Journal of Textile Research ›› 2019, Vol. 40 ›› Issue (01): 97-102.doi: 10.13475/j.fzxb.20170203106

• Dyeing and Finishing & Chemicals • Previous Articles     Next Articles

Preparation and microwave absorption property of flexible lightweight magnetic particles-carbon fiber composites

YE Wei1,2, SUN Lei2, YU Jin1,2, SUN Qilong1,2()   

  1. 1. National & Local Joint Engineering Research Center of Technical Fiber Composites for Safety and Protection, Nantong University, Nantong, Jiangsu 226019, China
    2. College of Textiles and Clothing, Nantong University, Nantong, Jiangsu 226019, China
  • Received:2018-02-11 Revised:2018-09-28 Online:2019-01-15 Published:2019-01-18
  • Contact: SUN Qilong E-mail:sunqilong001@ntu.edu.cn

Abstract:

For developing novel flexible lightweight composite materials having both dielectric loss and magnetic loss abilities, magnetic particles-carbon fiber composites were prepared by impregnating polyacrylonitrile (PAN) based preoxidative fiber felts with metal salt solution and high temperature carbonizing. As-prepared materials were characterized and analyzed by segmental support based adsorption, X-ray diffraction, energy dispersive spectrometry, and scanning electron microscopy. Results show that the prepared composite material was composed of carbon fibers and magnetic Fe-Co-Ni, Fe3O4, Fe-Ni, Fe-Co and so on. The magnetic particles are uniformly distributed along the fiber axis. With the synergistic effects of dielectric loss of magnetic particles and magnetic loss of carbon fibers, such carbon fiber composite materials exhibites excellent microwave absorption property. When the treatment temperature is 650 ℃ and 700 ℃, the absorption bands of electromagnetic wave loss lower than -5 dB are 8.6-18 GHz and 10-18 GHz, respectively, while the absorption frequency are 13.9-18 GHz and 14-18 GHz for those of electromagnetic loss lower than -10 dB. In addtion, the treatment temperature higher than 700 ℃ or lower than 650 ℃ will decrease the adsorption of electromagnetic waves. The microwave absorption property of magnetic particle-carbon fiber composites can controlled by adjusting the treatment temperature.

Key words: composite, carbon fiber, metal salt, magnetic particle, wave absorption property

CLC Number: 

  • TB333

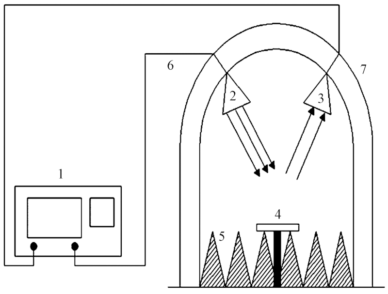
Fig.1

Segmental support wave absorption tester"

Fig.2

XRD patterns of sample"

Fig.3

EDS analysis patterns of fiber surface after hightemperature treatment at 700 ℃."

Fig.4

SEM images and magnetic performance of samples at different treatment temperatures(×500)."

