Journal of Textile Research ›› 2022, Vol. 43 ›› Issue (11): 35-40.doi: 10.13475/j.fzxb.20211111206

• Fiber Materials • Previous Articles     Next Articles

Preparation and electrochemical performance of composite carbon nanotube/Ni/polyaniline fibrous supercapacitor

LOU Huiqing1,2,3(), ZHU Feichao4, LI Leilei2, DING Huilong2, PU Dandan2, WANG Xiangfei2   

  1. 1. Clothing Engineering Research Center of Zhejiang Province, Hangzhou, Zhejiang 310018, China
    2. School of Textiles Engineering, Henan University of Engineering, Zhengzhou, Henan 450007, China
    3. Shenma Industrial Co., Ltd., Pingdingshan, Henan 467021, China
    4. College of Textile Science and Engineering (International Institute of Silk), Zhejiang Sci-Tech University, Hangzhou, Zhejiang 310018, China
  • Received:2021-11-30 Revised:2022-08-10 Online:2022-11-15 Published:2022-12-26

Abstract:

In order to improve the capacitance performance of fibrous supercapacitors, carbon nanotube (CNT) fibers were subjected to anodizing pretreatment, metallization treatment and electrodeposition of polyaniline to obtain different electrode materials. CNT, CNT/polyaniline (CNT-PANI), CNT/anodization/polyaniline (CNT-O-PANI), CNT/anodization/metallization/polyaniline (CNT-O-Ni-PANI) was used to assemble the fibrous supercapacitor separately, and its structure and electrochemical performance were studied. The results show that after anodic oxidation and metallization, polyaniline was uniformly and tightly dispersed on the surface of the CNT fibers, and there was no agglomeration phenominon. The supercapacitor prepared by CNT-O-Ni-PANI electrode material has excellent energy storage performance, and its specific capacitance and energy density are much higher than the other three electrode materials. At a current density of 1 A/g, its specific capacitance and energy density are 357.8 F/g and 178.9 W·h/kg respectively, and at a scanning speed of 10 mV/s, its specific capacitance is as high as 1 246.3 F/g. The CNT-O-Ni-ANI supercapacitors have better stability performance, and at a current density of 5 A/g, the capacitance retention rate is still as high as 99.7% after 10 000 constant current charge and discharge cycles.

Key words: fibrous supercapacitor, carbon nanotube fiber, anodization, polyaniline, specific capacitance

CLC Number: 

  • TS102.6

Fig.1

Morphology of electrode material"

Fig.2

Galvanostatic charge-discharge curve"

Tab.1

Storage performance of supercapacitors"

电容器
类型
比容量/
(F·g-1)
能量密度/
(W·h·kg-1)
功率密度/
(kW·kg-1)
CNT 22.1 11.1 1.47
CNT-PANI 73.7 36.9 1.66
CNT-O-PANI 173.0 86.5 1.75
CNT-O-Ni-PANI 357.8 178.9 1.80

Fig.3

Cyclic voltammetry curve"

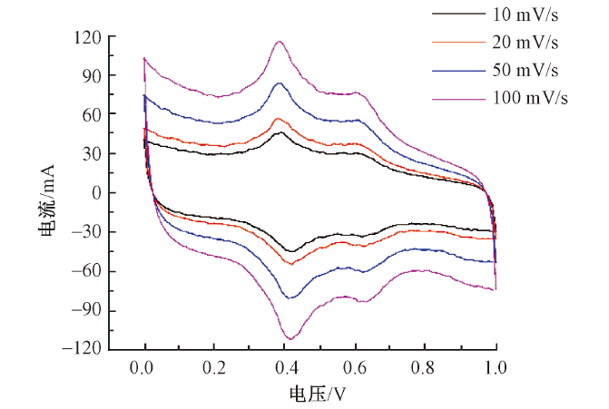
Fig.4

CV curve of CNT-O-Ni-PANI at different scanning speeds"

Fig.5

Electrochemical impedance spectroscopy tests"

Fig.6

Long-term cycle performance"

