纺织学报 ›› 2022, Vol. 43 ›› Issue (07): 121-128.doi: 10.13475/j.fzxb.20201202008

• 染整与化学品 • 上一篇    下一篇

用于印染废水处理的改性絮凝剂合成及其脱色性能

高陆玺, 吕雪川, 张弛, 宋翰林, 高肖汉()   

  1. 辽宁石油化工大学 石油化工学院, 辽宁 抚顺 113001
  • 收稿日期:2020-12-08 修回日期:2022-04-13 出版日期:2022-07-15 发布日期:2022-07-29
  • 通讯作者: 高肖汉
  • 作者简介:高陆玺(1993—),男,硕士生。主要研究方向为污水处理。

Synthesis and decolorizing performance of modified flocculant for treating dyeing wastewater

GAO Luxi, LÜ Xuechuan, ZHANG Chi, SONG Hanlin, GAO Xiaohan()   

  1. School of Petrochemical Engineering, Liaoning Petrochemical University, Fushun, Liaoning 113001, China
  • Received:2020-12-08 Revised:2022-04-13 Published:2022-07-15 Online:2022-07-29
  • Contact: GAO Xiaohan

摘要:

为提高环氧氯丙烷胺型絮凝剂的脱色性能,以二乙烯三胺为交联改性剂,环氧氯丙烷和二甲胺为原料合成改性的环氧氯丙烷-二甲胺型絮凝剂,并用于活性红X-3B模拟染料废水脱色絮凝实验。研究了投料比、反应温度、水温、pH值、染料质量浓度和絮凝剂投入量等因素对絮凝剂脱色性能的影响,探讨了与聚丙烯酰胺复配使用情况。得到改性絮凝剂制备优化条件:环氧氯丙烷 、 二甲胺、 二乙烯三胺的量比为1:0.95:0.05,反应温度为90 ℃。同时,得到絮凝脱色的优化条件:水温为20 ℃,pH值为4,染料质量浓度为200 mg/L,絮凝剂投入量为125 mg/L;在此脱色优化条件下,改性絮凝剂对染料废水的脱色率达到91.0%。研究结果表明:改性絮凝剂比未改性絮凝剂有更好的脱色效果;改性剂提高了改性絮凝剂的电中和作用和架桥网捕作用;与聚丙烯酰胺的复配提高改性絮凝剂的脱色性能和耐盐性。

关键词: 絮凝剂, 环氧氯丙烷, 二甲胺, 二乙烯三胺, 复配, 脱色性能, 印染废水, 废水处理

Abstract:

To improve the decolorizing performance of epichlorohydrin and polyamine flocculants, the modified epichlorohydrin-dimethylamine decolorizing flocculant was prepared using diethylenetriamine as the cross-linking agent and epichlorohydrin and dimethylamine as raw materials. Its flocculating performance was studied through the flocculation experiment by using Reactive Brilliant Red X-3B as the simulated dyeing wastewater. Effects of material molar ratio, reaction temperature, water temperature, pH value, concentration of dyes and dosage of modified flocculant on the performance of the decolorant were studied. Mixed usage with polyacrylamide was also investigated. The optimized conditions to prepare the modified flocculant are that the molar ratio of epichlorohydrin to dimethylamine to diethylenetriamine is 1:0.95:0.05 and reaction temperature is 90 ℃. The optimized conditions of flocculating decolorization are that water temperature is 20 ℃, pH value is 4, concentration of dyes is 200 mg/L, and modified flocculant dosage is 125 mg/L. Under the optimized conditions of flocculating decolorization, the modified flocculant was used, achieving 91.0% color removal. The results indicate that the modified decolorizing flocculant shows a better performance than the unmodified decolorizing flocculant. The modifier improves the charge neutralization and bridging-netting function of the modified flocculant. Decolorization performance and salt tolerance of the modified flocculant are improved due to the mixed usage with polyacrylamide.

