Journal of Textile Research ›› 2023, Vol. 44 ›› Issue (11): 120-131.doi: 10.13475/j.fzxb.20220907501

• Dyeing and Finishing & Chemicals • Previous Articles     Next Articles

Establishment and application of mass spectral database for natural dyes

SHOU Chenchao1, NARENGGAOWA 2, GAO Suyun1, LIU Jian1,3, ZHAO Feng1,3()   

  1. 1. College of Textile Science and Engineering(International Institute of Silk), Zhejiang Sci-Tech University, Hangzhou, Zhejiang 310018, China
    2. Museum of Bayinguoleng Mongol Autonomous Prefecture, Korla, Xinjiang 841001, China
    3. Key Research Base for Textile Conservation, State Administration for Culture Heritage, China National Silk Museum, Hangzhou, Zhejiang 310012, China
  • Received:2022-09-29 Revised:2023-04-06 Online:2023-11-15 Published:2023-12-25

Abstract:

Objective There are different types of natural dyes, including indoles, anthraquinones, naphthoquinones, flavonoids, alkaloids, curcumins, and so on. Facing a large number of textile culture relics, it is impossible to identify quickly the dye compounds only by manual identification using spectral or chromatographic analysis techniques. This research aims to establish a mass spectral database of natural dyes. Using the retrieval technology of the mass spectrum database, the components of natural dyes in textile cultural relics would be identified quickly, bringing efficiency and convenience for the identification of natural dyes in the future.

Method In this study, standard natural dye compounds were analyzed by high performance liquid chromatography-mass spectrometry (HPLC-MS), and mass spectrum data were collected. The natural dye mass spectral database was established using National Institute of Standards and Technology (NIST) spectral database software. The search parameters of the software were optimized to achieve the best search results. By comparing the relative peak strength and mass of the unknown mass spectrum with the standard mass spectrum in the database, the similarity between them was identified, and the search result was finally determined.

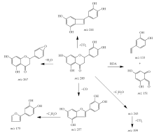
Results Samples of the natural dyes were analyzed by HPLC-MS to obtain their total ion chromatogram data (Tab. 1). The appropriate chromatographic peak was selected using Thermo Xcalibur Qual Browser software (Fig. 1), the MS/MS spectra of natural dye compounds were exported to NIST MS Search 2.3 software before entering the information of the compounds such as name, formula, molecular weight, synonyms, detection ion mode, retention time, and chemical structure into the self-built mass spectral database. The above operations were repeated until the mass spectral database was established. In order to identify the molecular structure of dye compounds, it is necessary to analyze the mechanism of MS/MS fragmentation. Fragmentation pathways of alizarin, quercetin and luteolin were analyzed, and the derivation of ion information of dye molecular fragments and molecular fragmentation pathway in secondary mass spectral provided an important reference for the identification of natural dye compounds. Using the self-built mass spectrum database, some natural dyes from two textile cultural relics were quickly and accurately identified and the plant origins of the dyes were inferred. In the dye identification of the tricolor sachet, the search result of the mass spectral database showed that the red silk thread contained alizarin and purpurin (Fig. 10), which could be inferred as madder dyeing. The yellow silk thread contained jatrorrhizine and berberine (Fig. 11), and it was inferred as barberry dyeing. In the dye identification of the silk with striped and floral design, the search results of the mass spectral database showed that the yellow silk thread contained luteolin and apigenin (Fig. 12), which was identified as weld dyeing. In addition, in the retrieval process of cultural relics, the match and reverse match scores were both greater than 800, and the matching probability was more than 95%, which was a high score and could substantially confirm the existence of substances.

Conclusion The establishment of natural dye mass spectral database can not only shorten the time of dye molecular structure analysis, facilitate fast and accurate identification of dyes in textile cultural relics, but can also reduce the dependence on standard products in dye analysis and reduce the operating cost of the laboratory. This study proved the feasibility and potential of the application of the mass spectral database retrieval technology to the identification of natural dyes and provided a new idea for the follow-up research of natural dyes.

