Journal of Textile Research ›› 2021, Vol. 42 ›› Issue (06): 26-34.doi: 10.13475/j.fzxb.20210205109

;

• Academic Salon Column for New Insight of Textile Science and Technology: Mitigation Strategies and Sustainable Development of Fibrous Microplastics • Previous Articles     Next Articles

Occurrence and release of fibrous microplastic from dyeing and printing wastewater

XU Chenye1, GU Chunjie1, NI Yifan1, SHEN Chensi1, WANG Huaping2, WU Jing2, LI Fang1()   

  1. 1. School of Environmental Science and Engineering, Donghua University, Shanghai 201620, China
    2. School of Materials Science and Engineering, Donghua University, Shanghai 201620, China
  • Received:2021-02-22 Revised:2021-03-14 Online:2021-06-15 Published:2021-06-25
  • Contact: LI Fang E-mail:lifang@dhu.edu.cn

Abstract:

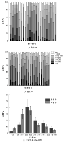
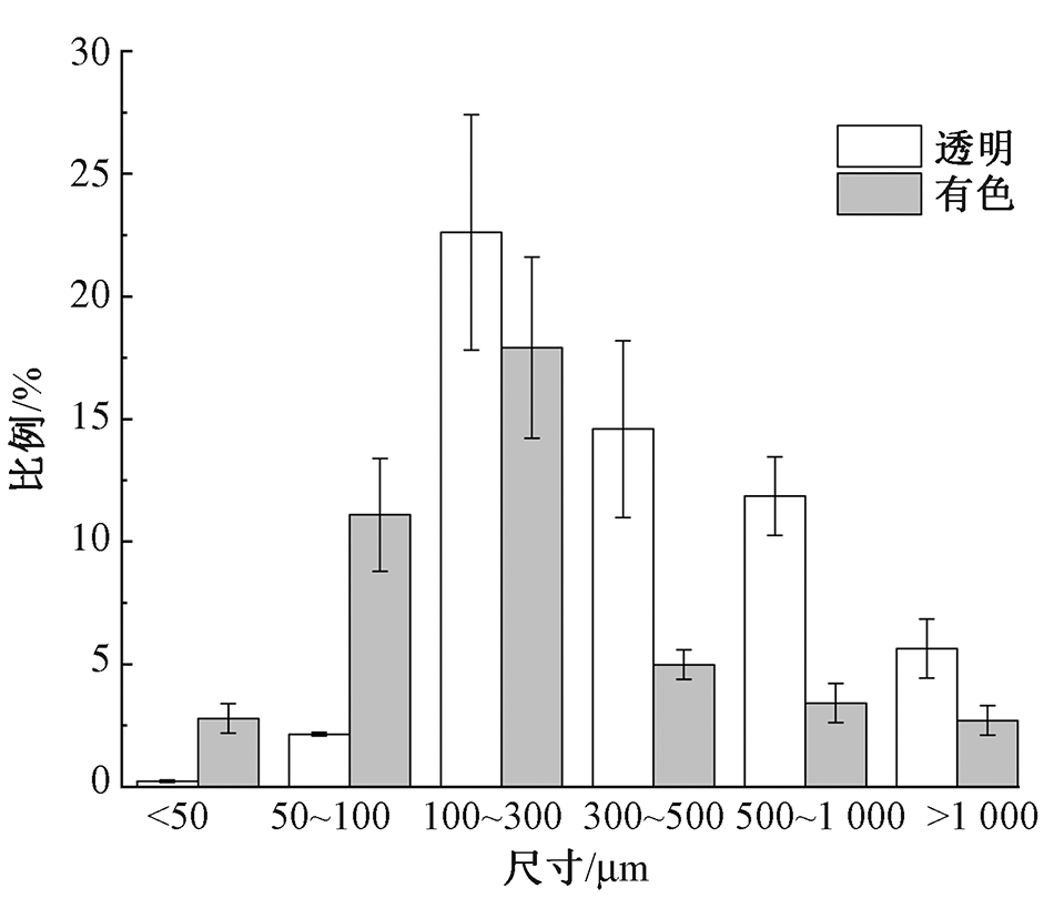
Fibrous microplastic (MP)derived from textile printing and dyeing industry are considered to be an important source of MPs in the aquatic environment. In order to understand the pollution emission characteristics and environmental behaviors of fibrous MP from the industry in the Yangtze River Delta, the regulation influent and end effluent samples from 22 textile printing and dyeing enterprises were collected to analyze the abundance, morphology, polymer types and removal efficiencies of fibrous MP. It was found that fibrous MP were occurred in all samples with average abundance of (7 504.8±5 685.9) and (1 272.7±782.2) n/L in influent and effluent samples, respectively. PET was the major polymer type, but no significant association was observed between raw materials and polymer compositions in wastewater. fibrous MP of sizes with 100-300 μm and with transparent color dominated the influent, but small-sized (<100 μm) and colored fibrous MP increased across the treatment systems, which was attributable to the fibers characterization and treatment pathways. Overall, the removal rates of fibrous MP were (78.3±10.2)%, removal efficiencies were positively correlated with sizes. Ecological risks assessment indicated that (3.88±5.75)×109 n/d fibrous MP from effluent were still released due to the huge daily capacity, which posed potential and lasting pressure on the aquatic environment. This findings from this research provide technical understanding on fibrous MP in wastewater effluents channel and their composition, and help optimize advanced treatment processes.

