Journal of Textile Research ›› 2023, Vol. 44 ›› Issue (07): 151-158.doi: 10.13475/j.fzxb.20220600201

• Dyeing and Finishing & Chemicals • Previous Articles     Next Articles

Preparation and properties of internal crosslinking self-matting waterborne polyurethane resin

SUN Guoqiang1,2, YANG Jianjun1,2(), WU Qingyun1,2, WU Mingyuan1,2, ZHANG Jian'an1,2, LIU Jiuyi1,2   

  1. 1. School of Chemistry & Chemical Engineering, Anhui University, Hefei, Anhui 230601, China
    2. Anhui High Performance Engineering Laboratory of Water-Based Polymer Materials, Hefei, Anhui 230601, China
  • Received:2022-06-02 Revised:2023-10-12 Online:2023-07-15 Published:2023-08-10

Abstract:

Objective The conventional matting resin is prepared by adding matting agent, however, this method has some shortcomings, such as easy sedimentation and insufficient stability when added in high dosoges, which is not conducive to storage and use. This research aims to prepare self-matting waterborne polyurethane without adding extra matting agent.

Method A series of internal crosslinking self-matting waterborne polyurethane emulsions and films were prepared from isophorone diisocyanate (IPDI) and polypropylene glycol (PPG) as monomers, 1,4-butane-diol (BDO) and 2,2-dimethylolbutyric acid (DMBA) as chain extenders, dipentaerythritol (DPE) as crosslinking agent, and hydrazine hydrate as post chain extender. The chemical structure of the film was characterized by Fourier transform infrared spectrometer. The surface morphology of the films was observed by scanning electron microscope. The thermodynamic properties of the films were tested. The Influences of DPE and hydrazine hydrate on the surface glossiness of the films were investigated. The influences of DPE dosage on the particle size, storage stability, mechanical properties, water resistance and thermal stability of the film were studied.

Results The glossiness of the films decreased with the increase of DPE dosage, indicating that the self-matting property of waterborne polyurethane could be improved by internal crosslinking modification. When the mass fraction of DPE was 1.75%, the glossiness of the film surface reached 4, which was consistent with the self-matting mechanism. In addition, the self-matting property of waterborne polyurethane resin was also affected by post chain extension. With the increase of the mole fraction of hydrazine hydrate, the 60° glossiness of the films surface decreased gradually, and when the mole fraction of hydrazine hydrate reaches 40%, the 60° glossiness of the film reached the minimum, indicating that the glossiness was also affected by the degree of post chain extension. The average particle size of the emulsion reached 1 192 nm, indicating that crosslinking modification can effectively increase the average particle size of the emulsion. The water absorption of the films was decreased from 65.2% to 7.1%, suggesting that the water resistance of the films was significantly improved. With the increase of DPE mass fraction, the break strength of the films was gradually increased while the elongation at break gradually was decreased, when the DPE mass fraction was set to 1.75%, the tensile strength reached 20.24 MPa, and the elongation at break was decreased to 420%. Compared with the pure waterborne polyurethane film, the break strength was increased by 122.2% while the elongation at break was decreased by 39.9%, indicating that the physical properties of the films were improved. The temperatures of 10% and 50% thermal weight loss were increased by 6.5 ℃ and 8.0 ℃, respectively, indicating that the same percentage of weight loss of the films require a higher temperature, and the thermal stability of the films was enhanced.

Conclusion The self-matting property of waterborne polyurethane resin can be effectively improved by internal crosslinking modification and post chain extension. In addition, the mechanical properties and water resistance of resin were significantly enhanced by crosslinking modification, but excessive crosslinking agent is not conducive to the stability of the emulsion. Finally, the decomposition temperature corresponding to the same percentage of weight loss of the films was increased, indicating the thermal stability of the films was improved.