Key words: mass spectrometry search, natural dye, high performance liquid chromatography-mass spectrometry, National Institute of Standards and Technology mass spectrometry database, multi-stage mass spectrometry

CLC Number: 

  • TS193.1

Tab. 1

Natural dye compound standards (part)"

类别 代表成分(规格)
蒽醌类 大黄素(≥98%),茜素(≥95%),茜紫素(≥95%),胭脂红酸(≥90%),虫胶酸(≥90%)
生物碱类 盐酸巴马汀(≥98%),盐酸药根碱(≥98%),盐酸小檗碱(≥98%)
黄酮类 芦丁(≥98%),槲皮素(≥98%),山奈酚(≥98%),漆黄素(≥98%),芹菜素(≥98%),杨梅素(≥98%),木犀草素(≥98%),香叶木素(≥90%),金圣草素(≥90%),桑色素(≥90%),鼠李素(≥90%),荭草素(≥97%),牡荆黄素(≥90%)
吲哚类 靛玉红(≥95%),靛蓝(>95%),靛红(≥90%)
酚类 苏木精(≥90%),儿茶素(≥98%),没食子酸(≥98%),原儿茶酸(≥99%),姜黄素(≥90%)
查尔酮类 紫铆因(≥90%),硫黄菊素(≥90%),红花黄色素(≥90%)

Tab. 2

Reference data of natural dyes mass spectral database"