Key words: flocculant, epichlorohydrin, dimethylamine, diethylenetriamine, mixed usage, decolorizing performance, dyeing wastewater, wastewater treatment

中图分类号: 

  • X703

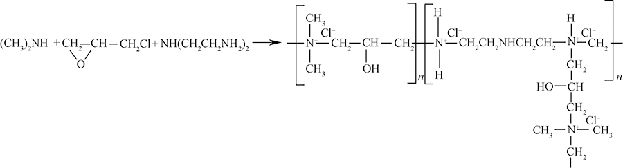
图1

改性脱色絮凝剂的结构"

图2

未改性脱色絮凝剂的结构"

表1

二甲胺与环氧氯丙烷的量比对改性脱色絮凝剂脱色性能的影响 Tab.1 Influence of molar ratio of dimethylamine to epichlorohydrin on decolorization performance of modified decolorizing flocculant"

二甲胺与环氧
氯丙烷的量比
脱色率/% 二甲胺与环氧
氯丙烷的量比
脱色率/%
0.85:1 70.4 0.96:1 80.9
0.90:1 75.5 0.98:1 78.9
0.93:1 80.6 1.00:1 74.9
0.95:1 82.3

表2

二乙烯三胺与环氧氯丙烷的量比对改性脱色絮凝剂脱色性能的影响"

二乙烯三胺与环氧
氯丙烷的量比
脱色
率/%
二乙烯三胺与环氧
氯丙烷的量比
脱色
率/%
0.01:1 57.4 0.06:1 76.1
0.03:1 75.2 0.07:1 56.3
0.04:1 79.1 0.09:1 38.0
0.05:1 82.3 0.13:1 27.0

图3

反应温度对改性脱色絮凝剂脱色性能的影响"

图4

2种絮凝剂在不同反应时间的脱色率"

表3

正交絮凝试验的因素和水平"

水平 快搅速率/
(r·min-1)
快搅时间/min 慢搅速率/
(r·min-1)
慢搅时间/min
1 300 1.5 25 0.5
2 350 2.0 50 1.0
3 400 2.5 75 1.5

表4

正交絮凝试验结果"

试验号 因素 脱色率/%
快搅速率 快搅时间 慢搅速率 慢搅时间
1 1 1 1 1 82.3
2 1 2 2 2 82.1
3 1 3 3 3 80.1
4 2 1 2 3 81.4
5 2 2 3 1 81.0
6 2 3 1 2 80.7
7 3 1 3 2 82.2
8 3 2 1 3 74.0
9 3 3 2 1 81.5
K1 81.5 82.0 79.0 81.6
K2 81.0 79.0 81.7 81.7
K3 79.2 80.8 81.1 78.5
R 6.8 8.8 8 9.5

图5

水温对改性脱色絮凝剂脱色性能的影响"

图6

染料和絮凝剂质量浓度对改性脱色絮凝剂脱色性能的影响"

图7

pH值对改性脱色絮凝剂脱色性能的影响"

图8

改性脱色絮凝剂与4种PAM的复配 注:1—未复配; 2—与两性型PAM复配; 3—与阴离子型PAM复配; 4—与阳离子型PAM复配; 5—与非离子型PAM复配。"

图9

NaCl浓度对改性脱色絮凝剂脱色性能的影响"