Key words: internal crosslinking, waterborne polyurethane, self-matting, dipentaerythritol, post chain extension, hydrazine hydrate, finishing agent

CLC Number: 

  • TQ323.8

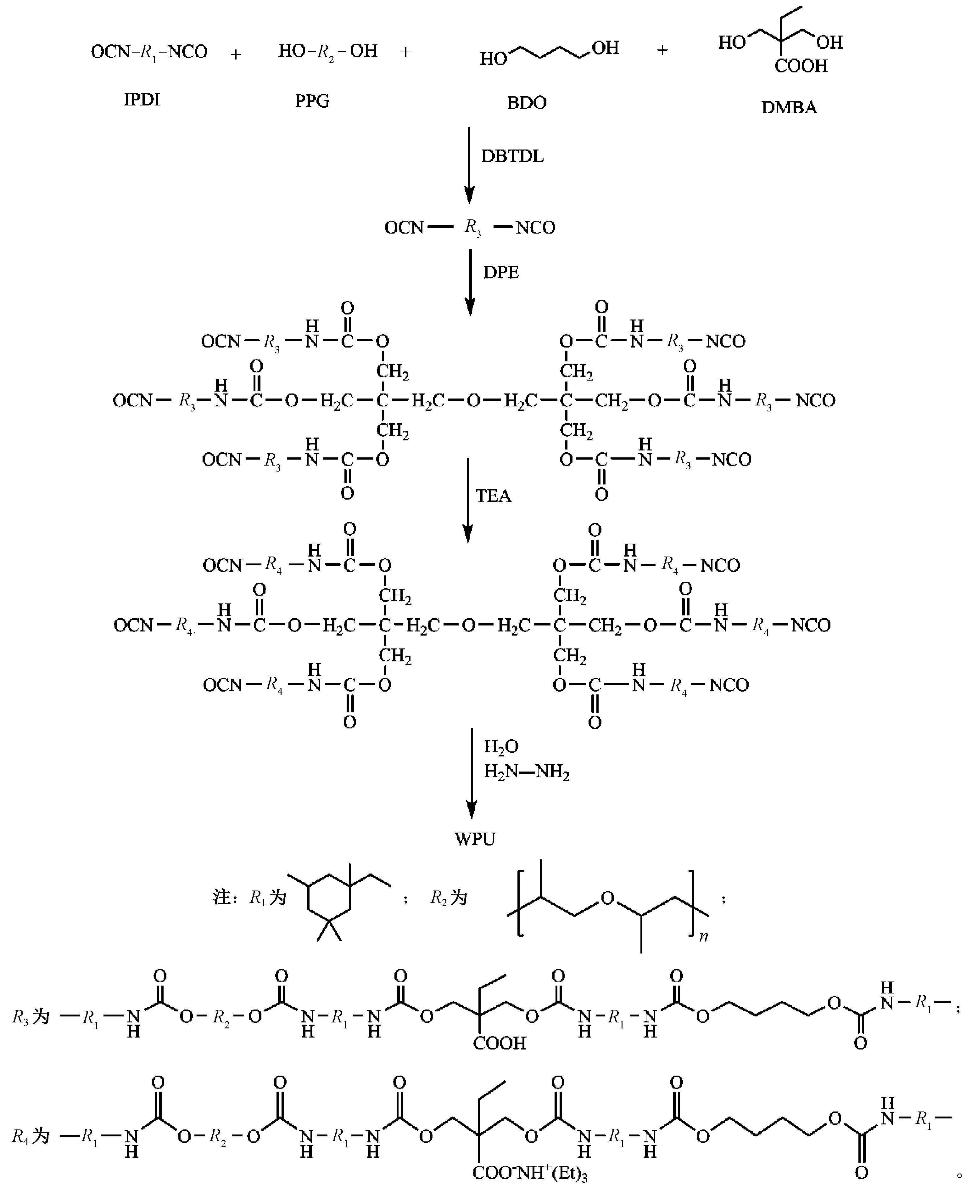
Fig. 1

Reaction diagram of internal crosslinking WPU"

Fig. 2

Infrared spectrum of WPUF-1"

