Journal of Textile Research ›› 2023, Vol. 44 ›› Issue (07): 1-9.doi: 10.13475/j.fzxb.20220101601

• Fiber Materials •     Next Articles

Synthesis and solid-state polymerization of flame retardant copolyester containing phosphorus side groups

SHANG Xiaoyu, ZHU Jian, WANG Ying, ZHANG Xianming(), CHEN Wenxing   

  1. National Engineering Laboratory for Textile Fiber Materials & Processing Technology, Zhejiang Sci-Tech University, Hangzhou, Zhejiang 310018, China
  • Received:2022-01-10 Revised:2022-05-27 Online:2023-07-15 Published:2023-08-10

Abstract:

Objective Poly(ethylene terephthalate) (PET), as the major polyester material, has excellent performance but is flammable, and hence it is important to improve the flame retardant properties of PET to satisfy the requirement for various applications. Introducing phosphorus-based flame retardants into PET molecular chains by copolymerization is one of the effective flame retardant modification methods at present. The flame retardant copolyester produced by melt polymerization has a intrinsic low viscosity of 0.6-0.7 dL/g, which cannot meet the flame retardant specifications of copolyester in fields such as engineering plastics, bottles, and industrial filament. This research represents an effort to increase the intrinsic viscosity of copolyester by polycondensation so as to expand the applications.

Method The side group phosphorus-containing flame retardant 9,10-dihydro-10-[2,3-di(hydroxycarbonyl)propyl] 10-phosphorus-phenanthrene-10-oxide (DDP) was copolymerized into PET molecular chain to obtain copolyester (PETD). Nuclear magnetic resonance hydrogen spectroscopy(1H NMR) and Fourier transform infrared spectrometer characterization methods were adopted to measure the success of copolyester synthesis. The intrinsic viscosity of copolyesters was determined by using viscosity test. The thermal stability, crystallinity, carbon formation capacity, flame retardant properties, actual phosphorus content and carboxyl end-group content of copolyesters were characterized by differential scanning calorimetry, thermogravimetric analysis, limiting oxygen index (LOI) test, inductively coupled plasma-optical emission spectrometer test and carboxyl end-group concentrations test. In order to investigate the intrinsic viscosity changes of flame retardant copolyester containing phosphorus side group after solid-state polycondensation reaction under different reaction conditions, different amount of side group phosphate-containing flame retardant were used for optimisation. Reaction rate constants and activation energy were calculated by analyzing the viscosity increasing effect and reaction kinetics.

