Journal of Textile Research ›› 2023, Vol. 44 ›› Issue (05): 63-69.doi: 10.13475/j.fzxb.20211200501

• Fiber Materials • Previous Articles     Next Articles

Synthesis and fiber fabrication of fully biobased polytrimethylene furandicarboxylate

HE Shuang1, SUN Li'na1, HU Hongmei1, ZHU Ruishu1, YU Jianyong2, WANG Xueli2()   

  1. 1. College of Textiles, Donghua University, Shanghai 201620, China
    2. Innovation Center for Textile Science and Technology, Donghua University, Shanghai 201620, China
  • Received:2021-12-02 Revised:2022-05-24 Online:2023-05-15 Published:2023-06-09

Abstract:

Objective Polyester industry is an important industry relating to the national economy and the people's livelihood. Most polyesters are prepared from petroleum and other fossil resources as raw materials. The combustion process of polyester will produce a large amount of carbon dioxide and sulfur dioxide, which not only pollute the environment, but also lead to global warming, climate change and other serious problems. In order to further implement the sustainable development and the promote China's ″double carbon″ strategic goal, it is urgent to minimise the dependence on fossil energy. In 2004, the US Department of Energy released 12 platform compounds derived from biomass that can be converted into high value-added biobased materials. Among them, the chemical structure of 2,5-furanedicarboxylic acid (FDCA) is similar to petroleum based terephthalic acid (PTA), which can be used as an ideal biobased substitute for PTA. With the maturity of the synthesis and purification technology of FDCA, furan based polyester has attracted attention in various fields, becoming a key research direction of biobased high molecular materials. This research focus is on the study of furan based homopolymers and copolymers.

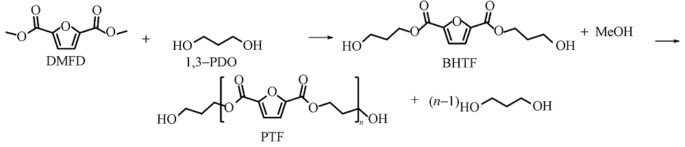
Method In this research, the use conditions of zinc acetate tetrabutyl titanate composite catalyst were optimized using 1,3-PDO and DMFD as raw materials. The full biological PTF with high molecular weight was synthesized by transesterification melt polycondensation. The chemical structure and thermal properties of the PTF were characterized by infrared spectroscopy, nuclear magnetic resonance hydrogen spectroscopy, differential scanning calorimetry and thermogravimetry, the biobased PTF fibers were prepared by two-step spinning process(UDY-DT), and the influences of different drafting ratios on the mechanical properties of the fibers were studied.

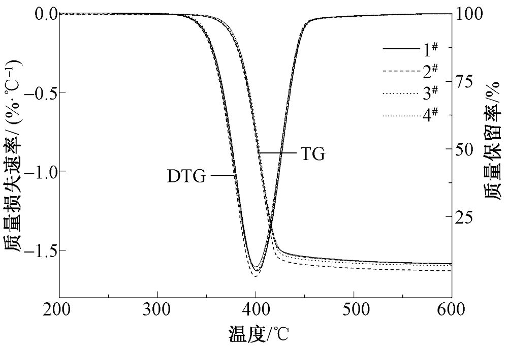
Results In the process of adjusting the reaction process, it was found that only zinc acetate was added in the esterification stage, and tetrabutyl titanate was added in the polycondensation stage. The alcohol ester ratio was increased to 2.6, which would synchronously reduce the transesterification reaction time (Tab. 1). The analysis of the chemical structure of the product showed that the target product PTF (Figs.3 and 4) was successfully synthesized, and the number average molecular weight of the prepared product reached 3.25 × 104 g/mol, the PDI was controlled below 3 (Tab. 4), and the chip color was light yellow. It is believed that the optimal use conditions of the combined catalyst were found. The glass transition temperature of the synthesized product was 60-62 ℃, the melting point was about 171 ℃, and the initial thermal decomposition temperature was higher than 370 ℃ (Tab.5). With the primary fiber drawn to 2.5 times, the elongation at break of PTF fiber was about 34.2%, and the breaking strength was 0.48 cN/dtex (Tab. 6).