Tab. 1

Appearance, centrifugal stability and average particle size of WPU emulsions"

样品
编号
DPE质量
分数/%
外观 稳定性 平均
粒径/nm
WPU-0 0 乳白色,微透明 无沉淀 535
WPU-1 1.00 乳白色,不透明 无沉淀 813
WPU-2 1.25 乳白色,不透明 无沉淀 959
WPU-3 1.50 乳白色,不透明 无沉淀 1 049
WPU-4 1.75 乳白色,不透明 微沉淀 1 192

Tab. 2

Influence of DPE mass fraction on water absorption and glossiness of films"

样品编号 DPE质量分数% 吸水率/% 60°光泽度
WPUF-0 0 65.2 19
WPUF-1 1.00 36.5 13
WPUF-2 1.25 18.9 9
WPUF-3 1.50 9.8 6
WPUF-4 1.75 7.1 4

Fig. 3

Influence of post chain extension on glossiness of films"

Fig. 4

Surface morphologies of films with different DPE mass fractions"

Fig. 5

Break strength and elongation at break of films with different DPE mass fractions"

Fig. 6

TGA curves of films with different DPE mass fractions"

Tab. 3

T5, T10 and T50 values of WPUF-0, WPUF-3 and WPUF-4℃"

样品编号 T5 T10 T50
WPUF-0 251.6 274.6 334.9
WPUF-3 256.2 279.6 339.4
WPUF-4 252.4 281.1 342.9
[1] YONG Q W, XU D, LIU Q, et al. Advances in polymer-based matte coatings: a review[J]. Polymers for Advanced Technologies, 2022, 33(1):5-19.
doi: 10.1002/pat.v33.1
[2] 丁子寒, 邱华. 纳米二氧化硅改性水性聚氨酯防水透湿涂层织物的制备及其性能[J]. 纺织学报, 2021, 42(3):130-135.
DING Zihan, QIU Hua. Preparation and performance of nano-silica modified water-based polyurethane waterproof and moisture-permeable coated fabrics[J]. Journal of Textile Research, 2021, 42(3): 130-135.
[3] 杜晓晗. 水性聚氨酯及其在纺织助剂中的应用[J]. 纺织报告, 2020, 39(11):13-14.
DU Xiaohan. Water polyurethane and its application in textile auxiliary[J]. Textile Reports, 2020, 39(11): 13-14.
[4] YANG Z Y, WU J B, MA G Z, et al. Effect of the particle sizes of silica on the properties of UV-curing matting coatings[J]. Journal of Coatings Technology and Research, 2020, 18(12): 1-10.
doi: 10.1007/s11998-020-00367-8
[5] XU Q N, JI T C, TIAN Q F, et al. Structural adjustment of in-situ surface-modified silica matting agent and its effect on coating performance[J]. Nano, 2018, 13(12): 1850137-1850145.
doi: 10.1142/S1793292018501370
[6] YONG Q W, PANG H, LIAO B, et al. Preparation and characterization of low gloss aqueous coating via forming self-roughed surface based on waterborne polyurethane acrylate hybrid emulsion[J]. Progress in Organic Coatings: An International Review Journal, 2018, 115(10):18-26.
[7] CHANG J J, WANG X Q, SHAO J, et al. Synthesis and characterization of environmentally-friendly self-matting waterborne polyurethane coatings[J]. Coatings, 2020, 10(5): 494-505.
doi: 10.3390/coatings10050494
[8] LIN Z X, SUN Z, XU C P, et al. A self-matting waterborne polyurethane coating with admirable abrasion-resistance[J]. RSC Advances, 2021, 11(44):27620-27626.
doi: 10.1039/d1ra03738b pmid: 35480640
[9] YONG Q W, NIAN F W, LIAO B, et al. Synthesis and surface analysis of self-matt coating based on waterborne polyurethane resin and study on the matt mechanism[J]. Polymer Bulletin, 2017, 74(4):1061-1076.
doi: 10.1007/s00289-016-1763-7