序号 化合物名称 保留
时间/min
分子式 准分子离子
m/z及检测模式
二级碎片
离子m/z
三级碎片
离子m/z
1 胭脂红酸(Carmine) 6.78 C22H20O13 491([M-H]-) 447,357,448
2 大黄素(Emodin) 15.66 C15H10O5 269([M-H]-) 225,241,269
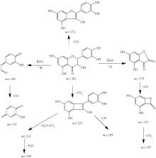
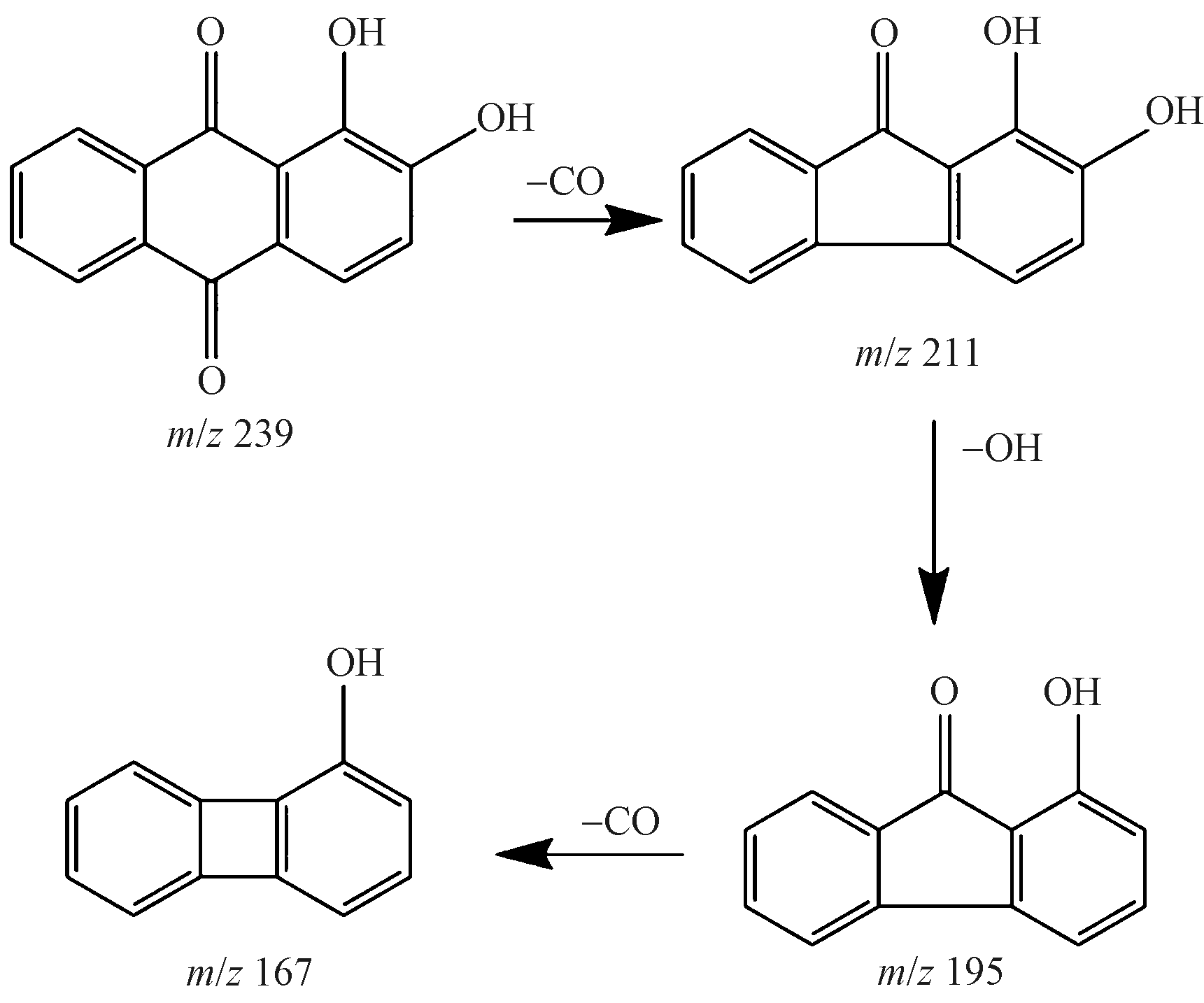
3 茜素(Alizarin) 13.30 C14H8O4 239([M-H]-) 211,239,167
4 茜紫素(Purpurin) 14.64 C14H8O5 254([M-H]-) 227,228,183
5 虫胶红酸A(Laccaic acid A) 9.09 C26H19NO12 536([M-H]-) 492 448,430,474
6 虫胶红酸B(Laccaic acid B) 9.09 C24H16O12 495([M-H]-) 451 407,389,433
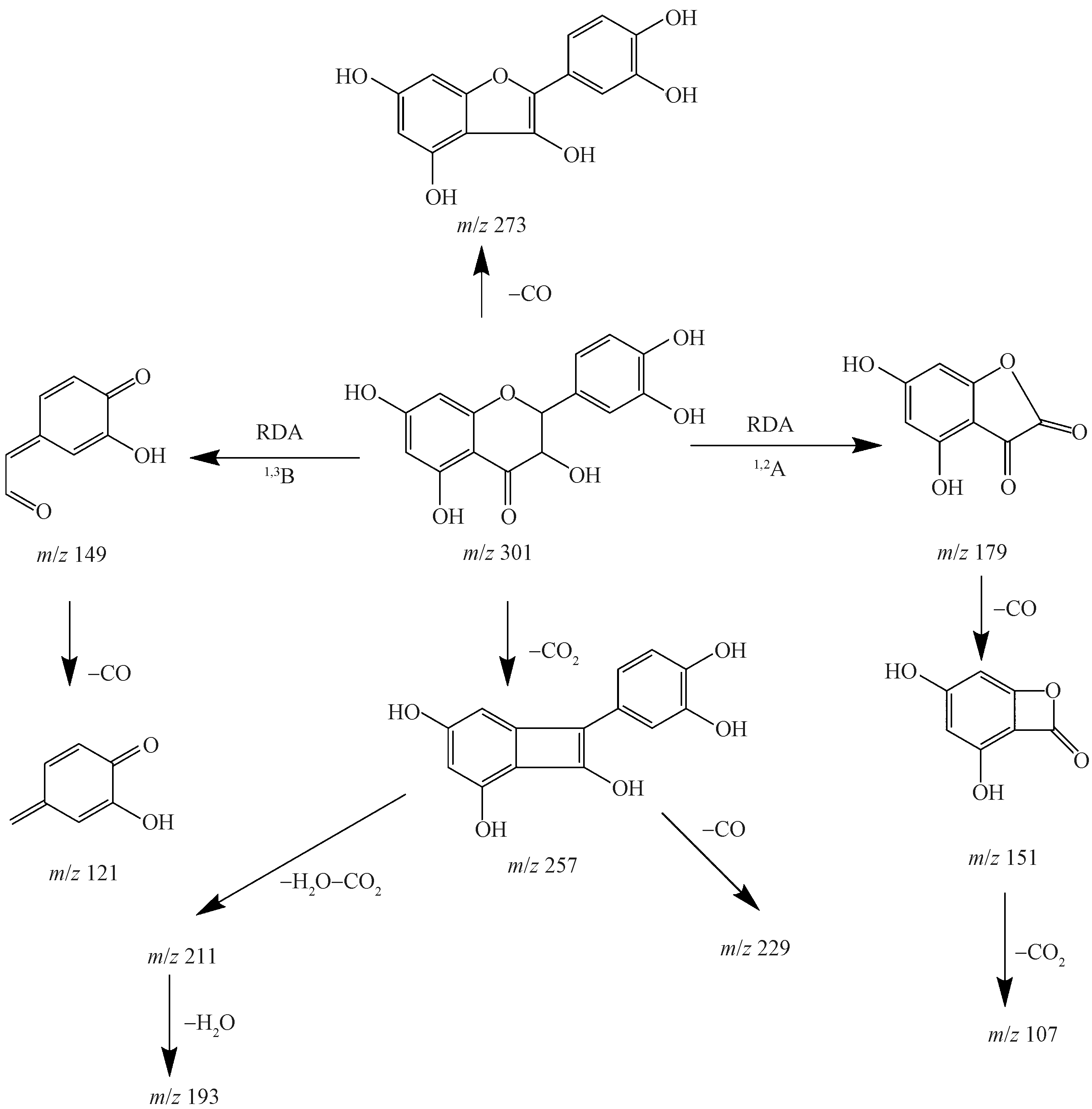
7 虫胶红酸C(Laccaic acid C) 9.09 C25H17NO13 538([M-H]-) 494 450,449,448
8 虫胶红酸D(Laccaic acid D) 11.02 C16H10O7 313([M-H]-) 269 225,241,201
9 虫胶红酸E(Laccaic acid E) 9.09 C24H17NO11 494([M-H]-) 450 406,405,389
10 对羟基苯甲酸 (4-Hydroxybenzoic acid) 4.69 C7H6O3 137([M-H]-) 93,109
11 苏木精(Hematoxylin) 7.08 C16H14O6 303([M-H]-) 259,229,257
12 儿茶素(Catechin) 4.39 C15H14O6 289([M-H]-) 245,205,179
13 鞣花酸(Ellagic acid) 7.76 C14H6O8 301([M-H]-) 257,229,185
14 2,4-二羟基苯甲酸(2,4-Dihydroxybenzoic acid) 3.19 C7H6O4 153([M-H]-) 109
15 原儿茶酸(Protocatechuic acid) 6.09 C7H6O4 153([M-H]-) 109 65,67
16 儿茶酚(Catechol ) 5.20 C6H6O2 109([M-H]-) 63,99
17 没食子酸(Gallic acid) 8.01 C7H6O5 169([M-H]-) 81,97,69
18 芦丁(Rutin) 8.24 C27H30O16 609([M-H]-) 301,300,343
19 莰菲醇-3-O-芸香糖苷(Kaempferol-3-O-rutinoside) 7.95 C27H30O15 593([M-H]-) 285 257,267,229
20 莰菲醇-7-O-葡萄糖苷(Kaempferol 7-O-glucopyranoside) 9.11 C21H20O11 447([M-H]-) 285 257,267,229
21 牡荆素鼠李糖苷(Vitexin-2-O-rhamnoside) 7.86 C27H30O14 577([M-H]-) 413,293,457