Fig.7

Flexility of fiber-shaped supercapacitor"

[1] LIU W, SONG M S, KONG B, et al. Flexible and stretchable energy storage: recent advances and future perspectives[J]. Advanced Materials, 2017, 29(1): 1-34.
[2] GAO L, ZHU C, LI L, et al. All paper-based flexible and wearable piezoresistive pressure sensor[J]. ACS Applied Materials & Interfaces, 2019, 11(28): 25034-25042.
[3] HE J, LU C, JIANG H, et al. Scalable production of high-performing woven lithium-ion fibre batteries[J]. Nature, 2021, 597: 57-63.
doi: 10.1038/s41586-021-03772-0
[4] LI L, HAO M, YANG X, et al. Sustainable and flexible hydrovoltaic power generator for wearable sensing electronics-ScienceDirect[J]. Nano Energy, 2020, 72:1-6.
[5] PAN Z, YANG J, ZHANG Q, et al. All-solid-state fiber supercapacitors with ultrahigh volumetric energy density and outstanding flexibility[J]. Advanced Energy Materials, 2019, 9(9):1-7.
[6] LEE Y G, LEE J, AN G H. Surface engineering of carbon via coupled porosity tuning and heteroatom-doping for high-performance flexible fibrous superca-pacitors[J]. Advanced Functional Materials, 2021, 31(48): 2104256.
doi: 10.1002/adfm.202104256
[7] RANDENIYA L K, BENDAVID A, MARTIN P J, et al. Composite yarns of multiwalled carbon nanotubes with metallic electrical conductivity[J]. Small, 2010, 6(16): 1806-1811.
doi: 10.1002/smll.201000493 pmid: 20665629
[8] XU G, ZHAO J, LI S, et al. Continuous electrodeposition for lightweight, highly conducting and strong carbon nanotube-copper composite fibers[J]. Nanoscale, 2011, 3(10): 4215-4219.
doi: 10.1039/c1nr10571j pmid: 21879118
[9] CAI Z, LI L, REN J, et al. Flexible, weavable and efficient microsupercapacitor wires based on polyaniline composite fibers incorporated with aligned carbon nanotubes[J]. Journal of Materials Chemistry A, 2013, 1(2): 258-261.
doi: 10.1039/C2TA00274D
[10] DONG L, LIANG G, XU C, et al. Multi hierarchical construction-induced superior capacitive performances of flexible electrodes for wearable energy storage[J]. Nano Energy, 2017, 34: 242-248.
doi: 10.1016/j.nanoen.2017.02.031
[11] ZHANG Z, WANG L, LI Y, et al. Nitrogen-doped core-sheath carbon nanotube array for highly stretchable supercapacitor[J]. Advanced Energy Materials, 2016, 7(5): 1601814.
doi: 10.1002/aenm.201601814
[12] LIU K, CHEN Z, LV T, et al. A Self-supported graphene/carbon nanotube hollow fiber for integrated energy conversion and storage[J]. Nano-Micro Letters, 2020, 12:64.
doi: 10.1007/s40820-020-0390-x pmid: 34138272
[1] WANG Chenlu, MA Jinxing, YANG Yaqing, HAN Xiao, HONG Jianhan, ZHAN Haihua, YANG Shiqian, YAO Shaofang, LIU Jiangqiaona. Strain sensing property and respiration monitoring of polyaniline-coated warp-knitted fabrics [J]. Journal of Textile Research, 2022, 43(08): 113-118.
[2] NIE Wenqi, SUN Jiangdong, XU Shuai, ZHENG Xianhong, XU Zhenzhen. Research progress in supercapacitors based on flexible textile fibers [J]. Journal of Textile Research, 2022, 43(07): 200-206.
[3] GUO Zijiao, LI Yue, ZHANG Rui, LU Zan. Preparation and properties of polyaniline/Ti3C2Tx/carbon nanotube composite fiber-based electrodes [J]. Journal of Textile Research, 2022, 43(02): 74-80.
