Journal of Textile Research ›› 2021, Vol. 42 ›› Issue (10): 53-60.doi: 10.13475/j.fzxb.20201104208
• Fiber Materials • Previous Articles Next Articles
WEI Fayun1,2, YANG Fan3, WANG Hailou3, YU Bin1, ZOU Xueshu3, ZHANG Wei3(
)
CLC Number:
| [1] |
MANDER J B, PRIESTLEY M J N, PARK R. Theoretical stress‐strain model for confined concrete[J]. Journal of Structural Engineering, 1988, 114(8):1804-1826.
doi: 10.1061/(ASCE)0733-9445(1988)114:8(1804) |
| [2] | 俞巧珍, 熊杰. 纤维增强水泥基复合材料研究的若干问题探讨[J]. 浙江工程学院学报, 2002, 19(4):254-259. |
| YU Qiaozhen, XIONG Jie. Several key problems in the study of fiber-reinforced cement composite materials[J]. Journal of Zhejiang Sci-Tech University, 2002, 19(4):254-259. | |
| [3] |
ONUAGULUCHI O, BANTHIA N . Plant-based natural fiber reinforced cement composites: a review[J]. Cement Concrete Composites, 2016, 68:96-108.
doi: 10.1016/j.cemconcomp.2016.02.014 |
| [4] | NISHIWAKI T, SASAKI H, KWON S M . Experimental study on self-healing effect of FRCC with PVA fibers and additives[J]. Journal of Ceramic Processing Research, 2015, 16(1):89-94. |
| [5] | LI V C, WU C, WANG S X, et al. Interface tailoring for strain-hardening polyvinyl alcohol-engineered cementitious composite (PVA-ECC)[J]. Aci Materials Journal, 2002, 99(5):463-472. |
| [6] |
LAWAN I, QIANG L, ZHOU W M, et al. Modifications of hemp twine for use as a fiber in cement composite: effects of hybrid treatments[J]. Cellulose, 2018, 25(3):2009-2020.
doi: 10.1007/s10570-018-1668-8 |
| [7] |
TORRES R B, SANTOS J C D, PANZERA T H. Hybrid glass fibre reinforced composites containing silica and cement microparticles based on a design of experiment[J]. Polymer Testing, 2017, 57:87-93.
doi: 10.1016/j.polymertesting.2016.11.012 |
| [8] |
SANTOS L, TALEGHANI A D, LI G . Nanosilica-treated shape memory polymer fibers to strengthen wellbore cement[J]. Journal of Petroleum Science and Engineering, 2020, 196:107646.
doi: 10.1016/j.petrol.2020.107646 |
| [9] |
FU X, LU W, CHUNG D D L. Improving the strain-sensing ability of carbon fiber-reinforced cement by ozone treatment of the fibers[J]. Cement and Concrete Research, 1998, 28(2):183-187.
doi: 10.1016/S0008-8846(97)00265-2 |
| [10] |
ZHANG W, XU X, WEI F, et al. Influence of dielectric barrier discharge treatment on surface structure of polyoxymethylene fiber and interfacial interaction with cement[J]. Materials, 2018, 11(10):1873.
doi: 10.3390/ma11101873 |
| [11] |
CHEN L, SUN W W, CHEN B C, et al. A comparative study on blast-resistant performance of steel and pva fiber-reinforced concrete: experimental and numerical analyses[J]. Crystals, 2020, 10(8):707.
doi: 10.3390/cryst10080707 |
| [12] | YANG E H, YANG Y, SHI Y, et al. Use of high volumes of fly ash to improve FRCC mechanical properties and material greenness[J]. ACI Materials Journal, 2007, 104(6):620-628. |
| [13] |
QING Y, ZENAN Z, DEYU K, et al. Influence of nano-SiO2 addition on properties of hardened cement paste as compared with silica fume[J]. Construction and Building Materials, 2007, 21(3):539-545.
