Journal of Textile Research ›› 2023, Vol. 44 ›› Issue (12): 1-9.doi: 10.13475/j.fzxb.20220705301

• Fiber Materials •     Next Articles

Fabrication and properties of metallocene polyethylene spunbond filament based on Polyflow simulation

LIU Ya1(), ZHAO Chen1, ZHUANG Xupin1, ZHAO Yixia1, CHENG Bowen2   

  1. 1. School of Textile Science and Engineering, Tiangong University, Tianjin 300387, China
    2. Tianjin University of Science & Technology, Tianjin 300457, China
  • Received:2022-12-15 Revised:2023-09-16 Online:2023-12-15 Published:2024-01-22

Abstract:

Objective Spunbond products are widely used in the fields of sanitary materials, packaging, and agriculture. Currently, spunbond products on the market are mainly made from polypropylene (PP) and polyester (PET). Although these materials have high strength, their softness is not good enough to meet the requirements of high softness applications. The metallocene polyethylene (mPE) is used to form membrane for its excellent softness. Because of its poor spinnability, mPE is rarely used in spunbond technology. As such, it is important to study the spinning properties of mPE to modify the performance of traditional spunbond products.
Method The thermal and rheological properties of mPE were analyzed first. According to data available, the flow velocity distribution and extrusion state of mPE melt were simulated by Polyflow numerical simulation method during the preparation of mPE spunbond filament. The velocity distribution and extrusion expansion trend of mPE melt were analyzed under different extrusion temperature. According to the simulation results, the parameters of spinning experiment were guided, and the spunbond filaments of mPE with different mechanical drafting multiples were achieved. In order to characterize the mechanical properties of mPE fiber, numbers of common fibers were used for comparison.
Results The thermos-gravimetric analysis result showed that the thermal decomposition temperature of mPE was 405 ℃ (Fig. 1 (a)), and the differential scanning calorimetry result showed the melting range of mPE was 93.9-130.1 ℃ (Fig. 1(b)). According to the thermal properties, the simulation temperature of rheological test was preliminarily set in the range of 220-280 ℃. The melt flow velocity of mPE increased with the increase of melting temperature (Fig. 5) but decreased rapidly after extruding from the spinneret orifice (Fig. 6) in the simulation experiments. The extrusion swell phenomenon of mPE was quite evident after melt extrusion, the lower the extrusion temperature was, the higher the die swell ratio was, and the maximum was 1.52 at the temperature of 230 ℃. The results of Polyflow simulation were used to guide and optimize the parameters of the spunbond process. Finally, the mPE spunbond filaments with different mechanical drafting multiples were successfully prepared at the spinning temperature of 240 ℃. The performance of series mPE filaments were characterized. The results showed that the diameter of mPE filament decreased with the increase of drafting multiple, and the minimum diameter of mPE filament was 64.2 μm with the drafting multiple of 6 times, the variation reached 61.5% compared with the drafting multiple of 1 time (Fig. 8). Because of the rapid cooling of the trickle flow, the amorphous part disentangled and carried out preferred orientation along with mechanical drafting, more molecular chains in the polymer participated in crystallization, the crystallinity of mPE filament increased with the increase of drawing multiple (Fig. 9). The maximum of the crystallinity was 50.1% with the drafting multiple of 6 times. As the trickle flow further oriented and crystallized with the increase of the drafting multiple, the breaking strength of mPE filament increased and the fracture elongation decreased with the increase of the drawing multiple (Fig. 10). Compared with the common fibers appeared on the market, the mPE filament drawn to 6 times exhibited the best mechanical performance, the breaking strength was 3.44 cN/dtex, and the fracture elongation was 85.69%.
Conclusion Polyflow simulation is used to simulate the flow velocity distribution and extrusion state of the mPE melt in the spunbond process. It proves that the Polyflow simulation results can be used to guide and optimize the process parameters for mPE spinning experiment. The performance test of mPE spunbond filament proves the reliability of the simulation method and the feasibility of mPE application in spunbond technology. The testing results also reveal that mPE filament has excellent mechanical properties, which can be used to form the bi-component spunbond with PP, PET and other raw materials, so as to modify the performance of traditional mono-component spunbond material with softer feeling, which can meet the requirements of high softness for certain applications.