22 异鼠李素-3-O-葡萄糖苷(Isorhamnetin 3-O-glucoside) 8.89 C22H22O12 477([M-H]-) 314,315,357
23 杨梅酮 4'-甲醚-3-O-鼠李糖苷(Mearnsitrin) 8.31 C22H22O12 477([M-H]-) 331,315,330
24 槲皮素3-O-葡萄糖酸苷(Quercetin 3-O-glucuronide) 7.70 C21H18O12 477([M-H]-) 301 179,151,273
25 异懈皮苷(Isoquercetin) 7.92 C21H20O12 463([M-H]-) 301,300,343 179,151,273
26 槲皮素-7-O-葡萄糖苷(Quercimeritrin) 7.67 C21H20O12 463([M-H]-) 301 151,179,255
27 木犀草素-3-O-葡萄糖醛酸苷(Luteolin-3-O-glucuronide) 9.03 C21H18O12 461([M-H]-) 285 241,175,199
28 木犀草素-7-O-葡萄糖醛酸苷(Luteolin 7-O-glucosiduronic acid) 7.89 C21H18O12 461([M-H]-) 285 241,175,199
29 木犀草苷(Cynaroside) 7.74 C21H20O11 447([M-H]-) 285 241,175,199
30 木犀草素-5-O-葡萄糖苷(Luteollin 5-O-glucoside) 7.35 C21H20O11 447([M-H]-) 285,327 241,175,199
31 槲皮素-7-O-鼠李糖苷(Vincetoxicoside B) 9.36 C21H20O11 447([M-H]-) 301 179,151,273
32 荭草素(Orientin) 7.16 C21H20O11 447([M-H]-) 327,357,369
33 槲皮苷(Quercitrin) 8.52 C21H20O11 447([M-H]-) 301 179,151,273
34 芹菜素-7-O-葡萄糖醛酸苷(Apigenin 7-O-glucuronide) 8.58 C21H18O11 445([M-H]-) 269,175 225,149,201
35 异牡荆黄素(Isovitexin) 7.47 C21H20O10 431([M-H]-) 311,341,413
36 牡荆素(Vitexin) 7.43 C21H20O10 431([M-H]-) 311,341 283
37 3-甲基鼠李素(Rhamnazin) 14.41 C17H14O7 329([M-H]-) 316,299,317
38 杨梅黄酮(Myricetin) 9.01 C15H10O8 478([M-H]-) 179,151,192
39 鼠李素(Rhamnetin) 12.89 C16H12O7 315([M-H]-) 165,193,300
40 异鼠李素(Isorhamnetin) 11.76 C16H12O7 315([M-H]-) 300,301
41 槲皮素(Quercetin) 10.81 C15H10O7 301([M-H]-) 179,151,273
42 桑色素(Morin) 10.07 C15H10O7 301([M-H]-) 151,229,125
43 香叶木素(Diosmetin) 11.62 C16H12O6 299([M-H]-) 284,285 256,284
