纺织学报 ›› 2024, Vol. 45 ›› Issue (05): 147-154.doi: 10.13475/j.fzxb.20230600901
DING Xiaodie, TANG Hong(
), GAO Qiang, ZHANG Chengjiao
摘要:
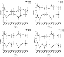
针对制冷与加热一体式服装中冷热调节区域设计问题,以皮肤温度为依据,探究人体受冷热环境影响上躯干各部位的冷热需求程度。分别测量冷与热2种环境下,青年男子在静坐、站立、步行、快走4种运动状态中上躯干不同区域的皮肤温度,分析各部位皮肤温度变化来判断人体局部区域的冷热情况,对皮肤温度变化值采用聚类分析来进行冷热调节区域的划分。结果表明:在冷环境下,人体上躯干皮肤温度在任一状态下侧胸、后肩温度均较低,且在静坐、站立阶段中明显低于人体平均皮肤温度;热环境下,任一状态下前肩、后肩温度均较高,前肩、后肩、中背明显高于人体平均皮肤温度,故侧胸、前肩及后肩等部位的冷热需求是功能服装设计的重点。
中图分类号:
| [1] | 柯莹, 张海棠, 朱晓涵, 等. 电加热高空清洁作业服研制与性能评价[J]. 纺织学报, 2021, 42(8): 149-155. |
| KE Ying, ZHANG Haitang, ZHU Xiaohan, et al. Development and performance evaluation of electric heating high-altitude cleaning work clothes[J]. Journal of Textile Research, 2021, 42(8): 149-155. | |
| [2] |
吴国珊, 刘何清, 吴世先, 等. 不同环境下个体通风服的制冷量[J]. 纺织学报, 2021, 42(10): 139-145.
doi: 10.13475/j.fzxb.20200908507 |
|
WU Guoshan, LIU Heqing, WU Shixian, et al. The cooling capacity of individual ventilated clothing in different environments[J]. Journal of Textile Research, 2021, 42(10): 139-145.
doi: 10.13475/j.fzxb.20200908507 |
|
| [3] | 刘欣悦, 赵蒙蒙, 李宛玥. 基于管道排列的背心式液冷服研发与测评[J]. 上海纺织科技, 2023, 51(4): 10-15,19. |
| LIU Xinyue, ZHAO Mengmeng, LI Wanyue. Research and evaluation of vest style liquid cooled clothing based on pipeline arrangement[J]. Shanghai Textile Technology, 2023, 51(4): 10-15,19. | |
| [4] | 陈曦, 潘姝雯, 戴宏钦, 等. 缓解职业人员热应激用个体冷却服的研究进展[J]. 现代丝绸科学与技术, 2021, 36(4): 35-40. |
| CHEN Xi, PAN Shuwen, DAI Hongqin, et al. Research progress on individual cooling suits for alleviating heat stress in professionals[J]. Modern Silk Science and Technology, 2021, 36(4): 35-40. | |
| [5] | 范一强, 贺建芸, 刘士成, 等. 制冷与制热空调服的研究进展[J]. 纺织学报, 2018, 39(7): 174-180. |
| FAN Yiqiang, HE Jianyun, LIU Shicheng, et al. Research progress in refrigeration and heating air conditioning clothing[J]. Journal of Textile Research, 2018, 39(7): 174-180. | |
| [6] |
DE DEAR R J, AKIMOTO T, ARENS E A, et al. Progress in thermal comfort research over the last twenty years[J]. Indoor Air, 2013, 23(6): 442-461.
doi: 10.1111/ina.12046 pmid: 23590514 |
| [7] |
张昭华, 陈之瑞, 李璐瑶, 等. 人体局部皮肤的气流敏感性及其影响因素[J]. 纺织学报, 2021, 42(12): 125-130,137.
doi: 10.13475/j.fzxb.20210400607 |
|
ZHANG Zhaohua, CHEN Zhirui, LI Luyao, et al. Air flow sensitivity of local human skin and its influencing factors[J]. Journal of Textile Research, 2021, 42(12): 125-130,137.