[1] LEE C S, ROBINSON J, CHONG M F. A review on application of flocculants in wastewater treatment[J]. Process Safety and Environmental Protection, 2014, 92(6): 489-508.
doi: 10.1016/j.psep.2014.04.010
[2] WANG R, JIN X, WANG Z Y, et al. A multilevel reuse system with source separation process for printing and dyeing wastewater treatment: a case study[J]. Bioresource Technology, 2018, 247: 1233-1241.
doi: 10.1016/j.biortech.2017.09.150
[3] WANG X, LI X U, WANG P. Research progress of the wastewater treatment of dye industry[J]. Journal of Chemical Industry & Engineering, 2003, 24(4): 39-41.
[4] 张继伟, 徐晶晶, 刘帅霞, 等. 环境友好絮凝剂在印染废水处理中的应用进展[J]. 化工进展, 2016, 35(7): 2205-2215.
ZHANG Jiwei, XU Jingjing, LIU Shuaixia, et al. Application progress of environmental friendly flocculant in treatment of printing and dyeing wastewater[J]. Chemical Industry and Engineering Progress, 2016, 35(7): 2205-2215.
[5] ABDURRAHMAN O, OMER S, MEHMET M K, et al. Preparation and characterization of activated carbon from pine cone by microwave-induced ZnCl2 activation and its effects on the adsorption of methylene blue[J]. Cellulose, 2014, 21(4): 2457-2467.
doi: 10.1007/s10570-014-0299-y
[6] GAO B Y, YUE Q Y, WANG Y, et al. Color removal from dye-containing wastewater by magnesium chloride[J]. Journal of Environmental Managemen, 2007, 82(2): 167-172.
[7] SATILMIS B, UYAR T. Amine modified electrospun PIM-1 ultrafine fibers for an efficient removal of methyl orange from an aqueous system[J]. Applied Surface Science, 2018, 453: 220-229.
doi: 10.1016/j.apsusc.2018.05.069
[8] CHEN Y N, LIU C H, NIE J X, et al. Removal of COD and decolorizing from landfill leachate by Fenton's reagent advanced oxidation[J]. Clean Technologies and Environmental Policy, 2014, 16(1): 189-193.
doi: 10.1007/s10098-013-0627-1
[9] SAHINKAYA S. COD and color removal from synthetic textile wastewater by ultrasound assisted electro-Fenton oxidation process[J]. Journal of Industrial and Engineering Chemistry, 2013, 19(2): 601-605.
doi: 10.1016/j.jiec.2012.09.023
[10] SAMANTA M, MUKHERJEE M, GHORAIU K, et al. Ultrasound assisted catalytic degradation of textile dye under the presence of reduced graphene oxide enveloped copper phthalocyanine nanotube[J]. Applied Surface Science, 2018, 449: 113-121.
doi: 10.1016/j.apsusc.2018.01.118
[11] 丁凤友. 几种分散染料的生物降解特性研究[D]. 上海: 东华大学, 2016: 17-27.
DING Fengyou. Study on the biodegradation characteristics of several disperse dyes[D]. Shanghai: Donghua University, 2016: 17-27.
[12] AGBOOLA O, MAREE J, KOLESNIKOV A, et al. Theoretical performance of nanofiltration membranes for wastewater treatment[J]. Environmental Chemistry Letters, 2015, 13(1): 37-47.
doi: 10.1007/s10311-014-0486-y
[13] VERMA A K, DASH R R, BHUNIA P. A review on chemical coagulation/flocculation technologies for removal of colour from textile wastewaters[J]. Journal of Environmental Management, 2012, 93(1): 154-168.
doi: 10.1016/j.jenvman.2011.09.012
[14] ZAHRIM A Y, TIZAOUI C, HILAL N. Evaluation of several commercial synthetic polymers as flocculant aids for removal of highly concentrated C.I. Acid Black 210 dye[J]. Journal of Hazardous Materials, 2010, 182(1-3): 624-630.
doi: 10.1016/j.jhazmat.2010.06.077
[15] 何华玲, 张健飞, 于志财, 等. 阳离子淀粉-膨润土复合絮凝剂对活性染料的吸附[J]. 纺织学报, 2014, 35(7): 101-106.
HE Hualing, ZHANG Jianfei, YU Zhicai, et al. Application of cationic starch-bentonite composite to adsorb Reactive Red X-3B dye[J]. Journal of Textile Research, 2014, 35(7): 101-106.
