纺织学报 ›› 2021, Vol. 42 ›› Issue (01): 53-58.doi: 10.13475/j.fzxb.20200405206

• 纺织工程 • 上一篇    下一篇

包缠复合纱摩擦纳米发电机的制备及其电学性能

马丽芸1,2, 吴荣辉1, 刘赛1, 张玉泽1, 汪军1,3()   

  1. 1.东华大学 纺织学院, 上海 201620
    2.新疆大学 纺织与服装学院, 新疆 乌鲁木齐 830046
    3.东华大学 纺织面料技术教育部重点实验室, 上海 201620
  • 收稿日期:2020-04-17 修回日期:2020-06-27 出版日期:2021-01-15 发布日期:2021-01-21
  • 通讯作者: 汪军
  • 作者简介:马丽芸(1990—),女,讲师,博士生。主要研究方向为功能与智能纺织材料。
  • 基金资助:
    中央高校基础研究项目(2019061105)

Preparation and electrical properties of triboelectric nanogenerator based on wrapped composite yarn

MA Liyun1,2, WU Ronghui1, LIU Sai1, ZHANG Yuze1, WANG Jun1,3()   

  1. 1. College of Textiles, Donghua University, Shanghai 201620, China
    2. College of Textiles and Clothing,Xinjiang University, Urumqi, Xinjiang 830046, China
    3. Key Laboratory of Textile Science & Technology,Ministry of Education, Donghua University, Shanghai 201620, China
  • Received:2020-04-17 Revised:2020-06-27 Online:2021-01-15 Published:2021-01-21
  • Contact: WANG Jun

摘要:

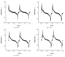
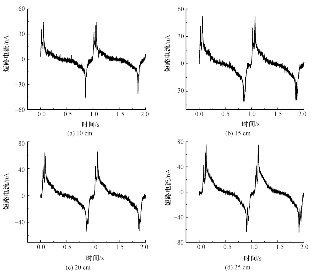
为制备基于涤/棉与导电锦纶长丝包缠复合纱的摩擦纳米发电机,以涤/棉混纺纱为皮层,导电锦纶长丝为芯层,通过空芯锭花式加捻技术,将涤/棉混纺纱均匀包缠在导电锦纶长丝上,得到基于复合纱的摩擦纳米发电机。通过研究基于包缠复合纱的摩擦纳米发电机的电量输出性能,结果表明:该摩擦纳米发电机具有优异的电学能量输出性能,其电量输出值随着复合纱长度的增加而增加,25 cm长可产生23.44 V的开路电压,短路电流和短路电荷量分别可达76.19 nA和7.86 nC;接触分离频率在0.5~2.5 Hz范围内,输出电量值随着频率的升高而不断增加;该发电机在1 Hz频率条件下循环1 000次具有极好的稳定性。此类基于复合纱的摩擦纳米发电机可作为自供电传感器,用于摩斯密码的信息传递。

关键词: 包缠复合纱, 空芯锭花式捻线机, 摩擦纳米发电机, 自供电传感器, 智能纺织品

Abstract:

Aiming at the creation of a tribo-electric nano-generator, a composite yarn, with the polyester-cotton blended yarns as the sheath layer and the conductive nylon filaments as the core layer, was prepared. A tribo-electric nano-generator was achieved by evenly wrapping the polyester-cotton blended yarns over the conductive nylon filaments using the hollow spindle fancy yarn technology. The electrical output of the tribo-electric nano-generator made from the composite yarn was studied. The results show thatnhe tribo-electric nano-generator demonstrated satisfactory electrical output, and the energy output value increases as the yarn length increases. The composite yarn with a length of 25 cm is shown to produce an open-circuit voltage of 23.44 V, and the short-circuit current and short-circuit charge reach 76.19 nA and 7.86 nC, respectively. Under the contact-separation frequency of 0.5 Hz~2.5 Hz, the output power value increases continuously with the increase of the frequency. The tribo electric nano generator maintained a stable work condition after reciprocating for 1000 cycles under 1 Hz frequency. This self-powered yarn based tribo-electric nano-generator can be used for information transmission of Morse code.

Key words: wrapping composite yarn, hollow spindle fancy twister, triboelectric nanogenerator, self-powered sensor, intelligent textile

中图分类号: 

  • TS141.8

图1

空芯锭花式捻线机加工复合纱的示意图"

图2

摩擦纳米发电机的性能测试示意图"

图3

复合纱截面形貌的扫描电镜照片"

图4

复合纱表面形貌照片"

图5

基于复合纱的摩擦纳米发电机的力学性能表征"

图6

复合纱摩擦纳米发电机的基本工作原理"

图7

不同长度复合纱摩擦纳米发电机的开路电压"

图8

不同长度复合纱摩擦纳米发电机的短路电荷量"

图9

不同长度复合纱的摩擦纳米发电机的短路电流"

图10

在不同测试频率下复合纱摩擦纳米发电机的短路电流"

图11

复合纱摩擦纳米发电机的稳定性"

图12

复合纱摩擦纳米发电机的莫斯密码应用"

图13

复合纱摩擦纳米发电机的手指运动监测"