Conclusion The whole biological PTF fiber was successfully prepared by UDY-DT two-step method. After 2.5 times of drafting, the elongation at break of the fiber was 34%, and the breaking strength was 0.48 cN/dtex. Owing to wide molecular weight distribution of PTF, relatively low breaking strength of prepared PEF fiber, and yellow color of polymer and fiber, further optimization and improvement of synthesis and spinning process are required in future research work.

Key words: fully biobased material, polytrimethylene furandicarboxylate, synthesis process, melt spinning, transesterification melt polycondensation, thermal performance

CLC Number: 

  • TQ323.4

Fig.1

Synthesis process of PTF"

Tab.1

PTF synthesis conditions"

样品
编号
醇酯比 酯交换阶段 缩聚阶段
催化剂 反应过程 催化剂 反应过程
1# 2.2 醋酸锌、
Ti(OBu)4
分别在125 ℃反应1 h,150 ℃反应2 h,160 ℃反应2 h,170 ℃反应0.5 h,175 ℃反应0.5 h 分别在220 ℃反应2.5 h,230 ℃反应3 h,235 ℃反应0.5 h
2# 2.2 醋酸锌 分别在125 ℃反应1 h,150 ℃反应2 h,160 ℃反应2 h,170 ℃反应2 h,175 ℃反应1 h Ti(OBu)4 分别在220 ℃反应2 h,230 ℃反应3 h,235 ℃反应0.5 h
3# 2.6 醋酸锌 分别在125 ℃反应1 h,150 ℃反应2 h,160 ℃反应1 h,170 ℃反应1 h,175 ℃反应0.5 h Ti(OBu)4 分别在220 ℃反应2 h,230 ℃反应2 h,235 ℃反应1.5 h
4# 2.6 醋酸锌 分别在125 ℃反应1 h,150 ℃反应2 h,160 ℃反应1 h,170 ℃反应2.5 h,175 ℃反应1 h Ti(OBu)4 分别在220 ℃反应2 h,230 ℃反应2 h,235 ℃反应3 h

Tab.2

UDY spinning process parameters"

纺丝组件 温度/℃ 纺丝组件 速度/(m·min-1)
螺杆区域 240 导盘1 600
260 导盘2 650
260 导盘4 670
计量泵/管道/箱体 260 卷绕机 650

Tab.3

Drawing process parameters"

牵伸倍数 牵伸部件 速度/(m·min-1) 温度/℃
1.5 GR1 333 50
GR2 500 100
导盘4 520
卷绕机 500
2.0 GR1 250 50
GR2 500 100
导盘4 520
卷绕机 500
2.5 GR1 200 50
GR2 500 100
导盘4 520
卷绕机 500

Fig.2

Schematic diagram of spinning and drawing processes"

Tab.4

Intrinsic viscosity, number-average molecular weight and polydispersity index of PTF"

样品
编号
特性黏数[η]/
(dL·g-1)
Mn/
(g·mol-1)
PDI值
1# 0.86 34 500 4.16
2# 0.62 29 500 2.72
3# 0.78 32 500 2.91
4# 0.88 35 700 2.99

Fig.3

FT-IR spectra of PTF and BHTF"

Fig.4

1H-NMR spectrum of PTF"

Fig.5

DSC first cooling (a) and second heating (b) curves of PTF"

Tab.5

DSC and TG Test data of PTF"

样品编号 Tg/℃ Tm/℃ T5%/℃ Tmax/℃ Tend/℃ 残炭量/%
1# 62 171 377 420 396 7.15
2# 60 377 419 396 4.54
3# 62 381 419 392 6.95
4# 61 378 421 396 6.55

Fig.6

TG and DTG curves of PTF"

Tab.6

Property data of PTF fiber"