[10] 张涛, 杨帆, 张开瑞, 等. 羟基硅油改性水性聚氨酯涂料的制备及其印花性能[J]. 纺织学报, 2015, 36(11): 82-86.
ZHANG Tao, YANG Fan, ZHANG Kairui, et al. Synthesis and printing performance of waterborne polyurethane coating modified by hydroxyl silicone oil[J]. Journal of Textile Research, 2015, 36(11): 82-86.
[11] XU C S, OUYANG L, CAI Z S, et al. Effects of polyaminosiloxane on the structure and properties of modified waterborne polyurethane[J]. Journal of Applied Polymer Science, 2018, 136(12):47226-47233.
doi: 10.1002/app.v136.12
[12] 洪国沈, 吴明华, 方雨婷, 等. 端羟丙基含氟聚硅氧烷的合成及其改性水性聚氨酯性能[J]. 纺织学报, 2014, 35(12): 24-30.
HONG Guoshen, WU Minghua, FANG Yuting, et al. Synthesis of hydroxyl terminated fluorinated polysiloxane and properties of its modified waterborne polyure-thane[J]. Journal of Textile Research, 2014, 35(12): 24-30.
[13] 唐慧, 杨建军, 吴庆云, 等. 环氧树脂改性含硅自消光水性聚氨酯树脂的制备及性能[J]. 精细化工, 2020, 37(10): 2099-2104.
TANG Hui, YANG Jianjun, WU Qingyun, et al. Preparation and properties of self-matting waterborne polyurethane with silicon modified by epoxy resin[J]. Fine Chemicals, 2020, 37(10): 2099-2104.
[14] 董永兵, 王刚, 周艳明, 等. 水合肼对水性聚氨酯自消光树脂性能的影响[J]. 中国皮革, 2018, 47(9):16-20.
DONG Yongbing, WANG Gang, ZHOU Yanming, et al. Influence of hydrazine hydrate on waterborne polyurethane self-matting resin[J]. China Leather, 2018, 47(9): 16-20.
[15] 高晨. 内交联型改性水性聚氨酯乳液的制备及性能研究[D]. 西安: 陕西科技大学, 2019: 13-16.
GAO Chen. Preparation and properties of waterborne polyurethane emulsion modified by internal crosslin-king[D]. Xi'an: Shaanxi University of Science and Technology, 2019: 13-16.
[16] 丁琳, 杨建军, 吴庆云, 等. 内交联水性聚氨酯自消光树脂的制备及表征[J]. 精细化工, 2017, 34(12):1334-1339.
DING Lin, YANG Jianjun, WU Qingyun, et al. Synthesis and characterization of internal crosslinking waterborne polyurethane self-matting resin[J]. Fine Chemicals, 2017, 34(12): 1334-1339.
[17] LANDART M, LEMAIRE M, MÉTAY E. Synthesis of dipen taerythritol from pentaerythritol under acidic conditions[J]. Organic Process Research & Development, 2020, 24(11): 2591-2603.
[18] 沈小利. 高固含量水性聚氨酯的制备及其性能研究[D]. 杭州: 浙江工业大学, 2020:34-52.
SHEN Xiaoli. Preparetion and properties of high solid content waterborne polyurethane[D]. Hangzhou: Zhejiang University of Technology, 2020:34-52.
[19] 李颖, 张亚明, 张红明, 等. 基于双季戊四醇的6官能度水性聚氨酯树脂及制备方法和该水性聚氨酯树脂胶黏剂: 201611033171.X[P]. 2017-05-31.
LI Ying, ZHANG Yaming, ZHANG Hongming, et al. 6-functional waterborne polyurethane resin based on dipentaerythritol, preparation method and waterborne polyurethane resin adhesive: 201611033171.X[P]. 2017-05-31.
[20] LIU N, ZHAO Y H, KANG M Q, et al. The effects of the molecular weight and structure of polycarbonatediols on the properties of waterborne polyurethanes[J]. Progress in Organic Coatings, 2015, 82(8):46-56.
doi: 10.1016/j.porgcoat.2015.01.015
[1] PANG Mingke, WANG Shuhua, SHI Sheng, XUE Lizhong, GUO Hong, GAO Chengyong, LU Jianjun, ZHAO Xiaowan, WANG Zihan. Preparation and application of flame retardant waterborne polyurethane by alcoholysis of waste polyethylene terephthalate fiber [J]. Journal of Textile Research, 2023, 44(02): 214-221.