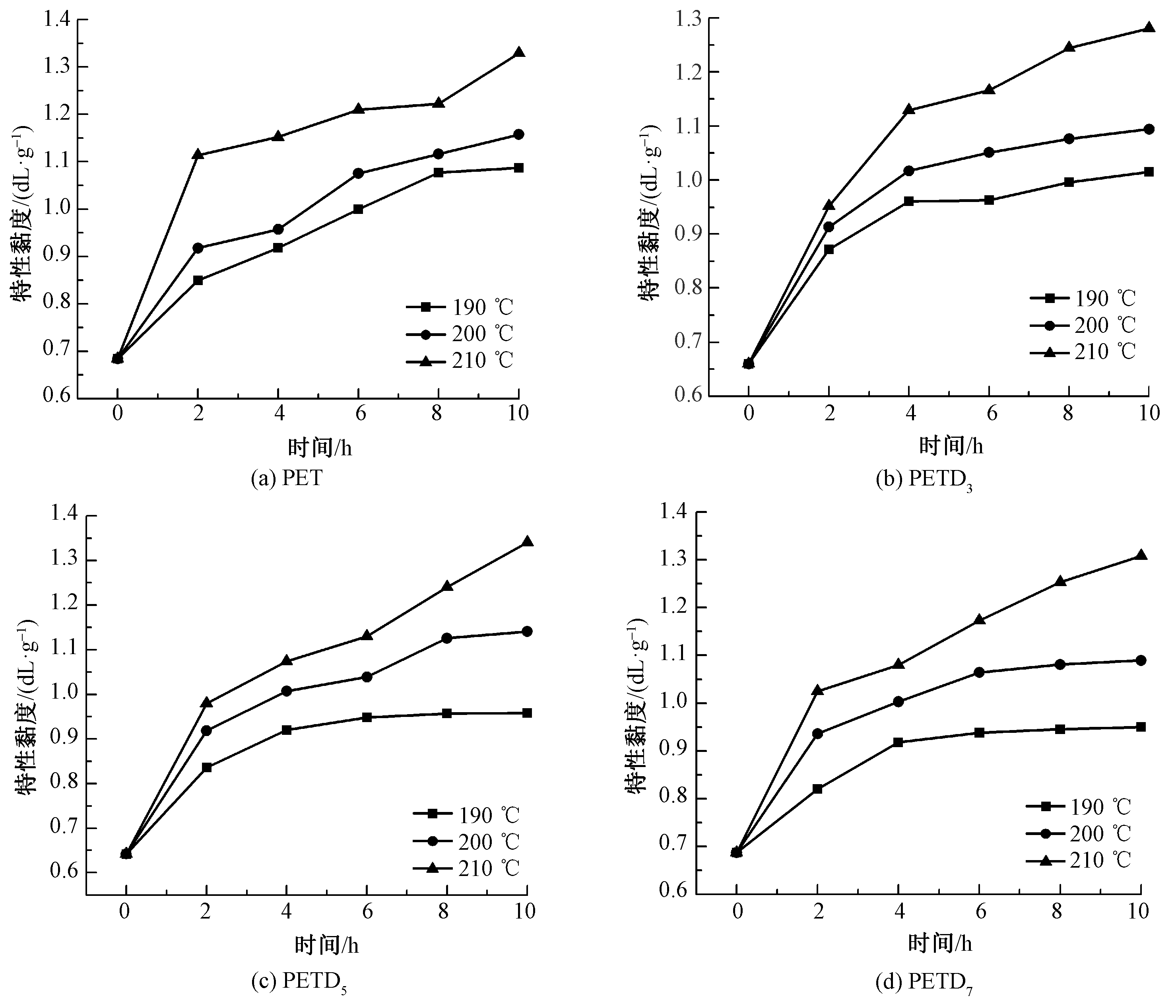
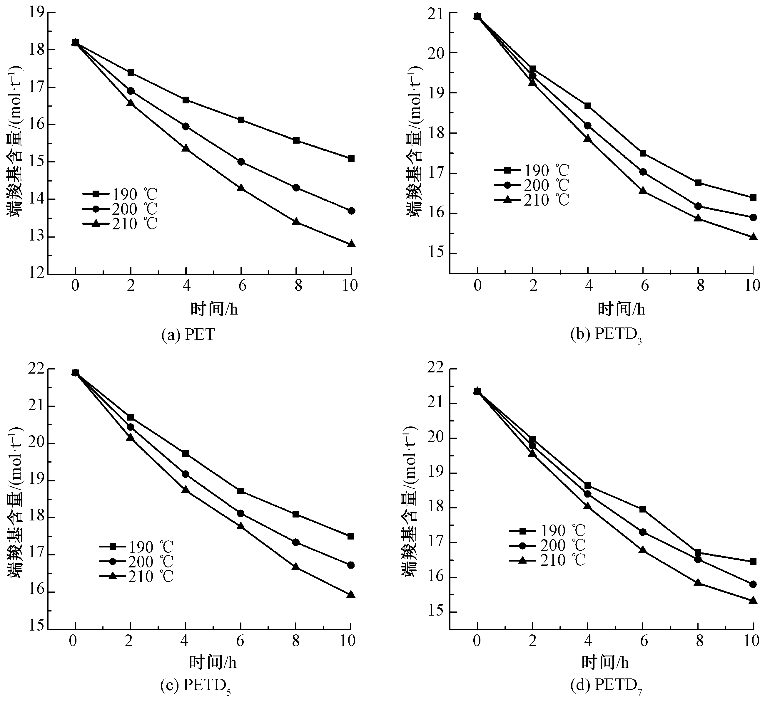
Results The flame retardant copolyester containing phosphorus side group was synthesized by copolymerization method. The reaction process of solid-state polycondensation (SSP) of flame retardant copolyester containing phosphorus side groups and the reaction kinetics were studied to establish understanding of mechanism governing the polycondensation technology of flame retardant copolyester. The results showed that the intrinsic viscosity of the prepared PET and copolyester reached 0.6-0.7 dL/g (Tab. 1), meeting the requirements of conventional polyesters. The increase of the DDP content of the flame retardant caused the carboxyl end-group concentrations to increase, the crystallization capacity to be worsened, and the carbon forming capacity and flame retardant property to increase. PETD5 deminstrated good thermal stability and mechanical properties, and showed 13.6% of carbonization capacity (Tab. 2 and Fig. 6), 15% of crystallinity, and 31.8% of LOI (Tab. 1), proving successful preparation of flame retardant copolyester containing phosphorus side group in preparation for subsequent polycondensation reactions. The research showed that all polyesters achieved the intrinsic viscosity of 1.0 dL/g or higher within 10 h of solid-state polycondensation reaction at 200 and 210 ℃ (Fig. 8), and that the intrinsic viscosity of all polyesters increased with the increase of temperature and reaction time. Correspondingly, the concentration of carboxyl end-group concentrations decreased gradually with the increase of reaction temperature and reaction time. Compared with conventional PET, the reaction rate constant of flame retardant copolyester PETD increased with increasing temperature and decreasing flame retardant amount, and the activation energy increased when increasing flame retardant amount.