doi: 10.1016/j.conbuildmat.2005.09.001 |
| [14] |
WU Z, KHAYAT K H, SHI C . Effect of nano-SiO2 particles and curing time on development of fiber-matrix bond properties and microstructure of ultra-high strength concrete[J]. Cement and Concrete Research, 2017, 95:247-256.
doi: 10.1016/j.cemconres.2017.02.031 |
| [15] |
CHAN Y W, CHU S H . Effect of silica fume on steel fiber bond characteristics in reactive powder concrete[J]. Cement and Concrete Research, 2004, 34(7):1167-1172.
doi: 10.1016/j.cemconres.2003.12.023 |
| [16] |
ZHANG W, ZOU X, WEI F, et al. Grafting SiO2 nanoparticles on polyvinyl alcohol fibers to enhance the interfacial bonding strength with cement[J]. Composites Part B, 2019, 162:500-507.
doi: 10.1016/j.compositesb.2019.01.034 |
| [17] | 李贺东, 徐世烺. 超高韧性水泥基复合材料弯曲性能及韧性评价方法[J]. 土木工程学报, 2010, 43(3):33-38. |
| LI Hedong, XU Shilang. Research on flexural properties and flexural toughness evaluation method of ultra high toughness cementitious composites[J]. China Civil Engineering Journal, 2010, 43(3):33-38. | |
| [18] | 李永鹏, 何锐, 稽绍华, 等. 界面处理对混杂纤维混凝土弯曲性能的影响[J]. 武汉理工大学学报, 2013, 35(4):27-31. |
| LI Yongpeng, HE Rui, JI Shaohua, et al. Impact of enhanced interface treatment on flexural properties of fiber reinforced concrete[J]. Journal of Wuhan University of Technology, 2013, 35(4):27-31. |
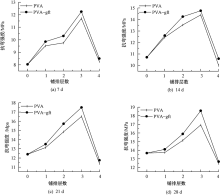
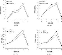
| [1] | . Study on Preparation and Mechanical Properties of Modified Polyvinyl Alcohol Fiber [J]. , 2021, 42(10): 0-0. |
| [2] | WU Qinxin, HOU Chengyi, LI Yaogang, ZHANG Qinghong, QIN Zongyi, WANG Hongzhi. Radiative cooling nanofiber medical fabrics and sensor system integration [J]. Journal of Textile Research, 2021, 42(09): 24-30. |
| [3] | . Preparation and property of waterproof breathable nano silicon dioxide microspheres / poly-ether block amide coating fabric [J]. Journal of Textile Research, 2018, 39(10): 104-109. |
| [4] | . Preparation and properties of shear thickening fluid [J]. JOURNAL OF TEXTILE RESEARCH, 2014, 35(8): 5-0. |
| [5] | . Preparation and characterization of porous SnO2 nanofibers [J]. JOURNAL OF TEXTILE RESEARCH, 2014, 35(7): 13-0. |
| [6] | wei-dong ZHANG. Infouence of acrylic acid grafting on dyeing property of nylon 66 [J]. JOURNAL OF TEXTILE RESEARCH, 2013, 34(7): 85-89. |
| [7] | LI Shu-feng;CHENG Bo-wen;SUN Kun-song;SONG Hao-jiang. Test on the properties of the fire retardant common viscose fiber prepared by graft modification [J]. JOURNAL OF TEXTILE RESEARCH, 2006, 27(8): 61-63. |
| [8] | WU Min;CHENG Xiu-ping;GE Ming-qiao. Research on the dispersing method of nanometer SiO2 [J]. JOURNAL OF TEXTILE RESEARCH, 2006, 27(4): 80-82. |
| [9] | LI Shu-feng;CHENG Bo-wen;SUN Kun-song;SONG Hao-jiang. Study on the flame retardant HWM viscose fibers modified by grafting [J]. JOURNAL OF TEXTILE RESEARCH, 2006, 27(4): 60-62. |
|
||