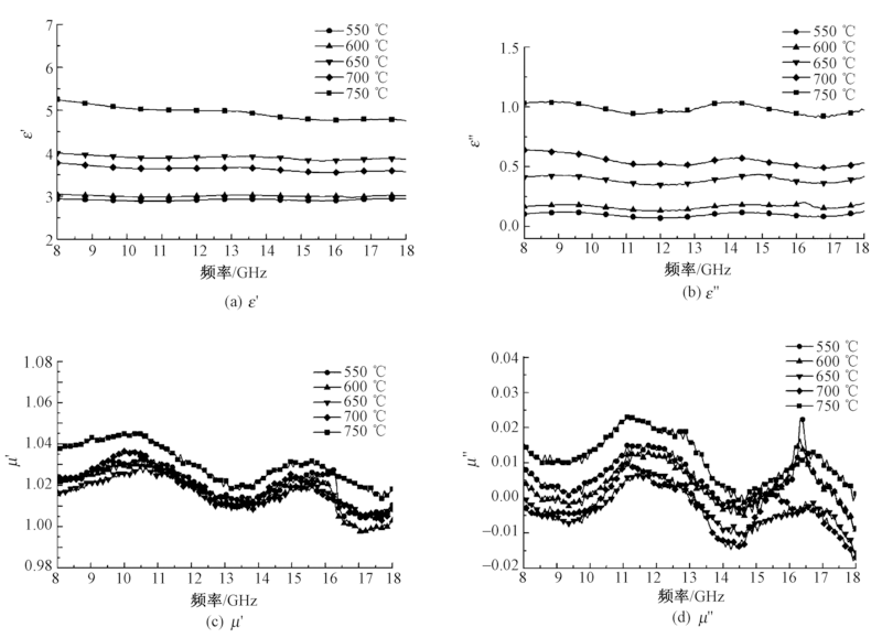
Fig.5

Electromagnetic parameters of samples after different temperature treatments"

Fig.6

Reflection loss curves of different radar frequencies waves. (a) X band; (b) Ku band"

Fig.7

Schemes of electromagnetic loss in composite textile"