Conclusion It is found that the solid-state polycondensation reaction conditions are mild even with prolonged reaction time, and the copolyester demonstrates satisfactory thermal stability. It is easy to adjust the reaction conditions according to different demands in production, and therefore the study of solid-state polycondensation and condensation and adhesion reaction of flame retardant copolyester containing phosphorus side groups is of certain value for its industrial development. There are still many concerns calling for further study on the adhesion reaction of flame retardant copolyesters, and many aspects can be further explored, such as the influence of different reaction factors (vacuum degree, reaction atmosphere, particle size, crystallinity) on the adhesion of flame retardant copolyester. The changes of flame retardant properties, thermal stability, crystallization capacity and mechanical properties of flame retardant copolyester after polycondensation need to be studied in depth. The flame retardant and mechanical properties of the tackified flame retardant copolyesters needs to be evaluated.

Key words: phosphorus-based flame retardant, copolymerization, flame retardant copolyester, solid-state polycondensation, reaction kinetics

CLC Number: 

  • TQ342.92

Fig. 1

Synthesis route of DDP"

Fig. 2

Synthesis route of copolyesters PETD"

Fig. 3

FT-IR spectra of PET and PETD"

Fig. 4

1H NMR spectra of PET and PETD5"

Tab. 1

Specifications of PET and PETD"

样品
名称
阻燃剂质量
分数/%
磷元素含量/% 特性黏度/
(dL·g-1)
玻璃化转变
温度/℃
熔点/
LOI值/% 端羧基含量/
(mol·t-1)
结晶度/%
理论 实际
PET 0 0.684 73.6 240.4 23.0 18.2 21
PETD3 3 0.268 0.172 0.660 74.4 236.8 28.6 20.9 18
PETD5 5 0.447 0.274 0.642 75.0 233.8 31.8 21.9 15
PETD7 7 0.626 0.440 0.687 74.2 226.1 31.6 21.4

Fig. 5

DSC curves of PET and PETD.(a) Secondary heating curves; (b) Secondary cooling curves"

Fig. 6

TG curves of PET and PETD"

Tab. 2

TG data of PET and PETD"

样品编号 初始分解温度/℃ 最高分解速率温度/℃ 残炭量/%
PET 396.2 449.5 11.1
PETD3 396.0 451.5 13.4
PETD5 393.6 450.0 13.6
PETD7 394.1 455.9 15.2

Fig. 7

Relationship between intrinsic viscosity and solid-state polycondensation time of PET and PETD at 210 ℃"

Fig. 8

Relationship between intrinsic viscosity and solid-state polycondensation time of PET and PETD at different temperatures"

Fig. 9

Contents of carboxyl end-groups of PET and PETD under different reaction conditions"

Fig. 10

(C0-C)/t vs C fitting plots for solid-state polycondensation of PET and PETD at different temperatures"

Tab. 3

Reaction rate constant and activation energy of PET and PETD"