doi: 10.13475/j.fzxb.20210400607 |
|
| [8] | 周文, 郑晴, 柯莹. 相变降温军训服的设计开发与评价[J]. 毛纺科技, 2021, 49(2): 43-48. |
| ZHOU Wen, ZHENG Qing, KE Ying. Design, development and evaluation of phase change cooling military training uniforms[J]. Wool Textile Journal, 2021, 49(2): 43-48. | |
| [9] | 胡春华. 基于人体需求的相变纺织品的研究[D]. 天津: 河北科技大学, 2009: 31. |
| HU Chunhua. Research on phase change textiles based on human needs[D]. Tianjin: Hebei University of Science and Technology, 2009: 31. | |
| [10] | SONG W, WANG F, ZHANG C, et al. On the improvement of thermal comfort of university students by using electrically and chemically heated clothing in a cold classroom environment[J]. Building and Environment, 2015, 94: 704-713. |
| [11] | 炉庆洪, 杨洪钦, 陈丽, 等. 正常青年体表温度分布的红外热像分析[J]. 中国生物医学工程学报, 2007, 26(4): 528-531. |
| LU Qinghong, YANG Hongqin, CHEN Li, et al. Infrared thermography analysis of body surface temperature distribution in normal young people[J]. Chinese Journal of Biomedical Engineering, 2007, 26(4): 528-531. | |
| [12] | ANGELOVA R A, GEORGIEVA E, MARKOV D, et al. Estimating the effect of torso clothing insulation on body skin and clothing temperatures in a cold environment using infrared thermography[J]. Fibres & Textiles in Eastern Europe, 2018, 4 (130): 122-129. |
| [13] | 林强, 李同同, 满正行, 等. 一种基于SPECT成像的人体部位切分方法及系统: 202110252798.9[P]. 2021-06-11. |
| LIN Qiang, LI Tongtong, MAN Zhengxing, et al. A human part segmentation method and system based on SPECT imaging: 202110252798.9 [P]. 2021-06-11. | |
| [14] | 马惠敏, 张栋, 李顺月, 等. 正常人体背部温度分布及红外热像分析[J]. 生物医学工程与临床, 2006(4): 238-241. |
| MA Huimin, ZHANG Dong, LI Shunyue, et al. Temperature distribution and infrared thermal image analysis of normal human back[J]. Biomedical Engineering and Clinical, 2006(4): 238-241. | |
| [15] | ARENS E, ZHANG H, HUIZENGA C. Partial-and whole-body thermal sensation and comfort: part II: non-uniform environmental conditions[J]. Journal of Thermal Biology, 2006, 31(1/2): 60-66. |
| [16] | 苗苗, 鲁虹, 程梦琪. 运动前后人体体表温度变化与主观热感觉评定[J]. 纺织学报, 2018, 39(4): 116-122. |
| MIAO Miao, LU Hong, CHENG Mengqi. Changes in human body surface temperature before and after exercise and subjective thermal sensation assess-ment[J]. Journal of Textile Research, 2018, 39(4): 116-122. | |
| [17] | 王冰洁. 青年男性上身出汗分布规律研究[D]. 上海: 东华大学, 2013:28-30. |
| WANG Bingjie. A study on the distribution pattern of upper body sweating in young men[D]. Shanghai: Donghua University, 2013: 28-30. |
| [1] | 柯莹, 林磊, 郑晴, 王宏付. 电加热服加热区域分布对人体热舒适感的影响[J]. 纺织学报, 2024, 45(04): 188-194. |
| [2] | 范居乐, 张玉泽, 汪军. 动态牵伸过程中浮游纤维变速点分布模拟[J]. 纺织学报, 2024, 45(03): 44-48. |
| [3] | 朱圆圆, 覃蕊, 金佳勤, 雷彧腾, 于淼. 基于ANSYS的人体下肢服装压虚拟仿真预测[J]. 纺织学报, 2024, 45(03): 148-155. |
| [4] | 程子琪, 卢业虎, 许静娴. 电热织物系统热传递模拟及其参数设计[J]. 纺织学报, 2024, 45(02): 206-213. |
| [5] | 刘雨婷, 宋泽涛, 赵胜男, 王星岚, 常素芹. 个体冷却服的研究现状与发展趋势[J]. 纺织学报, 2023, 44(12): 233-241. |
| [6] | 苗雪, 王永进, 王方明. 充气保暖复合面料厚度与热阻的相关性分析[J]. 纺织学报, 2023, 44(11): 176-182. |
| [7] | 杜吉辉, 苏云, 刘广菊, 田苗, 李俊. 智能防寒手套温控系统设计及热舒适性研究[J]. 纺织学报, 2023, 44(04): 172-178. |
| [8] | 陈莹, 宋泽涛, 郑晓慧, 姜延, 常素芹. 蒸发型降温服的降温性能研究[J]. 纺织学报, 2022, 43(11): 141-147. |
| [9] | 马亮, 李俊. 多种智能技术在防寒服装功能研发中的应用进展[J]. 纺织学报, 2022, 43(06): 206-214. |
| [10] | 张昭华, 陈之瑞, 李璐瑶, 肖平, 彭浩然, 张钰涵. 人体局部皮肤的气流敏感性及其影响因素[J]. 纺织学报, 2021, 42(12): 125-130. |
| [11] | 牛梦雨, 潘姝雯, 戴宏钦, 吕凯敏. 医用防护服的热湿舒适性与人体疲劳度的关系[J]. 纺织学报, 2021, 42(07): 144-150. |
| [12] | 张昭华, 李璐瑶, 安瑞平. 管道式通风服头部与躯干部位的热湿舒适性评价[J]. 纺织学报, 2020, 41(08): 88-94. |
| [13] | 黄倩倩, 李俊. 环境温度突变时人体热感觉变化机制研究进展[J]. 纺织学报, 2020, 41(04): 188-194. |
| [14] | 郑晴, 王宏付, 柯莹, 李爽. 相变降温矿工服的设计与评价[J]. 纺织学报, 2020, 41(03): 124-129. |
| [15] | 陈晓娜, 王二会. 文胸钢圈对乳房竖直位移的影响[J]. 纺织学报, 2019, 40(07): 133-137. |
|
||