Key words: metallocene polyethylene, rheological property, Polyflow simulation, spinning filament, spinnability

CLC Number: 

  • TS172

Fig. 1

Thermal property curves of mPE material. (a)TG curve; (b)DSC curve"

Fig. 2

Rheological curve of mPE raw material"

Fig. 3

Melt flow model"

Fig. 4

Melt flow channel grid (a) and boundary (b) division model"

Tab. 1

mPE melt simulation parameter setting"

温度/℃ 黏度η/(Pa·s) 入口流量Q/(m3·s-1)
230 256 7.348×10-12
250 142 1.356×10-11
270 125 1.533×10-11

Fig. 5

Simulation on flow rate of mPE melt at different temperatures"

Fig. 6

Axial (a) and radial (b) velocity change of mPE melt"

Tab. 2

Temperature of each area of screw extruder℃"

组别 冷区 1区 2区 3区 4区 5区 机头
A 60 170 190 210 215 220 220
B 60 170 190 210 220 230 230
C 60 180 200 220 230 235 240
D 60 180 220 240 245 250 250
E 60 180 220 240 250 260 260

Fig. 7

Diagram of spinning process"

Fig. 8

Ultra depth of field photo (a) and diameter change trend (b) of mPE filament"

Fig. 9

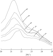
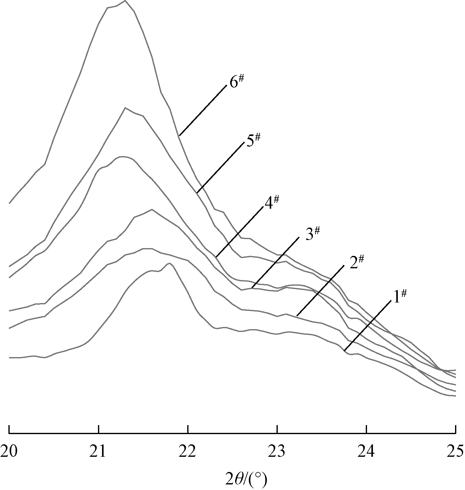
XRD patterns of mPE filament at different drafting ratios"

Fig. 10

Mechanical properties of mPE filament at different drafting ratios"

Tab. 3

Comparison of mechanical properties"