44 金圣草(黄)素(Chrysoeriol) 11.77 C16H12O6 299([M-H]-) 284 256,284
45 木犀草素(Luteolin) 10.46 C15H10O6 285([M-H]-) 241,175,199
46 漆黄素(Fisetin) 9.58 C15H10O6 285([M-H]-) 163,135,257
47 莰菲醇(Kaempferol) 11.94 C15H10O6 285([M-H]-) 285,229,151
48 芹菜素(Apigenin) 11.33 C15H10O5 269([M-H]-) 225,201,181
49 金雀异黄酮(Genistein) 11.61 C15H10O5 269([M-H]-) 225,269,201
50 槲皮素(二水)(Quercetin dihydrate) 10.90 C15H14O9 337([M-H]-) 179,151,273
51 异荭草素(Isoorientin) 6.65 C21H20O11 447([M-H]-) 327,357,429
52 巴马汀(Palmatine) 8.77 C21H22NO4 353([M+H]+) 327,336,308
53 药根碱(Jatrorrhizine) 8.36 C20H20NO4 339([M+H]+) 323,322,294
54 小檗碱 (Berberine) 8.81 C20H18NO4 337([M+H]+) 321,320,308
55 靛玉红(Indirubin) 12.97 C16H10N2O2 263([M+H]+) 219,235,263
56 靛蓝(Indigo) 12.33 C16H10N2O2 263([M+H]+) 219,235,263
57 靛红(Isatin) 7.15 C8H5NO2 148([M+H]+) 130,120,92
58 紫草素 (Shikonin) 15.80 C16H16O5 287([M-H]-) 218,267,190
59 2-羟基-1,4-二萘醌(Lawsone) 9.80 C10H6O3 173([M-H]-) 145,155,173
60 红花红色素(Carthamin) 12.66 C43H42O22 909([M-H]-) 501,287,407
61 紫铆因(Butein) 8.91 C15H12O5 271([M-H]-) 135,253,153
62 硫黄菊素(Sulfuretin) 10.06 C15H10O5 269([M-H]-) 225,227,133
63 胭脂酮酸(Kermesic acid) 11.21 C16H10O8 329([M-H]-) 285 257,241,213
64 二脱甲氧基姜黄素
(Bisdemethoxycurcumin)
14.23 C19H16O4 309([M+H]+) 225,147,189
65 去甲氧基姜黄素
(Demethoxycurcumin)
14.49 C20H18O5 339([M+H]+) 255,245,175
66 胡桃醌(Juglone) 10.83 C10H6O3 173([M-H]-) 144,163,119
67 姜黄素(Curcumin) 14.64 C21H20O6 369([M+H]+) 217,173,347
68 氧化巴西红木素(Brazilein) 7.95 C16H12O5 283([M-H]-) 265,240,173