[1] PAOSANGTHONG W, TORAH R, BEEBY S. Recent progress on textile-based triboelectric nanogenera-tors[J]. Nano Energy, 2019,55:401-423.
[2] XU S, JAYARAMAN A, ROGERS J A. Skin sensors are the future of health care[J]. Nature, 2019,571(7765):319-321.
pmid: 31316200
[3] 吴荣辉, 马丽芸, 张一帆, 等. 银纳米线涂层的编链结构纱线拉伸应变传感器[J]. 纺织学报, 2019,40(12):45-49,62.
WU Ronghui, MA Liyun, ZHANG Yifan, et al. Strain sensor based on silver nanowires coated yarn with chain stitch structure[J]. Journal of Textile Research, 2019,40(12):45-49,62.
[4] TIAN X, LEE P M, TAN Y J, et al. Wireless body sensor networks based on metamaterial textiles[J]. Nature Electronics, 2019,2(6):243.
doi: 10.1038/s41928-019-0257-7
[5] LIU M M, PU X, JIANG C Y, et al. Large-area all-textile pressure sensors for monitoring human motion and physiological signals[J]. Adv Mater, 2017,29(41):1703700.
doi: 10.1002/adma.v29.41
[6] FAN F R, TIAN Z Q, WANG Z L. Flexible triboelectric generator![J]. Nano Energy, 2012,1(2):328-334.
doi: 10.1016/j.nanoen.2012.01.004
[7] CHEN J, ZHU G, YANG W Q, et al. Harmonic-resonator-based triboelectric nanogenerator as a sustainable power source and a self-powered active vibration sensor[J]. Adv Mater, 2013,25(42):6094-6099.
doi: 10.1002/adma.201302397 pmid: 23999798
[8] GONG W, HOU C Y, ZHOU J, et al. Continuous and scalable manufacture of amphibious energy yarns and textiles[J]. Nat Commun, 2019,10:868.
doi: 10.1038/s41467-019-08846-2 pmid: 30787290
[9] HU Y F, ZHENG Z J. Progress in textile-based triboelectric nanogenerators for smart fabrics[J]. Nano Energy, 2019,56:16-24.
doi: 10.1016/j.nanoen.2018.11.025
[10] XIONG J Q, CUI P, CHEN X L, et al. Skin-touch-actuated textile-based triboelectric nanogenerator with black phosphorus for durable biomechanical energy harvesting[J]. Nat Commun, 2018,9:4280.
doi: 10.1038/s41467-018-06759-0 pmid: 30323200
[11] WANG Z L. Triboelectric nanogenerators as new energy technology for self-powered systems and as active mechanical and chemical sensors[J]. ACS Nano, 2013,7(11):9533-9557.
pmid: 24079963
[12] MA L Y, WU R H, LIU S, et al. A machine-fabricated 3D honeycomb-structured flame-retardant triboelectric fabrifire escape and rescue[J]. Adv Mater, 2020,32(38):2003897.
doi: 10.1002/adma.v32.38
[13] WU R H, MA L Y, HOU C, et al. Silk composite electronic textile sensor for high space precision 2d combo temperature-pressure sensing[J]. Small, 2019,15(31):1901558.
doi: 10.1002/smll.v15.31
[1] 杨宇晨, 覃小红, 俞建勇. 静电纺纳米纤维功能性纱线的研究进展[J]. 纺织学报, 2021, 42(01): 1-9.
[2] 肖渊, 王盼, 张威, 张成坤. 织物表面导电线路喷射打印起始端凸起形成过程研究[J]. 纺织学报, 2020, 41(12): 81-86.
[3] 庞雅莉, 孟佳意, 李昕, 张群, 陈彦锟. 石墨烯纤维的湿法纺丝制备及其性能[J]. 纺织学报, 2020, 41(09): 1-7.
[4] 盛明非, 张丽平, 付少海. 基于染料掺杂型液晶微胶囊的电刺激响应智能纺织品的制备及其性能[J]. 纺织学报, 2020, 41(08): 63-68.
[5] 陈慧, 王玺, 丁辛, 李乔. 基于全织物传感网络的温敏服装设计[J]. 纺织学报, 2020, 41(03): 118-123.
[6] 吴荣辉, 马丽芸, 张一帆, 刘向阳, 于伟东. 银纳米线涂层的编链结构纱线拉伸应变传感器[J]. 纺织学报, 2019, 40(12): 45-49.
[7] 敖利民, 唐雯, 王爱林. 亚麻/有色涤纶长丝包缠复合纱的外观与性能[J]. 纺织学报, 2019, 40(08): 40-47.
[8] 李思明, 吴官正, 胡雨洁, 方镁淇, 贺录祥, 贺燕, 肖学良. 压力分布监测袜的制备及其传感性能[J]. 纺织学报, 2019, 40(07): 138-144.
[9] 曹机良, 徐李聪, 孟春丽, 李晓春. 紫外光固化石墨烯涂层棉织物的导电性能[J]. 纺织学报, 2019, 40(02): 135-140.
[10] 曹机良 王潮霞. 石墨烯整理蚕丝织物的导电性能[J]. 纺织学报, 2018, 39(12): 84-88.
[11] 王勃翔 刘丽 路艳华 李金华 张松 汪刘才 韩思杰 刘禹辰 . 互穿聚合物网络温敏凝胶对棉织物液态水分传递的影响[J]. 纺织学报, 2018, 39(11): 79-84.
[12] 李辉 王娇娜 赵树宇 李从举. 柔性全编织摩擦纳米发电织物的制备[J]. 纺织学报, 2018, 39(09): 34-38.
[13] 张岩 裴泽光 陈革. 喷气涡流纺金属丝包芯纱的制备及其结构与性能[J]. 纺织学报, 2018, 39(05): 25-31.
[14] 肖渊 刘金玲 申松 陈兰. 织物表面微滴喷射打印沉积过程试验研究[J]. 纺织学报, 2017, 38(05): 139-144.
[15] 蒋约林 吴金丹 何驹 葛华云 王际平. 氨基硅油整理法在温敏纺织品制备中的应用[J]. 纺织学报, 2015, 36(02): 86-91.
Viewed
Full text


Abstract

Cited

  Shared   
  Discussed   
No Suggested Reading articles found!