材料 断裂强度/(cN·dtex-1) 断裂伸长率/%
mPE 3.44 85.69
PE 2.20 31.34
PET 3.17 17.00
蚕丝 3.45 19.82
PP 3.33 58.22
壳聚糖 2.03 8.67
PPS 1.68 28.71
粘胶 1.77 16.07
PBT 2.22 76.03
PTT 2.80 67.32
PLA 3.30 26.79
[1] BONG Y Y, BEHNAM P. Aerosol filtration properties of PA6/PE islands-in-the-sea bicomponent spunbond web fibrillated by high-pressure water jets[J]. Journal of Materials Science, 2011, 46(17): 5761-5767.
[2] TOSHITAKA K, YOUHEI K, TOMOAKI T. Theoretical analysis of the spunbond process and its applications for polypropylenes[J]. Advances in Polymer Technology, 2018, 37(6): 2085-2094.
[3] 于金超, 姬洪, 陈康, 等. 聚醚酯/聚对苯二甲酸丁二醇酯并列复合纤维的制备及其性能[J]. 纺织学报, 2021, 42(4): 42-47.
YU Jinchao, JI Hong, CHEN Kang, et al. Preparation and properties of poly(ether ester)/poly(butylene terephthalate) composite fibers[J]. Journal of Textile Research, 2021, 42(4): 42-47.
[4] 宋倩倩, 黄格省, 周笑洋, 等. 茂金属聚乙烯市场现状与技术进展[J]. 石化技术与应用, 2021, 39(3): 153-158.
SONG Qianqian, HUANG Gesheng, ZHOU Xiaoyang, et al. Market status and technical progress of metallocene polyethylene[J]. Petrochemical Technology & Application, 2021, 39(3): 153-158.
[5] 中国石油和化学工业联合会化工新材料专委会. 中国化工新材料产业发展报告[M]. 北京: 中国石化出版社, 2018: 263-265.
Special Committee of New Chemical Materials of China Petroleum and Chemical Industry Federation. China chemical new materials industry development report(2018)[M]. Beijing: China Petrochemical Press, 2018: 263-265.
[6] ANTONOV A A, BRYLIAKOV K. Post-metallocene catalysts for the synthesis of ultrahigh molecular weight polyethylene: recent advances[J]. European Polymer Journal, 2021. DOI:10.1016/j.eurpolymj.2020.110162.
[7] STIEGER S, MITSOULIS E, WALLUCH M, et al. On the influence of viscoelastic modeling in fluid flow simulations of gum acrylonitrile butadiene rubber[J]. Polymers, 2021.DOI:10.3390/polym13142323.
[8] LV X, HAO X, OU R, et al. Rheological properties of wood-plastic composites by 3D numerical simulations: different components[J]. Forests, 2021, 12(4): 417-423.
[9] SHARMA S, GOSWAMI M, DEB A, et al. Structural deformation/instability of the co-extrudate rubber profiles due to die swell: experimental and CFD studies with 3D models[J]. Chemical Engineering Journal, 2021. DOI:10.1016/J.CEJ.2021.130504.
[10] EDELEVA M, TANG D, VAN W T, et al. Testing the PTT rheological model for extrusion of virgin and composite materials in view of enhanced conductivity and mechanical recycling potential[J]. Processes, 2021. DOI: 10.3390/pr9111969.
[11] 廖壑, 王建宁, 张东剑, 等. 并列复合纺丝孔道内流动组分的界面分布数值模拟[J]. 纺织学报, 2021, 42(1): 30-34.
LIAO He, WANG Jianning, ZHANG Dongjian, et al. Numerical simulation of interface distribution of flowing components in parallel composite spinning channels[J]. Journal of Textile Research, 2021, 42(1): 30-34.
[12] 杨崇倡, 王佳林, 冯培, 等. 环形微孔中钢针缩进量对中空纤维中空度和挤出胀大的影响[J]. 产业用纺织品, 2021, 39(6): 34-40, 57.
YANG Chongchang, WANG Jialin, FENG Pei, et al. Effect of needle shrinkage on hollowness and extrusion swell of hollow fiber in annular microhole[J]. Technical Textiles, 2021, 39(6): 34-40, 57.
[13] 陈康, 陈高峰, 王群, 等. 后加工中热处理张力变化对高模低收缩涤纶工业丝结构与性能影响[J]. 纺织学报, 2022, 43(10): 10-15,23.
CHEN Kang, CHEN Gaofeng, WANG Qun, et al. Effect of heat treatment tension change on structure and properties of high die and low shrinkage polyester industrial wire in post-processing[J]. Journal of Textile Research, 2022, 43(10): 10-15, 23.
[14] RHEE S, WHITE J L. Orientation and mechanical properties of extrusion cast PA12 films in biaxial stretching process[J]. International Polymer Processing, 2022, 16(4): 388-397.
[15] HE W, KONG C, CAI Y, et al. Thermal stability enhancement of oriented polyethylene by formation of epitaxial shish-kebab crystalline structure[J]. Polymer Degradation and Stability, 2022. DOI:10.1016/j.polymdegradstab.2021.109771.
[16] 金旺, 李建华. 喷丝头拉伸对聚甲醛纤维结构与性能的影响[J]. 合成纤维工业, 2017, 40(4): 15-18.
JIN Wang, LI Jianhua. Effect of spinneret stretching on structure and properties of polyformaldehyde fiber[J]. China Synthetic Fiber Industry, 2017, 40(4): 15-18.
[17] RAHMAN M M, NETRAVALI A N. Advanced Green composites using liquid crystalline cellulose fibers and waxy maize starch based resin[J]. Composites Science and Technology, 2018, 162: 110-116.
[18] LIU Q S, SUN Y Y, XIA S N, et al. Structure and mechanical property of polylactide fibers manufactured by air drawing[J]. Textile Research Journal, 2016, 86(9): 948-959.
[19] 陈国康, 林耀, 袁孟红. PE及其共聚物与PP的复合纺丝研究[J]. 合成纤维工业, 1996, 19(6): 6-10.
CHEN Guokang, LIN Yao, YUAN Menghong. Study on composite spinning of PE and its copolymer with PP[J]. China Synthetic Fiber Industry, 1996, 19(6): 6-10.