Fig. 1

Mass spectral acquiring process of standard dye"

Fig. 2

Storage structure of mass spectrometry database"

Fig. 3

Fragmentation pathways of alizarin"

Fig. 4

Secondary mass spectrum of alizarin"

Fig. 5

Fragmentation pathways of quercetin"

Fig. 6

Secondary mass spectrum of quercetin"

Fig. 7

Fragmentation pathways of luteolin"

Fig. 8

Secondary mass spectrum of luteolin"

Fig. 9

Fragmentation pathways (a) and secondary mass spectrum (b) of berberine"

Fig. 10

Identification results of red silk cultural relics in Bazhou red-yellow-blue sachet. (a) Sample photo of red silk thread; (b) HPLC spectrum of dye extracted from red silk; (c) Comparison of secondary mass spectrum of compound 1 with mass spectrum of jatrorrhizine in database; (d) Comparison of secondary mass spectrum of compound 2 with mass spectrum of berberine in database"

Fig. 11

Identification results of yellow silk cultural relics in Bazhou red-yellow-blue sachet. (a) Sample photo of yellow silk thread;(b) HPLC specfrum of dye extracted from yellow silk;(c) Comparison of secondary mass spectrum of compound 1 with mass spectrum of jatrorrhizine in database;(d) Comparison of secondary mass spectrum of compound 2 with mass spectrum of berberine in database"

Fig. 12

Identification results of yellow silk cultural relics in color stripe flower pattern jacquard satin. (a) Sample photo of color stripe flower pattern jacquard satin;(b) HPLC spectrum of dye extracted from yellow silk;(c) Comparison of secondary mass spectrum of compound 1 with mass spectrum of luteolin in database;(d) Comparison of secondary mass spectrum of compound 2 with mass spectrum of apigenin in database"

