文玲 曾恋 胡青青 韩依恬. 服装款式特征对人体局部传热性能的影响[J]. 纺织学报, 2018, 39(05): 92-96.
[5] 梁然然 肖红 王妮. 双层及多层电磁屏蔽织物的屏蔽效能[J]. 纺织学报, 2017, 38(09): 51-58.
[6] 李东 万贤福 汪军. 采用傅里叶描述子和支持向量机的服装款式识别方法[J]. 纺织学报, 2017, 38(05): 122-127.
[7] 肖红 唐章宏 施楣梧 王群. 织物屏蔽效能的法兰同轴法和屏蔽室法测试对比研究[J]. 纺织学报, 2016, 37(3): 47-54.
[8] 苏钦城 赵晓明 李卫斌 李建雄. 基于有限积分法的机织物电磁屏蔽效能仿真分析[J]. 纺织学报, 2016, 37(2): 155-160.
[9] 梁然然 肖红 王妮. 电磁屏蔽织物屏蔽效能理论计算的研究进展[J]. 纺织学报, 2016, 37(2): 161-169.
[10] 吴雄英 张亚雯 袁志磊. 纺织品电磁屏蔽效能评价标准的现状分析[J]. 纺织学报, 2016, 37(2): 170-176.
[11] 郑倩雪 刘哲 张永恒 陈海英. 双层防电磁辐射织物的屏蔽效能[J]. 纺织学报, 2016, 37(01): 47-51.
[12] 肖红 施楣梧 钞杉 唐章宏 王群. 机织物有效结构模型的电磁屏蔽效能影响因素[J]. 纺织学报, 2015, 36(07): 43-49.
[13] 肖红 唐章宏 王群 施楣梧. 电磁屏蔽织物的导电网格结构及其屏蔽效能的一般影响规律研究[J]. 纺织学报, 2015, 36(02): 35-42.
[14] 刘志才 何鹏 徐勤 王利君 李妮 熊杰 . 服装用织物屏蔽效能测试方法—屏蔽箱法的探讨[J]. 纺织学报, 2013, 34(8): 143-0.
[15] 伏广伟, 湛权, 王瑞, 杨金纯. 防电磁辐射服装暴露面积对其屏蔽效能的影响[J]. 纺织学报, 2009, 30(12): 103-107.
Viewed
Full text


Abstract

Cited

  Shared   
  Discussed   
No Suggested Reading articles found!