样品
名称
反应速率常数k/(106 g·mol-1·h-1) 反应活化能Ea/
(kJ·mol-1)
190 ℃ 200 ℃ 210 ℃
PET 2.03×10-3 2.36×10-3 2.61×10-3 25.98
PETD3 1.78×10-3 2.03×10-3 2.32×10-3 27.02
PETD5 1.72×10-3 1.95×10-3 2.24×10-3 28.06
PETD7 1.58×10-3 1.86×10-3 2.10×10-3 30.13
[1] PENG Y, NIU M, QIN R H, et al. Study on flame retardancy and smoke suppression of PET by the synergy between Fe2O3 and new phosphorus-containing silicone flame retardant[J]. High Performance Polymers, 2020, 32(8): 871-882.
doi: 10.1177/0954008320914365
[2] YANG Y, NIU M, DAI J M, et al. Flame-retarded polyethylene terephthalate with carbon microspheres/magnesium hydroxide compound flame retardant[J]. Fire and Materials, 2018, 42(7): 794-804.
doi: 10.1002/fam.v42.7
[3] SONG Y, XUE B, WANG J, et al. Ammonium polyphosphate wrapped carbon microspheres: a novel flame retardant with smoke suppression for poly (ethylene terephthalate)[J]. Journal of Polymer Research, 2020, 27(1): 1-12.
doi: 10.1007/s10965-019-1979-y
[4] XIA J, SU Y M, LI W M. Post-polymerization functionalization to a novel phosphorus- and nitrogen-containing polyether coating for flame retardant treatment of PET fabric[J]. Journal of Applied Polymer Science, 2019. DOI: 10.1002/app.47299.
doi: 10.1002/app.47299
[5] ZHAO H B, WANG Y Z. Design and synthesis of PET-based copolyesters with flame-retardant and antidripping performance[J]. Macromolecular Rapid Communications, 2017. DOI:10.1002/marc.201700451.
doi: 10.1002/marc.201700451
[6] WEI P, YAN J F, LI L L, et al. Thermal degradation and pyrolysis behavior of wholly aromatic phosphorus-containing thermotropic liquid crystal copolyesters[J]. Journal of Analytical and Applied Pyrolysis, 2022. DOI: 10.1016/j.jaap.2022.105524.
doi: 10.1016/j.jaap.2022.105524
[7] 俞雨农, 蒲新明, 郑兵, 等. 磷系阻燃聚酯的制备及其性能[J]. 浙江理工大学学报(自然科学版), 2021, 45(2): 205-211.
YU Yunong, PU Xinming, ZHENG Bing, et al. Preparation and properties of phosphorus flame retardant polyester[J]. Journal of Zhejiang Sci-Tech Univer-sity(Natural Sciences Edition), 2021, 45(2): 205-211.
[8] WEI P, LOU H J, WANG W, et al. Synthesis and properties of wholly aromatic phosphorus-containing thermotropic liquid crystal copolyesters with excellent fibre formation ability[J]. Liquid Crystals, 2021, 48(4): 466-474.
doi: 10.1080/02678292.2020.1789768
[9] 黄意龙, 龚静华, 杨曙光, 等. 磷系阻燃共聚酯的结构与性能[J]. 功能高分子学报, 2012, 25(4): 410-416.
HUANG Yilong, GONG Jinghua, YANG Shuguang, et al. Structure and properties of phosphorus flame retardant copolyester[J]. Journal of Functional Polymers, 2012, 25(4): 410-416.
[10] ZHANG Y, NI Y P, HE M X, et al. Phosphorus-containing copolyesters: the effect of ionic group and its analogous phosphorus heterocycles on their flame-retardant and anti-dripping performances[J]. Polymer, 2015, 60: 50-61.
doi: 10.1016/j.polymer.2015.01.030
[11] CHEN H B, CHEN L, DONG X, et al. Block phosphorus-containing poly (trimethylene terephthalate) copolyester via solid-state polymerization: reaction kinetics and sequential distribution[J]. Polymer, 2012, 53(16): 3520-3528.
doi: 10.1016/j.polymer.2012.05.050
[12] LI L J, DUAN R T, ZHANG J B, et al. Phosphorus-containing poly (ethylene terephthalate): solid-state polymerization and its sequential distribution[J]. Industrial and Engineering Chemistry Research, 2013, 52(15):5326-5333.
doi: 10.1021/ie400224z
[13] 万苏影, 包建娜, 王滢, 等. 含磷阻燃共聚酯的熔融增黏反应及其动力学[J]. 纺织学报, 2021, 42(11): 9-15.
WAN Suying, BAO Jianna, WANG Ying, et al. Melt polycondensation and kinetics of phosphorus containing flame retardant copolyesters[J]. Journal of Textile Research, 2021, 42(11): 9-15.