[1] 王祥荣. 天然染料的应用现状及研究进展[J]. 纺织导报, 2021(9):24-29.
WANG Xiangrong. Application status and research progress of natural dyes[J]. China Textile Leader, 2021(9): 24-29.
[2] WOUTERS J. High performance liquid chromatography of anthraquinones: analysis of plant and insect extracts and dyed textiles[J]. Studies in Conservation, 1985, 30(3): 119-128.
[3] 刘剑, 陈克, 周旸, 等. 微型光纤光谱技术在植物染料鉴别与光照色牢度评估中的应用[J]. 纺织学报, 2014, 35(6):85-88.
LIU Jian, CHEN Ke, ZHOU Yang, et al. Identification and light-fastness evaluation of vegetable dyes using miniature spectrometer with fiber optics[J]. Journal of Textile Research, 2014, 35(6):85-88.
[4] NAKAMURA R, TANAKA Y, OGATA A, et al. Dye analysis of shosoin textiles using excitation-emission matrix fluorescence and ultraviolet-visible reflectance spectroscopic techniques[J]. Analytical Chemistry, 2009, 81(14): 5691-5698.
doi: 10.1021/ac900428a pmid: 19507884
[5] 范鲁丹, 郭丹华, 刘剑, 等. 高效液相色谱-质谱联用技术鉴别清代小龙袍染料[J]. 丝绸, 2019, 56(2):50-55.
FAN Ludan, GUO Danhua, LIU Jian, et al. Identification of dyes of small dragon robe in the Qing dynasty with high performance liquid chromatography-mass spectrometry[J]. Journal of Silk, 2019, 56(2):50-55.
[6] 陈磊, 裴克梅, 康晓静, 等. 表面增强拉曼光谱对纺织品文物中茜素和茜紫素的快速检测[J]. 纺织学报, 2019, 40(3):76-82.
CHEN Lei, PEI Kemei, KANG Xiaojing, et al. Rapidly detection of alizarin and purpurin in textile relics by surface-enhanced Raman spectroscopy[J]. Journal of Textile Research, 2019, 40(3):76-82.
[7] 骆瑜, 刘志斌. 基于NIST数据库的农药残留裂解谱库的建立及应用[J]. 食品安全导刊, 2019(21):161-162,164.
LUO Yu, LIU Zhibin. Establishment and application of pesticide residue mass spectrum database based on NIST database[J]. China Food Safety Magazine, 2019(21):161-162,164.
[8] 田宏哲, 周艳明, 刘文娥. 农产品中50余种农药LC-MS/MS质谱数据库的建立及应用[J]. 食品科学, 2010, 31(4):218-222.
doi: 10.7506/spkx1002-6300-201004050
TIAN Hongzhe, ZHOU Yanming, LIU Wen'e. Establishment and application of LC-MS/MS mass spectrometry database of more than 50 pesticides in agricultural products[J]. Food Science, 2010, 31(4):218-222.
doi: 10.7506/spkx1002-6300-201004050
[9] 钱叶飞, 尚尔鑫, 段金廒, 等. 基于液质联用数据库技术的中药及天然产物化学成分快速鉴定方法的建立[J]. 中国中药杂志, 2012, 37(21):3256-3263.
pmid: 23397725
QIAN Yefei, SHANG Erxin, DUAN Jin'ao, et al. Establishment of rapid identification method for chemical components of traditional Chinese medicine and natural products based on LC-MS database technology[J]. China Journal of Chinese Materia Medica, 2012, 37(21):3256-3263.
pmid: 23397725
[10] 宋妮, 张秀丽, 王聪, 等. 小型海洋活性寡糖多级质谱库的建立和应用[J]. 中国海洋药物, 2016, 35(5):81-88.
SONG Ni, ZHANG Xiuli, WANG Cong, et al. Establishment and application of a small marine active oligosaccharide multi-stage mass spectrometry data-base[J]. Chinese Journal of Marine Drugs, 2016, 35(5):81-88.
[11] REMOROZA C A, MAK T D, DE Leoz M L A, et al. Creating a mass spectral reference library for oligosaccharides in human milk[J]. Analytical Chemistry, 2018, 90(15): 8977-8988.
doi: 10.1021/acs.analchem.8b01176 pmid: 29969231
[12] BICALHO B, DAVID F, RUMPLEL K, et al. Creating a fatty acid methyl ester database for lipid profiling in a single drop of human blood using high resolution capillary gas chromatography and mass spectrome-try[J]. Journal of Chromatography A, 2008, 1211(1/2): 120-128.
doi: 10.1016/j.chroma.2008.09.066
[13] GUO Y, SHI L, ZHOU X, et al. A precise self-built secondary mass database for identifying red dyes and dyeing techniques with UPLC-MS/MS[J]. Journal of Mass Spectrometry, 2022. DOI:10.1002/jms.4823.
[14] Nist standard reference database[DB/OL]. (2014-06-19)[2020-06-12]. https://www.nist.gov/srd/nist-standard-reference-database-1a.