牵伸
倍数
线密度/dtex 断裂伸
长率/%
断裂强度/
(cN·dtex-1)
初始模量/
(cN·dtex-1)
取向因子 色度值
L* a* b*
1.5 363.6 76.0 0.37 6.48 0.18 79.16 0.06 14.22
2.0 278.3 56.6 0.45 6.84 0.20
2.5 212.6 34.2 0.48 6.30 0.34
[1] 张珉. “双碳”战略的意义与机遇[J]. 企业观察家, 2021(6): 40-41.
ZHANG Min. The significance and opportunities of the ″Double Carbon″ strategy[J]. Enterprise Observer, 2021(6): 40-41.
[2] WERPY T, PETERSEN G. Volume I:results of screening for potential candidates from sugars and synthesis gas[R]. Colorado: National Renewable Energy Laboratory, 2004: 21-64.
[3] 周佳栋, 曹飞, 余作龙, 等. 生物基聚酯单体2,5-呋喃二甲酸的制备及应用研究进展[J]. 高分子学报, 2016(1): 1-13.
ZHOU Jiadong, CAO Fei, YU Zuolong, et al. Progress in the preparation and application of bio-based polyester monomer 2,5-furandicarboxylic acid[J]. Acta Polymerica Sinica, 2016(1): 1-13.
[4] 蓝丹. 2,5-呋喃二甲酸基聚酯的制备与性能研究[D]. 无锡: 江南大学, 2012:15-28.
LAN Dan. Synthesis and properties of polyester based on 2,5-furandicarboxylic acid[D]. Wuxi: Jiangnan University, 2012: 15-28.
[5] JIANG M, LIU Q, ZHANG Q, et al. A series of furan-aromatic polyesters synthesized via direct esterification method based on renewable resources[J]. Journal of Polymer Science Part A: Polymer Chemistry, 2012, 50(5): 1026-1036.
doi: 10.1002/pola.25859
[6] GOMES M, GANDINI A, SILVESTRE A, et al. Synthesis and characterization of poly(2,5-furan dicar-boxylate)s based on a variety of diols[J]. Journal of Polymer Science Part A: Polymer Chemistry, 2011, 49(17): 3759-3768.
doi: 10.1002/pola.24812
[7] GUIDOTTI G, GENOVESE L, SOCCIO M, et al. Block copolyesters containing 2,5-furan and trans-1,4-cyclo-hexane subunits with outstanding gas barrier proper-ties[J]. International Journal of Molecular Sciences, 2019. DOI:10.3390/ijms20092187.
doi: 10.3390/ijms20092187
[8] 赫爽. 生物基聚呋喃二甲酸二醇酯的合成及纤维的制备与表征[D]. 上海: 东华大学, 2022:34-62.
HE Shuang. Preparation and characterization of biobased poly(dihydric alcohol 2,5-furandicarboxylate) and fibers[D]. Shanghai: Donghua University, 2022: 34-62.
[9] 黄象安, 张文中. 用声脉冲法测定纤维取向度和模量的研究[J]. 合成纤维, 1981(2): 24-31.
HUANG Xiang'an, ZHANG Wenzhong. Study on determination of fiber orientation and modulus by acoustic pulse method[J]. Synthetic Fiber in China, 1981 (2): 24-31.
[10] 朱金权. 浅谈国产催化剂钛酸四丁酯对PBT树脂生产的影响[J]. 合成纤维工业, 2020, 43(2): 71-74.
ZHU Jinquan. Effect of domestic catalyst tetrabutyl titanate on PBT resin production[J]. China Synthetic Fiber Industry, 2020, 43(2): 71-74.
[11] KWIATKOWSKA M, KOWALCZYK I, KWIATKOWSKI K, et al. Fully biobased multiblock copolymers of furan-aromatic polyester and dimerized fatty acid: synthesis and characterization[J]. Polymer, 2016(99): 503-512.
[12] PAPAGEORIOU G Z, PAPAGEORIOU D G, TSANAKTSIS V, et al. Synthesis of the bio-based polyester poly(propylene 2,5-furan dicarboxylate)comparison of thermal behavior and solid state structure with its terephthalate and naphthalate homo-logues[J]. Polymer, 2015(62): 28-38.
[13] 吴佳萍. 生物基聚呋喃二甲酸乙二醇酯的合成及链结构和结晶性调控[D]. 杭州: 浙江大学, 2017:67-101.