Key words: fibrous microplastics, textile and dyeing, effluent release, removal rate, risk assessment, dyeing and printing wastewater

CLC Number: 

  • TS102

Fig.1

Distribution of sampling sites"

Fig.2

Microfiber concentrations of influent (a) and effluent(b) in dyeing and printing wastewater at sampling points"

Tab.1

Microfiber/microplastics abundance of influent and effluent from dyeing and printing plants and wastewater treatment plants in different regions"

调查对象 目标污染物 丰度/(个·L-1) 去除率/% 参考文献
进水中 出水中
中国柯桥工业区
纺织印染企业
纤维微塑料 A厂:12 300
B厂:54 100
C厂:2 100
1 880
1 350
10
84.7
97.5
99.5
[13]
中国某纺织印染企业1 纤维微塑料 256.7 25 90.3 [20]
中国某纺织印染企业2 纤维微塑料 334.1 16.3 95.1 [21]
土耳其某城市污水处理厂 微塑料 Seyhan: 26.5±3.17 6.99±0.764 73 [22]
Yuregir: 23.4±4.10 4.11±0.318 79
加拿大温哥华城市污水处理厂 微塑料 31.1±6.7 0.5±0.2 99 [23]
英国格拉斯哥市镇污水处理厂 微塑料 15.7±5.23 0.25±0.04 98.41
初级:78.34;次级:20.1
[14]
韩国市镇污水厂 微塑料 A2O: 29 850 0.435 > 98 [24]
SBR: 16 450 0.140
Media: 13 865 0.280
芬兰市镇污水厂 微塑料 MBR: 6.9 0.005 99.9 [25]
砂滤:0.7 0.02 97
气浮:2.0 0.1 95
芬兰Kenkaveronniemi
市镇污水厂
纤维微塑料 52.6±11.3 0.3±0.1 99.4 [26]
微塑料 57.6±12.4 0.6±0.2 98.9

Tab.2

Kruskal-Wallis analysis on effects of residual amount of raw materials on polymer composition"

原材料 PET PP PE PA
化学纤维 78.1±33.9 12.5±26.7 3.12±8.84 6.25±11.6
76.3±37.1 0.00±0.00 19.1±37.8 4.76±12.6
其他材料 77.1±37.3 8.57±15.7 7.14±18.9 7.14±18.9
Chi-square, p 0.005,0.995 0.880, 0.431 0.845,0.445 0.048,0.953

Fig.3

Polymer composition for microfibers (a) and fibrous MPs (b) in dyeing and printing wastewater at sampling points"

Fig.4

Size distribution of fibrous MPs fibers of influent(a), effluent(b) and combined results of 22 enterprises(c) in dyeing and primting wastewater"

Fig.5

Color composition of fibrous MPs of influent (a) and effluent (b) in dyeing and printing wastewater"

Fig.6

Different size distributions of transparent and colored fibers in influent"

Fig.7

Relations between fibrous MPs removal efficiencies and size distributions"