[2] MEI Min, QIAN Jianhua, ZHOU Yukai, YANG Jingjing. Preparation and application of nano-SiO2/fluorine-containing silicon waterproof and moisture-permeable finishing agent [J]. Journal of Textile Research, 2022, 43(12): 118-124.
[3] MA Yiping, FAN Wuhou, WU Jinchuan, PU Zongyao. Preparation and application of fully aqueous organic-inorganic hybrid fluorine-free water-repellant finishing agents [J]. Journal of Textile Research, 2022, 43(02): 183-188.
[4] ZHAI Lisha, WANG Zonglei, ZHOU Jingyi, GAO Chong, CHEN Fengxiang, XU Weilin. Research progress of antibacterial materials for textiles and their applications [J]. Journal of Textile Research, 2021, 42(09): 170-179.
[5] LIU Guojin, SHI Feng, CHEN Xinxiang, ZHANG Guoqing, ZHOU Lan. Preparation of polyurethane/phase change wax functional finishing agents for heat storage and temperature regulation and their applications on cotton fabrics [J]. Journal of Textile Research, 2020, 41(07): 129-134.
[6] SUI Zhihui, SAN Jinglong, WANG Xu, CHANG Jiang, WU Xuedong, ZU Bin. Synthesis and application of nano-ZnO/organic fluorosilicon modified polyacrylate emulsion [J]. Journal of Textile Research, 2020, 41(04): 84-90.
[7] GAO Simeng, WANG Hongbo, DU Jinmei, WANG Wencong. Synthesis of polybetaine antibacterial agent and its applications in cotton textiles finishing [J]. Journal of Textile Research, 2020, 41(02): 89-94.
[8] GAO Xue, LI Zheng, GONG Jixian, LI Qiujin, LI Fengyan, ZHANG Jianfei. Research progress on new bio-antibacterial agents for textiles [J]. Journal of Textile Research, 2020, 41(02): 187-192.
[9] XU Yan, JI Xiaoqian, CHEN Kunlin, WANG Chaoxia. Synthesis of self-colored waterborne polyurethane and its application in coating of cotton fabric [J]. Journal of Textile Research, 2019, 40(07): 85-89.
[10] . Synthesis and application of waterborne polyurethane anti-pilling agent modified by linear polyether-blocked amino silicone [J]. Journal of Textile Research, 2018, 39(09): 84-89.
[11] . Application of waterborne polyurethane-acrylate coated pigment [J]. Journal of Textile Research, 2018, 39(09): 71-76.
[12] . Preparation of waterborne polyurethane coating by mechanical foaming based on response surface methodology [J]. JOURNAL OF TEXTILE RESEARCH, 2018, 39(07): 95-099.
[13] . Synthesis and properties of crosslinked polyurethane acrylate modified with organic silicon [J]. JOURNAL OF TEXTILE RESEARCH, 2016, 37(01): 75-80.
[14] WANG Zhi-Jia, CHEN Ying. Effects of different additives on waterproof and moisture permeable coating [J]. JOURNAL OF TEXTILE RESEARCH, 2012, 33(6): 66-70.
[15] ZHAO Diandong;DENG Bingyao. Preparation of nonwovens loaded with nano-ZnO and its photocatalytic reactivity [J]. JOURNAL OF TEXTILE RESEARCH, 2010, 31(12): 23-27.
Viewed
Full text


Abstract

Cited

  Shared   
  Discussed   
No Suggested Reading articles found!