WU Jiaping. Bio-based polyfurandi synthesis of ethy-lene glycol formate and regulation of chain structure and crystallinity[D]. Hangzhou: Zhejiang University, 2017: 67-101.
[1] CHEN Huanhuan, CHEN Kaikai, YANG Murong, XUE Haolong, GAO Weihong, XIAO Changfa. Preparation and properties of polylactic acid/thymol antibacterial fibers [J]. Journal of Textile Research, 2023, 44(02): 34-43.
[2] ZHU Yanlong, GU Yingshu, GU Xiaoxia, DONG Zhenfeng, WANG Bin, ZHANG Xiuqin. Preparation and properties of poly(lactic acid)/ZnO fiber with antibacterial and anti-ultraviolet functions [J]. Journal of Textile Research, 2022, 43(08): 40-47.
[3] LI Longlong, WEI Peng, WU Cuixia, YAN Jinfei, LOU Hejuan, ZHANG Yifeng, XIA Yumin, WANG Yanping, WANG Yimin. Synthesis and properties of bio-based liquid crystal copolyester fiber based on p-hydroxyphenyl propionic acid [J]. Journal of Textile Research, 2022, 43(01): 9-14.
[4] YU Jinchao, JI Hong, CHEN Kang, GAN Yu. Properties of polyether-ester/polybutylene terephthalate composite fibers prepared by side by side bicomponent melt spinning [J]. Journal of Textile Research, 2021, 42(04): 42-47.
[5] WANG Huiyun, WANG Ping, LI Yuanyuan, ZHANG Yan. Preparation of polyacrylonitrile hollow porous shaped fibers and its performance [J]. Journal of Textile Research, 2021, 42(03): 50-55.
[6] GUAN Fucheng, GUO Jing, LÜ Lihua, TAN Qian, SONG Jingxing, ZHANG Xin. Hydrogen bonding mechanism and properties of polyvinyl alcohol/krill protein fibers [J]. Journal of Textile Research, 2020, 41(10): 7-13.
[7] MO Dajie, LI Xuming, XU Zenghui. Preparation and properties of poly(3-hydroxybutyrate-co-3-hydroxyl valerate)/polylactic acid flame retardant fibersMO [J]. Journal of Textile Research, 2019, 40(05): 12-17.
[8] LI Xiaochuan, QU Qianqian, LI Xuming. Preparation and properties of polylactic acid/polypropylene blend fiber by melt spinning [J]. Journal of Textile Research, 2019, 40(03): 8-12.
[9] . Preparation and properties of high strength and high modulus polyoxymethylene fibers [J]. Journal of Textile Research, 2018, 39(10): 1-6.
[10] . Preparation and characterization of sheath-core energy storage and thermo-regulated composite fibers of polyamide 6 [J]. JOURNAL OF TEXTILE RESEARCH, 2018, 39(04): 1-8.
[11] . Influence of oligomer contents on melt spinning process of poly (lactic acid) [J]. JOURNAL OF TEXTILE RESEARCH, 2014, 35(8): 133-0.
[12] . Effects of electrospinning and melt spinning on surface structure of PET fibres [J]. JOURNAL OF TEXTILE RESEARCH, 2012, 33(9): 1-5.
[13] . Structure and properties of photo-biodegradable polyethylene fibre [J]. JOURNAL OF TEXTILE RESEARCH, 2012, 33(11): 1-5.
[14] WAN Qianhua;PAN Zhijuan;LIU Yan;CHEN Jun. Fabricating methods of functional fibers containing nanoparticles [J]. JOURNAL OF TEXTILE RESEARCH, 2009, 30(07): 135-141.
Viewed
Full text


Abstract

Cited

  Shared   
  Discussed   
No Suggested Reading articles found!