[1] BROWNE M A, CRUMP P, NIVEN S J, et al. Accumulation of microplastic on shorelines woldwide: sources and sinks[J]. Environmental Science & Technology, 2011, 45(21):9175-9179.
doi: 10.1021/es201811s
[2] SUNDT P, SCHULTZE F P E. Sources of microplastic- pollution to the marine environment[J]. Norwegian Environment Agency, 2014, 86:1-108.
[3] ROCHMAN C M, KUROBE T, FLORES I, et al. Early warning signs of endocrine disruption in adult fish from the ingestion of polyethylene with and without sorbed chemical pollutants from the marine environment[J]. Science of the Total Environment, 2014, 493:656-661.
doi: 10.1016/j.scitotenv.2014.06.051
[4] AVIO C G, GORBI S, MILAN M, et al. Pollutants bioavailability and toxicological risk from microplastics to marine mussels[J]. Environmental Pollution, 2015, 198:211-222.
doi: 10.1016/j.envpol.2014.12.021
[5] HORTON A A, WALTON A, SPURGEON D J, et al. Microplastics in freshwater and terrestrial environments: evaluating the current understanding to identify the knowledge gaps and future research priorities[J]. Sciense of the Total Environment, 2017, 586:127-141.
[6] YUAN W, LIU X, WANG W, et al. Microplastic abundance, distribution and composition in water, sediments, and wild fish from Poyang Lake, China[J]. Ecotoxicology and Environmental Safety, 2019, 170:180-187.
doi: 10.1016/j.ecoenv.2018.11.126
[7] THOMAS S, MATTHEW J, PAUL N, et al. Freshwater and airborne textile fibre populations are dominated by 'natural', not microplastic, fibres[J]. Science of the Total Environment, 2019, 666:377-389.
doi: 10.1016/j.scitotenv.2019.02.278
[8] RAGUSA A, SVELATO A, SANTACROCE C, et al. Plasticenta: first evidence of microplastics in human placenta[J]. Environment International, 2021, 146:106274.
doi: 10.1016/j.envint.2020.106274
[9] PRATA J C. Microplastics in wastewater: state of the knowledge on sources, fate and solutions[J]. Marine Pollution Bulletin, 2018, 129(1):262-265.
doi: 10.1016/j.marpolbul.2018.02.046
[10] XU C, ZHANG B, GU C, et al. Are we underestimating the sources of microplastic pollution in terrestrial environment? [J]. Journal of Hazardous Materials, 2020, 400:123228.
doi: 10.1016/j.jhazmat.2020.123228
[11] THOMPSON R C O Y, MITCHELL R P, DAVIS A, et al. Lost at sea: where is all the plastic? [J]. Science, 2004, 304:838.
doi: 10.1126/science.1094559
[12] NAPPER I E, THOMPSON R C. Release of synthetic microplastic plastic fibres from domestic washing machines: effects of fabric type and washing condi-tions[J]. Marine Pollution Bulletin, 2016, 112(1/2):39-45.
doi: 10.1016/j.marpolbul.2016.09.025
[13] ZHOU H, ZHOU L, MA K. Microfiber from textile dyeing and printing wastewater of a typical industrial park in China: occurrence, removal and release[J]. Science of the Total Environment, 2020, 739:140329.
doi: 10.1016/j.scitotenv.2020.140329
[14] MURPHY F, EWINS C, CARBONNIER F, et al. Wastewater treatment works (WwTW) as a source of microplastics in the aquatic environment[J]. Environmental Science & Technology, 2016, 50(11):5800-5808.
doi: 10.1021/acs.est.5b05416
[15] ZHAO S Y, ZHU L X, WANG T, et al. Suspended microplastics in the surface water of the Yangtze Estuary System, China: first observations on occurrence, distribution[J]. Marine Pollution Bulletin, 2014, 86(1/2):562-568.
doi: 10.1016/j.marpolbul.2014.06.032
[16] ZIAJAHROMI S, NEALE P A, RINTOUL L, et al. Wastewater treatment plants as a pathway for microplastics: development of a new approach to sample wastewater-based microplastics[J]. Water Research, 2017, 112:93-99.
doi: 10.1016/j.watres.2017.01.042
[17] ZHAO S Y, DANLEY M, WARD J E, et al. An approach for extraction, characterization and quantitation of microplastic in natural marine snow using Raman microscopy[J]. Analytical Methods, 2016, 9(9):1470-1478.
doi: 10.1039/C6AY02302A
[18] 白濛雨, 赵世烨, 彭谷雨, 等. 城市污水处理过程中微塑料赋存特征[J]. 中国环境科学, 2018, 38(5):1734-1743.
BAI Mengyu, ZHAO Shiye, PENG Guyu, et al. Occurrence characteristics of microplastics in municipal sewage treatment[J]. China Environmental Science, 2018, 38(5):1734-1743.
[19] ISOBE A, KUBO K, TAMURA Y, et al. Selective transport of microplastics and mesoplastics by drifting in coastal waters[J]. Marine Pollution Bulletin, 2014, 89(1/2):324-330.
doi: 10.1016/j.marpolbul.2014.09.041
[20] 侯青桐, 许霞, 薛银刚, 等. 纺织印染废水处理工艺中微纤维分离及其微观特征[J]. 中国给水排水, 2019, 35(3):13-18.