[1] 叶芹, 向军, 李佳乐, 等. NZFO-PZT磁电复合纳米纤维的制备及其吸波性能[J]. 无机化学学报, 2015,31(7):1296-1304.
YE Qin, XIANG Jun, LI Jiale, et al. Fabrication and microwave absorption properties of NZFO-PZT magnetoelectric composite nanofibers[J]. Chinese Journal of Inorganic Chemistry, 2015,31(7):1296-1304
[2] QIN F, BROSSEAU C. A review and analysis of microwave absorption in polymer composites filled with carbonaceous particles[J]. Journal of Applied Physics, 2012,111(6):061301.
doi: 10.1063/1.3688435
[3] 李晶晶, 田启祥, 邹南智, 等. 结构型碳纤维吸波复合材料的研究及应用[J]. 纤维复合材料, 2012(2):7-10.
LI Jingjing, TIAN Qixiang, ZOU Nanzhi, et al. Research and application development of carbon fiber reinforced structural microwave-absorbing composite material[J]. Fiber Composites, 2012(2):7-10.
[4] FOLGUERAS L C, NOHARA E L, FEA R, et al. Dielectric microwave absorbing material processed by impregnation of carbon fiber fabric with poly-aniline[J]. Materials Research, 2007,10(1):95-99
doi: 10.1590/S1516-14392007000100020
[5] LIU Z, TAO R, LUO P, et al. Preparation and microwave absorbing property of carbon fiber/polyurethane radar absorbing coating[J]. Rsc Advances, 2017,7(73):46060-46068.
doi: 10.1039/C7RA07666E
[6] OSOULIBOSTANABAD K, AGHAJAN H, HOSSEINZADE E, et al. High microwave absorption of Nano-FeO deposited electrophoretically on carbon fiber[J]. Materials and Manufacturing Processes, 31(1):1351-1356.
doi: 10.1080/10426914.2015.1090595
[7] 王晨, 康飞宇, 顾家琳. 铁钴镍合金粒子/石墨薄片复合材料的制备与吸波性能研究[J]. 无机材料学报, 2010,25(4):406-410.
WANG Chen, KANG Feiyu, GU Jialin. Synjournal and microwave absorbing properties of FeCoNi alloy particles/graphite flaky composites[J]. Journal of Inorganic Materials, 2010,25(4):406-410.
doi: 10.3724/SP.J.1077.2010.00406
[8] 吴爱兵. 碳包覆磁性纳米颗粒的合成、结构及磁性能研究[D]. 长春: 吉林大学, 2011: 92-97.
WU Aibing. Synthesis, structure and mangetic property studies of catbom-encapsulated magnetic nano-particles[D]. Changchun: Jilin University, 2011: 92-97.
[9] 曾国勋, 张海燕, 葛鹰, 等. FeCoNi合金超细粉体的制备及其微波性能研究[J]. 表面技术, 2010,39(3):1-5.
ZENG Guoxun, ZHANG Haiyan, GE Ying, et al. Fabrication and absorption of FeCoNi alloy fine powders[J]. Surface Technology, 2010,39(3):1-5.
[10] 邹建平. 磁性四氧化三铁纳米复合材料的制备及其微波吸收应用研究[D]. 合肥: 安徽大学, 2014: 27-28.
ZHOU Jianping. Preparation and microwave absorption property of magnetic Fe3O4 nanocomposites[D]. Hefei: Anhui University, 2014: 27-28.
[11] LIU Z, XU G, ZHANG M, et al. Synjournal of CoFe2O4/RGO nanocomposites by click chemistry and electromagnetic wave absorption properties[J]. J Mater Sci Mater Electron, 2016,27(9):9278-9285.
doi: 10.1007/s10854-016-4966-7
[12] LI Z T, YE M Q, HAN A J, et al. Preparation, characterization and microwave absorption properties of NiFe2O4, and its composites with conductive polymer[J]. J Mater Sci Mater Electron, 2016,27(1):1031-1043.
doi: 10.1007/s10854-015-3848-8
[13] 吴友朋, 刘祥萱, 周友杰, 等. 吸收剂颗粒尺寸对吸波材料性能的影响[J]. 宇航材料工艺, 2010,40(1):42-44.
WU Youpeng, LIU Xiangxuan, ZHOU Youjie, et al. Effects of inclusion-particle size on absorbing ability of microwave absorbing materials[J]. Aerospace Materials & Technology, 2010,40(1):42-44.
[14] 张晏清, 张雄. 钡铁氧体的颗粒粒径与吸波性能研究[J]. 同济大学学报(自然科学版), 2006,34(2):225-228.
ZHANG Yanqing, ZHANG Xiong. Effect of particle size on microwave absorption property of barium ferrite[J]. Journal of Tongji University(Natural Science Edition), 2006,34(2):225-228.
[15] DOSOUDIL R, USAKOVA M, FRANEK J, et al. Particle size and concentration effect on permeability and EM-wave absorption properties of hybrid ferrite polymer composites[J]. IEEE Transactions on Magnetics Magr, 2010,46(2):436-439.
[16] HAN Z, LI D, WANG H, et al. Broadband electromagnetic-wave absorption by FeCo/C nanocapsules[J]. Appl Phys Lett, 2009,95:023114
doi: 10.1063/1.3177067
[17] LU M M, CAO W Q, SHI H L, et al. Multi-wall carbon nanotubes decorated with ZnO nanocrystals: mild solution-process synjournal and highly efficient microwave absorption properties at elevated temperature[J]. J Mater Chem A, 2014,2(27):10540-10547.
doi: 10.1039/c4ta01715c