[20] 朱娅楠, 潘志娟, 汪吉艮. PLA长丝的基本结构与物理性能[J]. 现代丝绸科学与技术, 2015, 30(6): 201-203.
ZHU Yannan, PAN Zhijuan, WANG Jigen. Basic structure and physical properties of PLA filament[J]. Modern Silk Science and Technology, 2015, 30(6): 201-203.
[21] 邓安国, 高占岭, 郭薇薇. 聚丙烯超细FDY长丝的制备及性能研究[J]. 合成纤维工业, 2021, 44(6): 25-29.
DENG Anguo, GAO Zhanling, GUO Weiwei. Preparation and properties of polypropylene ultrafine FDY filament[J]. China Synthetic Fiber Industry, 2021, 44(6): 25-29.
[22] 孙晓婷. 壳聚糖连续长丝制备关键技术研究[D]. 青岛: 青岛大学, 2016: 47-48.
SUN Xiaoting. Study on key technology of chitosan continuous filament preparation[D]. Qingdao: Qingdao University, 2016:47-48.
[23] 盛向前, 张蕊萍, 牛梅. 耐热聚苯硫醚纤维性能的研究[J]. 产业用纺织品, 2011, 29(2): 23-26, 40.
SHENG Xiangqian, ZHANG Ruiping, NIU Mei. Research on properties of heat resistant polyphenylene sulfide fiber[J]. Technical Textiles, 2011, 29(2): 23-26, 40.
[24] 陈西安, 谢跃亭, 纪琼特. 石墨烯改性黏胶长丝的制备及性能研究[J]. 针织工业, 2020(10): 16-19.
CHEN Xi'an, XIE Yueting, JI Qiongte. Preparation and properties of graphene-modified viscose filament[J]. Knitting Industries, 2020(10): 16-19.
[25] 王保柱. 高速纺PBT-POY黑色长丝生产工艺探讨及成型不良原因分析[J]. 纺织报告, 2018, 11: 14-17.
WANG Baozhu. Study on production technology of high speed spinning PBT-POY black filament and analysis of forming defects[J]. Textile Reports, 2018, 11: 14-17.
[26] 顾栋华, 辛婷芬. PTT形状记忆长丝纤维的生产[J]. 纺织服装周刊, 2008(35): 32.
GU Donghua, XIN Tingfen. Production of PTT shape memory filament fiber[J]. Textile Apparel Weekly, 2008(35): 32.
[1] LIU Xingchen, QIAN Yongfang, LÜ Lihua, WANG Ying. Fabrication and properties of electrospun nanofibrous membranes from blending collagen peptides/polyethylene glycol [J]. Journal of Textile Research, 2023, 44(08): 34-40.
[2] YANG Xiaodong, YU Bin, SUN Hui, ZHU Feichao, LIU Peng. Preparation and filtration properties of polyethylene trifluoroethylene melt-blown nonwovens [J]. Journal of Textile Research, 2023, 44(02): 19-26.
[3] HU Baoji, ZHANG Qiaoling, WANG Xu. Polyethylene glycol modified thermoplastic epoxy resin and its spinnability [J]. Journal of Textile Research, 2023, 44(02): 63-68.
[4] REN Jiawei, ZHANG Shengming, JI Peng, WANG Chaosheng, WANG Huaping. Preparation and properties of phosphorus-silicon modified flame retardant and anti-dripping polyester fiber [J]. Journal of Textile Research, 2023, 44(02): 1-10.
[5] CHEN Yong, WU Jing, WANG Chaosheng, PAN Xiaohu, LI Naixiang, DAI Junming, WANG Huaping. Preparation and environmental degradation behavior of biodegradable poly (butylene adipate-co-terephthalate) fiber [J]. Journal of Textile Research, 2022, 43(02): 37-43.
[6] ZHANG Qianyu, QIN Zhigang, YAN Ruosi, JIA Lixia. Research progress on bulletproof properties of shear thickening fluid/high performance fiber composites [J]. Journal of Textile Research, 2021, 42(06): 180-188.
[7] YU Meiqiong, YUAN Hongmei, CHEN Lihui. Rheological properties of cellulose/LiCl/ N, N-dimethylacetamide solution [J]. Journal of Textile Research, 2021, 42(05): 23-30.
[8] WANG Ying, WANG Yiting, WU Jiaqing, GUO Yafei, HAO Xinmin. Preparation of compound antistatic spinning oil for bio-based polyamide 56 and its effect on staple fiber spinnability [J]. Journal of Textile Research, 2021, 42(01): 84-89.
[9] SONG Le, SHEN Lanping, HUANG Xianwen, HENG Fangfang, MA Hongbo, OUYANG Qin, CHEN Peng, WANG Xuan. Preparation and properties of lignin/polyacrylonitrile composite fibers [J]. Journal of Textile Research, 2020, 41(02): 7-12.
[10] PAN Weinan, XIANG Hengxue, ZHAI Gongxun, NI Mingda, SHEN Jiaguang, ZHU Meifang. Influence of relative molecular weight of copolyamide 6/66 on crystallization and rheological properties thereof [J]. Journal of Textile Research, 2019, 40(09): 8-14.
[11] WEI Haijiang, JIANG Li, ZHANG Shunhua. Preperation and properties of heat-resistant phase change wax/polypropylene blends [J]. Journal of Textile Research, 2019, 40(06): 8-13.
[12] ZHANG Anying, WANG Zhaoying, WANG Rui, DONG Zhenfeng, WEI Lifei, WANG Deyi. Preparation and structural properties of flame retardant poly(L-lactic acid) and fiber thereof [J]. Journal of Textile Research, 2019, 40(04): 7-14.
[13] . Preparation and properties of high strength and high modulus polyoxymethylene fibers [J]. Journal of Textile Research, 2018, 39(10): 1-6.
[14] . Preparation and performance of pentaerythritol phosphate/zine diethyl phosphate synergistic flame retardant polyamide 6 [J]. Journal of Textile Research, 2018, 39(09): 8-14.
[15] . Preparation and properties of novel modified polyester [J]. JOURNAL OF TEXTILE RESEARCH, 2018, 39(08): 22-26.
Viewed
Full text


Abstract

Cited

  Shared   
  Discussed   
No Suggested Reading articles found!