[16] WANG S J, HOU Q X, KONG F G, et al. Production of cationic xylan-METAC copolymer as a flocculant for textile industry[J]. Carbohydrate Polymers, 2015, 124: 229-236.
doi: 10.1016/j.carbpol.2015.02.015
[17] FANG L, MENG G H, WEI W, et al. Application status and development of treatment for wastewater from benzene-dye intermediates[J]. Dyestuffs & Coloration, 2016, 53(4): 42-50.
[18] WANG Y F, GAO B Y, YUE Q Y, et al. Removal of acid and direct dye by epichlorohydrin-dimethylamine: flocculation performance and floc aggregation properties[J]. Bioresource Technology, 2012, 113: 265-271.
doi: 10.1016/j.biortech.2011.11.106
[19] 张华. 聚环氧氯丙烷-二甲胺的合成及其性能研究[D]. 济南: 山东大学, 2005: 46-49.
ZHANG Hua. Synthesis and properties research polyepichlorohydrin dimethylamine[D]. Jinan: Shangdong University, 2005: 46-49.
[20] 耿仁勇, 吕雪川, 李国轲, 等. 环氧氯丙烷胺型阳离子絮凝剂的改性及其絮凝性能[J]. 环境科学研究, 2016, 29(10):1521-1526.
GENG Renyong, LV Xuechuan, LI Guoke, et al. Modification and flocculating performance of epichlorohydrin and polyamine cationic flocculants[J]. Research of Environmental Sciences, 2016, 29(10):1521-1526.
[21] 曾普. 一种季铵盐型阳离子絮凝剂的合成和应用研究[D]. 西安: 长安大学, 2009: 32-36.
ZENG Pu. Study on the synthsis and application of a kind of quaternary ammonium type cationic floeeulants[D]. Xi'an: Chang-an University, 2009: 32-36.
[22] 高宝玉, 张华, 岳钦艳, 等. 聚环氧氯丙烷胺的制备及其脱色性能[J]. 精细化工, 2005, 22(8): 611-615.
GAO Baoyu, ZHANG Hua, YUE Qinyan, et al. Synthesis and application of polyamine focculants for dye wastewater treatment[J]. Fine Chemicals, 2005, 22(8): 611-615.
[23] 高和军. 聚环氧氯丙烷絮凝剂PECHA系列的合成与结构表征[D]. 成都: 西南石油大学, 2007: 44-45.
GAO Hejun. Synthesis and structural characterization of PECHA series of polyepichlorohydrin flocculants[D]. Chengdu: Southwest Petroleum University, 2007: 44-45.
[24] CHOI J H, SHIN W S, LEE S H, et al. Application of synthetic polyamine flocculants for dye wastewater treatment[J]. Separation Science and Technology, 2001, 36(13): 2945-2958.
doi: 10.1081/SS-100107638
[25] 郑怀礼. 生物絮凝剂与絮凝技术[M]. 北京: 化学工业出版社, 2004: 1-60.
ZHENG Huaili. Bioflocculant and flocculation technology[M]. Beijing: Chemical Industry Press, 2004: 1-60.
[1] 张雅宁, 张辉, 宋悦悦, 李文明, 李雯君, 姚佳乐. 废弃口罩基ZIF-8/Ag/TiO2复合材料的制备及其光催化降解染料性能[J]. 纺织学报, 2022, 43(07): 111-120.
[2] 钱佳琪, 瞿建刚, 胡啸林, 毛庆辉. 还原氧化石墨烯/粘胶基钒酸铋光催化材料的制备及其性能[J]. 纺织学报, 2022, 43(06): 100-106.
[3] 王成成, 龚筱丹, 王振, 马群旺, 张丽平, 付少海. 高灵敏温感变色微胶囊的制备及其在智能纺织品上的应用[J]. 纺织学报, 2022, 43(05): 38-42.
[4] 谢梦玉, 胡啸林, 李星, 瞿建刚. 还原氧化石墨烯/粘胶多层复合材料的制备及其界面蒸发性能[J]. 纺织学报, 2022, 43(04): 117-123.
[5] 邓杨, 石现兵, 王涛, 刘利伟, 韩振邦. 负载MIL-53(Fe)的改性聚丙烯腈纤维光催化剂的制备及其性能[J]. 纺织学报, 2022, 43(03): 58-63.
[6] 魏娜娜, 刘碟, 马政, 焦晨璐. 纤维素/壳聚糖磁性气凝胶的冻融法制备及其对染料吸附性能[J]. 纺织学报, 2022, 43(02): 53-60.
[7] 张梦迪, 张维, 姚继明. 天然黏土矿物在靛蓝染色废水电絮凝中的应用[J]. 纺织学报, 2022, 43(02): 196-201.
[8] 施敏慧, 李冰蕊, 王挺, 吴礼光. 高含盐废水中TiO2复合光催化剂光降解甲基橙机制及性能[J]. 纺织学报, 2021, 42(12): 103-110.
[9] 李庆, 陈灵辉, 李丹, 吴志强, 朱炜, 樊增禄. 金属-有机骨架光催化降解染料的研究进展[J]. 纺织学报, 2021, 42(12): 188-195.
[10] 赖星, 王纯, 肖长发, 王黎明, 辛斌杰. 芳香族聚酰胺分离膜制备方法及应用进展[J]. 纺织学报, 2021, 42(10): 172-179.
[11] 陈亚丽, 赵国猛, 任李培, 潘露琪, 陈贝, 肖杏芳, 徐卫林. 芳纶织物基界面光热蒸发材料的制备及其性能[J]. 纺织学报, 2021, 42(08): 115-121.
[12] 刘锁, 武丁胜, 李曼, 赵玲玲, 凤权. 水刺粘胶/聚苯胺复合纤维膜的制备及其吸附性能[J]. 纺织学报, 2021, 42(08): 122-127.
[13] 张雨晗, 申国栋, 樊威, 孙润军. 芳纶固载BiOBr复合材料的制备及其光催化降解染色废水[J]. 纺织学报, 2021, 42(08): 128-134.
[14] 张婷婷, 许可欣, 金梦甜, 葛世洁, 高国洪, 蔡一啸, 王华平. 纤维素基有机-无机纳米光催化复合材料制备及其水处理应用的研究进展[J]. 纺织学报, 2021, 42(07): 175-183.
[15] 徐晨烨, 顾春节, 倪亦凡, 沈忱思, 王华平, 乌婧, 李方. 纤维微塑料在印染废水产排污环节的赋存特征[J]. 纺织学报, 2021, 42(06): 26-34.
Viewed
Full text