[18] CAO M S, QIN R R, QIU C J, et al. Matching design and mismatching analysis towards radar absorbing coatings based on conducting plate[J]. Mater Design, 2003,24(5):391-396.
doi: 10.1016/S0261-3069(02)00119-X
[19] WANGL, HE F, WAN Y. Facile synjournal and electromagnetic wave absorption properties of magnetic carbon fiber coated with Fe-Co alloy by electro-plating[J]. Journal of Alloys and Compounds, 2011,509(14):4726-4730.
doi: 10.1016/j.jallcom.2011.01.119
[20] LI J, BI S, MEI B, et al. Effects of three-dimensional reduced graphene oxide coupled with nickel nanoparticles on the microwave absorption of carbon fiberbased composites[J]. Journal of Alloys and Compounds, 2017,717:205-213.
doi: 10.1016/j.jallcom.2017.03.098
[21] TEKMEN C, TSUNEKAWA Y, NAKANISHI H. Electrospinning of carbon nanofiber supported Fe/Co/Ni ternary alloy nanoparticles[J]. Journal of Materials Processing Technology, 2010,210(3):451-455.
doi: 10.1016/j.jmatprotec.2009.10.006
[1] SHEN Yue, JIANG Gaoming, LIU Qixia. Analysis on acoustic absorption performance of activated carbon fiber felts with gradient structure [J]. Journal of Textile Research, 2020, 41(10): 29-33.
[2] FENG Duanpei, SHANG Yuanyuan, LI Jun. Multi-scale simulation of impact failure behavior for 4- and 5-directional 3-D braided composites [J]. Journal of Textile Research, 2020, 41(10): 67-73.
[3] TANG Feng, YU Houyong, ZHOU Ying, LI Yingzhan, YAO Juming, WANG Chuang, JIN Wanhui. Preparation and property of poly(3-hydroxybutyrate-co-3-hydroxyvalerate) composite films [J]. Journal of Textile Research, 2020, 41(09): 8-15.
[4] ZHANG Lingyun, QIAN Xiaoming, ZOU Chi, ZOU Zhiwei. Preparation and properties of SiO2 aerogel / polyester-polyethylene bicomponent fiber composite thermal insulation materials [J]. Journal of Textile Research, 2020, 41(08): 22-26.
[5] LI Ruiqing, WANG Wei, WEI Bingju, ZHOU Changwen, ZHANG Shutao. Sulfur black dyeing process with environment friendly reducing agent [J]. Journal of Textile Research, 2020, 41(08): 50-54.
[6] CHEN Shiping, CHEN Min, WEI Cen, WANG Fujun, WANG Lu. Structure and functions of medical protective clothing and trend for research and development [J]. Journal of Textile Research, 2020, 41(08): 179-187.
[7] MA Feifei. Stab-resistant performance and wearability of composite materials made by discrete resin molding [J]. Journal of Textile Research, 2020, 41(07): 67-71.
[8] MA Ying, HE Tiantian, CHEN Xiang, LU Sheng, WANG Youqi. Micro-geometry modeling of three-dimensional orthogonal woven fabrics based on digital element approach [J]. Journal of Textile Research, 2020, 41(07): 59-66.
[9] DAI Xin, LI Jing, CHEN Chen. Finite element simulation on wear resistance of copper-plated carbon fiber tows [J]. Journal of Textile Research, 2020, 41(06): 27-35.
[10] LI Liping, WU Daoyi, ZHAN Yikai, HE Min. Review on carbon fiber surface modification using electrophoretic deposition of carbon nanotubes and graphene oxide [J]. Journal of Textile Research, 2020, 41(06): 168-173.
[11] LIU Yanchun, BAI Gang. Application of berberine in polyacrylonitrile / cellulose acetate composite fiber dyeing [J]. Journal of Textile Research, 2020, 41(05): 94-98.
[12] CHEN Lifu, YU Weidong. Stab resistance of composites with synthetic diamond filled polyimide resin matrix [J]. Journal of Textile Research, 2020, 41(05): 38-44.
[13] LIANG Shuangqiang, CHEN Ge, ZHOU Qihong. Compression property of notched 3-D braided composites [J]. Journal of Textile Research, 2020, 41(05): 79-84.
[14] WAN Yucai, LIU Ying, WANG Xu, YI Zhibing, LIU Ke, WANG Dong. Structure and property of poly(vinyl alcohol-co-ethylene) nanofiber / polypropylene microfiber scaffold: a composite air filter with high filtration performance [J]. Journal of Textile Research, 2020, 41(04): 15-20.
[15] LI Peng, WAN Zhenkai, JIA Minrui. Damage monitoring of composite materials based on twist energy of carbon nanotube yarns [J]. Journal of Textile Research, 2020, 41(04): 58-63.
Viewed
Full text


Abstract

Cited

  Shared   
  Discussed   
No Suggested Reading articles found!