[14] 万苏影. 磷系阻燃共聚酯的合成及增黏反应研究[D]. 杭州: 浙江理工大学, 2021: 1-53.
WAN Suying. Synthesis of phosphorus containing flame retardant copolyesters and study on its polymeriza-tion[D]. Hangzhou: Zhejiang Sci-Tech University, 2021: 1-53.
[15] DUH B. Reaction kinetics for solid-state polymerization of poly(ethylene terephthalate)[J]. Journal of Applied Polymer Science, 2001, 81(7): 1748-1761.
doi: 10.1002/(ISSN)1097-4628
[16] JI H, GAN Y, KUMI A K, et al. Kinetic study on the synergistic effect between molecular weight and phosphorus content of flame retardant copolyesters in solid-state polymerization[J]. Journal of Applied Polymer Science, 2020. DOI:10.1002/app.49120.
doi: 10.1002/app.49120
[1] YANG Hanbin, ZHANG Shengming, WU Yuhao, WANG Chaosheng, WANG Huaping, JI Peng, YANG Jianping, ZHANG Tijian. Preparation of polyamide 6-based elastic fibers and its structure and properties [J]. Journal of Textile Research, 2023, 44(03): 1-10.
[2] WAN Suying, BAO Jianna, WANG Ying, ZHANG Xianming, CHEN Shichang, YANG Zhichao, SHI Jiaoxue, CHEN Wenxing. Melt polycondensation and kinetics of phosphorus containing flame retardant copolyesters [J]. Journal of Textile Research, 2021, 42(11): 9-16.
[3] LIU Ke, CHEN Shuang, XIAO Ru. Preparation and properties of synergistic flame retardant copolyamide 6 fiber with phosphaphenanthrene group [J]. Journal of Textile Research, 2021, 42(07): 11-18.
[4] JIN Linlin, TIAN Junkai, LI Jiawei, QI Dongming, SHEN Xiaowei, WU Chuntao. Synthesis and properties of biodegradable polyglycolic acid oligomer modified polyester [J]. Journal of Textile Research, 2021, 42(01): 16-21.
[5] . Synthesis kinetics of polyester by organic titanium-silicon catalysts [J]. JOURNAL OF TEXTILE RESEARCH, 2018, 39(07): 1-7.
[6] . Sizing properties of feather keratin-graft-polyester/cotton warp yarns poly (acrylic acid-co-methyl arylate) for polyester/cotton warp yarns [J]. JOURNAL OF TEXTILE RESEARCH, 2017, 38(05): 75-79.
[7] . Solid-state graft copolymerization of polyacrylamide onto poly(vinyl alcohol) [J]. JOURNAL OF TEXTILE RESEARCH, 2016, 37(12): 65-70.
[8] . Graft copolymerization dinetics of silk and its grafting structure [J]. JOURNAL OF TEXTILE RESEARCH, 2014, 35(7): 8-0.
[9] . Preparation and characterization of novel Zn ions-containing flame-retardant ploy(ethylene terephthalate) [J]. JOURNAL OF TEXTILE RESEARCH, 2014, 35(1): 1-0.
[10] Yin LIU Xuehong Ren. Antibacterial finishing cotton by grafting of N-halamine monomers [J]. JOURNAL OF TEXTILE RESEARCH, 2013, 34(2): 129-135.
[11] . Synthesis and characterization of novel cellulose-based superabsorbent resin using waste flax yarns [J]. JOURNAL OF TEXTILE RESEARCH, 2013, 34(12): 22-0.
[12] ZHU Shi-Feng, SHI Mei-Wu. Current status and developing trend of research on anti-dripping of thermoplastic fibers [J]. JOURNAL OF TEXTILE RESEARCH, 2012, 33(6): 121-124.
[13] . Synthesis and characterization of hydrophobiclly-modified Poly(ethylene terephthalate) [J]. JOURNAL OF TEXTILE RESEARCH, 2011, 32(4): 12-17.
[14] ZHENG Yuying;WANG Canyao. Research on reaction kinetics of MC polyamide 6/Kevlar fiber composites [J]. JOURNAL OF TEXTILE RESEARCH, 2009, 30(01): 9-12.
[15] WEI Xuemei;ZHU Zhiguo;LIU Peipei;WANG Rui;ZHANG Dasheng. Studies on preparation of flame-retardant ploy(ethylene terephthalate) and its structures and properties [J]. JOURNAL OF TEXTILE RESEARCH, 2008, 29(8): 1-5.
Viewed
Full text


Abstract

Cited

  Shared   
  Discussed   
No Suggested Reading articles found!