Abstract

Cited

  Shared   
  Discussed   
[1] 赵良臣;闻涛. 旋转组织设计的数学原理[J]. 纺织学报, 2003, 24(06): 33 -34 .
[2] 曹建达;顾小军;殷联甫. 用BP神经网络预测棉织物的手感[J]. 纺织学报, 2003, 24(06): 35 -36 .
[3] 【作者单位】:中国纺织工程学会秘书处【分类号】:+【DOI】:cnki:ISSN:0-.0.00-0-0【正文快照】:  香港桑麻基金会设立的“桑麻纺织科技奖” 0 0 年提名推荐工作;在纺织方面院士;专家和有关单位的大力支持下;收到了 个单位 (人 )推荐的 位候选人的. 2003年桑麻纺织科技奖获奖名单[J]. 纺织学报, 2003, 24(06): 107 .
[4] 【分类号】:Z【DOI】:cnki:ISSN:0-.0.00-0-0【正文快照】:  一;纺 纱模糊控制纺纱张力的研究周光茜等 ( - )………………原棉含杂与除杂效果评价方法的研究于永玲 ( - )……网络长丝纱免浆免捻功能的结构表征方法李栋高等 ( - )……………. 2003年纺织学报第二十四卷总目次[J]. 纺织学报, 2003, 24(06): 109 -620 .
[5] 朱敏;周翔. 准分子激光对聚合物材料的表面改性处理[J]. 纺织学报, 2004, 25(01): 1 -9 .
[6] 黄立新. Optim纤维及产品的开发与应用[J]. 纺织学报, 2004, 25(02): 101 -102 .
[7] 邓炳耀;晏雄. 热压对芳纶非织造布机械性能的影响[J]. 纺织学报, 2004, 25(02): 103 -104 .
[8] 张治国;尹红;陈志荣. 纤维前处理用精练助剂研究进展[J]. 纺织学报, 2004, 25(02): 105 -107 .
[9] 秦元春. 纺织工业发展方向初探[J]. 纺织学报, 2004, 25(02): 108 -110 .
[10] 高伟江;魏文斌. 纺织业发展的战略取向——从比较优势到竞争优势[J]. 纺织学报, 2004, 25(02): 111 -113 .