[4] LIU Suo, WU Dingsheng, LI Man, ZHAO Lingling, FENG Quan. Preparation of spunlaced viscose/polyaniline composite fiber membrane and its adsorption performance [J]. Journal of Textile Research, 2021, 42(08): 122-127.
[5] YE Chengwei, WANG Yi, XU Lan. Preparation and electrochemical properties of cobalt-based hierarchical porous composite carbon materials [J]. Journal of Textile Research, 2021, 42(08): 57-63.
[6] ZHOU Xinru, ZHOU Xiaoya, MA Yongjian, HU Chengye, ZHAO Xiaoman, HONG Jianhan, HAN Xiao. Preparation and pressure sensitivity of conductive polyaniline/polyurethane foam [J]. Journal of Textile Research, 2021, 42(04): 62-68.
[7] HU Chengye, MIAO Runwu, HAN Xiao, HONG Jianhan, GIL Ignacio. Effect of polyvinyl alcohol on durability of polyaniline conductive layer on poly(p-phenylene terephthamide) yarn surface [J]. Journal of Textile Research, 2020, 41(04): 91-97.
[8] WU Yingxin, HU Chengye, ZHOU Xiaoya, HAN Xiao, HONG Jianhan, GIL Ignacio. Strain sensing property of flexible wearable spandex/polyaniline/polyurethane composites [J]. Journal of Textile Research, 2020, 41(04): 21-25.
[9] ZOU Lihua, XU Zhenzhen, SUN Yanyan, WANG Tairan, QIU Yiping. Influence of graphene oxide/polyaniline functional film on electromagnetic shielding property of cotton fabrics [J]. Journal of Textile Research, 2019, 40(08): 109-116.
[10] MIAO Runwu, JIN Lihua, WEI Qiyu, HAN Xiao, HONG Jianhan. Preparation and electromagnetic shielding property of conductive poly(p-phenylene terephamide) of reinforced composite materials [J]. Journal of Textile Research, 2019, 40(02): 100-104.
[11] . Conductivity of polyaniline / chitosan / wool composite fabrics and molecular simulation for aniline adsorption [J]. Journal of Textile Research, 2018, 39(12): 95-100.
[12] . Physical properties and mass preparation and application of carbon nanotube fibers [J]. Journal of Textile Research, 2018, 39(12): 145-151.
[13] . Continuous preparation and properties of conductive polyester/polyaniline composite yarns [J]. JOURNAL OF TEXTILE RESEARCH, 2018, 39(02): 20-25.
[14] . Electrical and mechanical properties of conductive polytrimethylene terephthalate / polyaniline composite yarns [J]. JOURNAL OF TEXTILE RESEARCH, 2017, 38(02): 40-46.
[15] . Preparation and pH-responsive behavior of polyaniline/silk fabrics [J]. Journal of Textile Research, 2016, 37(4): 91-95.
Viewed
Full text


Abstract

Cited

  Shared   
  Discussed   
[1] . [J]. JOURNAL OF TEXTILE RESEARCH, 2003, 24(06): 33 -34 .
[2] . [J]. JOURNAL OF TEXTILE RESEARCH, 2003, 24(06): 35 -36 .
[3] . [J]. JOURNAL OF TEXTILE RESEARCH, 2003, 24(06): 107 .
[4] . [J]. JOURNAL OF TEXTILE RESEARCH, 2003, 24(06): 109 -620 .
[5] . [J]. JOURNAL OF TEXTILE RESEARCH, 2004, 25(01): 1 -9 .
[6] . [J]. JOURNAL OF TEXTILE RESEARCH, 2004, 25(02): 101 -102 .
[7] . [J]. JOURNAL OF TEXTILE RESEARCH, 2004, 25(02): 103 -104 .
[8] . [J]. JOURNAL OF TEXTILE RESEARCH, 2004, 25(02): 105 -107 .
[9] . [J]. JOURNAL OF TEXTILE RESEARCH, 2004, 25(02): 108 -110 .
[10] . [J]. JOURNAL OF TEXTILE RESEARCH, 2004, 25(02): 111 -113 .