HOU Qingtong, XU Xia, XUE Yingang, et al. Microfiber separation and microstructure characteristics in textile printing and dyeing wastewater treatment process[J]. China Water & Wastewater, 2019, 35(3):13-18.
[21] XU X, HOU Q, XUE Y, et al. Pollution characteristics and fate of microfibers in the wastewater from textile dyeing wastewater treatment plant[J]. Water Science and Technology, 2018, 78(10):2046-2054.
doi: 10.2166/wst.2018.476
[22] GUNDOGDU S, CEVIK C, GUZEL E, et al. Microplastics in municipal wastewater treatment plants in Turkey: a comparison of the influent and secondary effluent concentrations[J]. Environmental Monitoring and Assessment, 2018, 190(11):626.
doi: 10.1007/s10661-018-7010-y
[23] GIES E A, LENOBLE J L, NOEL M, et al. Retention of microplastics in a major secondary wastewater treatment plant in Vancouver, Canada[J]. Marine Pollution Bulletin, 2018, 133:553-561.
doi: 10.1016/j.marpolbul.2018.06.006
[24] LEE H, KIM Y. Treatment characteristics of microplastics at biological sewage treatment facilities in Korea[J]. Marine Pollution Bulletin, 2018, 137:1-8.
doi: 10.1016/j.marpolbul.2018.09.050
[25] TALVITIE J, MIKOLA A, KOISTINEN A, et al. Solutions to microplastic pollution-removal of microplastics from wastewater effluent with advanced wastewater treatment technologies[J]. Water Research, 2017, 123:401-407.
doi: 10.1016/j.watres.2017.07.005
[26] LARES M, NCIBI M C, SILLANPAA M, et al. Occurrence Occurrence, identification and removal of microplastic particles and fibers in conventional activated sludge process and advanced MBR technology[J]. Water Research, 2018, 133:236-246.
doi: 10.1016/j.watres.2018.01.049
[27] YUAN F, ZHAO H, SUN H, et al. Abundance, morphology, and removal efficiency of microplastics in two wastewater treatment plants in Nanjing, China[J]. Environmental Science and Pollution Research, 2020, 28(8):9327-9337.
doi: 10.1007/s11356-020-11411-w
[28] 贾其隆, 陈浩, 赵昕, 等. 大型城市污水处理厂处理工艺对微塑料的去除[J]. 环境科学, 2019, 40(9):259-266.
JIA Qilong, CHEN Hao, ZHAO Xin, et al. Removal of microplastics by treatment process of large-scale municipal sewage treatment plant[J]. Environmental Science, 2019, 40(9):259-266.
[29] LV X, DONG Q, ZUO Z, et al. Microplastics in a municipal wastewater treatment plant: fate, dynamic distribution, removal efficiencies, and control strate-gies[J]. Journal of Cleaner Production, 2019, 225:579-586.
doi: 10.1016/j.jclepro.2019.03.321
[30] BLAIR R M, WALDRON S, GAUCHOTTE-LINDSAY C. Average daily flow of microplastics through a tertiary wastewater treatment plant over a ten-month period[J]. Water Research, 2019, 163:114909.
doi: 10.1016/j.watres.2019.114909
[31] MINTENIG S M, INT-VEEN I, LODER M G J, et al. Identification of microplastic in effluents of waste water treatment plants using focal plane array-based micro-fourier-transform infrared imaging[J]. Water Research, 2017, 108:365-372.
doi: 10.1016/j.watres.2016.11.015
[32] MASON S A G D, SUTTON R, ET AL. Microplastic pollution is widely detected in US municipal wastewater treatment plant effluent[J]. Environmental Pollution, 2016, 218:1045-1054.
doi: 10.1016/j.envpol.2016.08.056
[33] 陈瑀, 张宴, 苏良湖, 等. 南京城市污水处理厂中微塑料的赋存特征[J]. 中国环境科学, 2020, 40(9):3835-3841.
CHEN Yu, ZHANG Yan, SU Lianghu, et al. Occurrence characteristics of microplastics in Nanjing municipal sewage treatment plant[J]. China Environmental Science, 2020, 40(9):3835-3841.
[34] BOUCHER J, FRIOT D. Primary microplastics in the oceans: a global evaluation of sources[M]. Gland: IUCN, 2017:27.
[1] ZHANG Tingting, XU Kexin, JIN Mengtian, GE Shijie, GAO Guohong, CAI Yixiao, WANG Huaping. Recent progress in preparation of cellulose-based organic-inorganic photocatalysts nanohybrids and it's application in water treatment [J]. Journal of Textile Research, 2021, 42(07): 175-183.
[2] GONG An-Hua, SUN Yue-Ling. Test on Dyeing and Printing Wastewater Treatment by Coagulation-adsorption-oxidation [J]. JOURNAL OF TEXTILE RESEARCH, 2012, 33(4): 95-99.
[3] LIU Meihong. Advances in dyeing and printing wastewater treatment technologies [J]. JOURNAL OF TEXTILE RESEARCH, 2007, 28(1): 116-119.
[4] JI Lei;DU Heng-qing;SUN Jian;WANG Yan;NIU Zeng-yuan;LIU Xin-tong. Risk assessment analysis on extractable heavy metals in textiles [J]. JOURNAL OF TEXTILE RESEARCH, 2006, 27(2): 29-32.
Viewed
Full text


Abstract

Cited

  Shared   
  Discussed   
No Suggested Reading articles found!