[15] LIU J, ZHOU Y, ZHAO F, et al. Identification of early synthetic dyes in historical Chinese textiles of late nineteenth century high-high-performance liquid chromatography coupled with diode array detection and mass spectrometry[J]. Coloration Technology, 2016, 132(2): 177-185.
doi: 10.1111/cote.2016.132.issue-2
[16] SINUES P M L, ALONSO-SALCES R M, ZINGARO L, et al. Mass spectrometry fingerprinting coupled to National Institute of Standards and Technology Mass Spectral search algorithm for pattern recognition[J]. Analytica Chimica Acta, 2012, 755: 28-36.
doi: 10.1016/j.aca.2012.10.018
[17] 彭云露. 黎药裸花紫珠资源品质差异及转录组学研究[D]. 海口: 海南医学院, 2021: 11-12.
PENG Yunlu. Analysis of quality difference and transcriptomics of callicarpa nudiflora[D]. Haikou: Hainan Medical University, 2021: 11-12.
[18] 李想. 黄酮醇类化合物ESI-ITMS-n质谱裂解规律的量子化学研究[D]. 佳木斯: 佳木斯大学, 2015: 2-5.
LI Xiang. Quantum chemistry study on ESI-ITMS-n cleavage regularity of flavonol compounds[D]. Jiamusi: Jiamusi University, 2015: 2-5.
[19] 孙倩. 基于液质联用技术的大小蓟多组分分析与黄酮类成分的药物代谢动力学研究[D]. 石家庄: 河北医科大学, 2013: 87-89.
SUN Qian. Qualitative and quantitative analysis of [LL]cirsium japonicum and cirsium setosum by LC-ESI-MS/MS technologies and pharmacokinetics of flavonoids[D]. Shijiazhuang: Hebei Medical University, 2013:87-89.
[20] 王大力. 几种黄酮类化合物的HPLC分析及其应用[D]. 延边: 延边大学, 2005: 29-30.
WANG Dali. Analysis of several flavonoids by high performance liquid chromatography and application[D]. Yanbian: Yanbian University, 2005: 29-30.
[21] TAN X S, MA J Y, FENG R, et al. Tissue distribution of berberine and its metabolites after oral administration in rats[J]. PloS One, 2013. DOI:10.1371/journal.pone.0077969.
[22] 卿志星, 程辟, 曾建国. 博落回中生物碱质谱裂解规律研究进展[J]. 中草药, 2013, 44(20):2929-2939.
QIN Zhixing, CHENG Bi, ZENG Jianguo. Research progress on mass spectral fragmentation behaviour of alkaloids in Macleaya cordata[J]. Chinese Traditional and Herbal Drugs, 2013, 44(20):2929-2939.
[1] QI Di, DING Hong, WANG Xiangrong. Preparation of catechin complex dye and its dyeing properties on silk fabric [J]. Journal of Textile Research, 2023, 44(03): 111-118.
[2] JIANG Yang, CUI Biao, SHAN Chuanlei, LIU Yin, ZHANG Yanhong, XU Changhai. Color gamut expansion and color prediction of natural dye-dyed wool fibers [J]. Journal of Textile Research, 2023, 44(02): 199-206.
[3] LIU Yanchun, BAI Gang. Application of berberine in polyacrylonitrile/cellulose acetate composite fiber dyeing [J]. Journal of Textile Research, 2020, 41(05): 94-98.
[4] . Research progress of microbial pigments used in textile dyeing [J]. JOURNAL OF TEXTILE RESEARCH, 2017, 38(01): 163-168.
[5] . Influence of dye solution pH value on dyeing effects and antibacterial properties of wool fabrics dyed with tea natural dye [J]. JOURNAL OF TEXTILE RESEARCH, 2016, 37(11): 86-91.
[6] . Over dyeing of trssah sild with indigo naturalis and turmeric [J]. JOURNAL OF TEXTILE RESEARCH, 2013, 34(9): 73-0.
[7] . Extraction of berberine dye and its dyeing behavior on nylon 6 fabric [J]. JOURNAL OF TEXTILE RESEARCH, 2012, 33(9): 88-93.
[8] . Non-reactive modification of cotton and the application in the dyeing with natural dyes [J]. JOURNAL OF TEXTILE RESEARCH, 2010, 31(8): 86-91.
[9] LI Fengyan;UANG Qiaofen;HONG Caihong;ZHONG Zhili. Natural tea pigment dyeing of cotton fibers with Fe2+ as a mordanting agent [J]. JOURNAL OF TEXTILE RESEARCH, 2010, 31(7): 60-63.
[10] CAO Hongmei;CHENG Wanli. Effect of premordanting on dyeing properties of cotton fabrics dyed with natural dyes [J]. JOURNAL OF TEXTILE RESEARCH, 2008, 29(12): 53-56.
[11] HOU Xiuliang;ZHOU Qicheng;ZHANG Xinlong;WANG Lu;JIA Shunhua;HU Xiaofeng;WANG Shanyuan. Dyeing behavior of natural Flos Sophorae buds dyes and its dyeing process for wool fabrics [J]. JOURNAL OF TEXTILE RESEARCH, 2007, 28(8): 58-62.
[12] FENG Xin-xing;CHEN Jian-yong;CHEN Zi-hao;GUO Yu-hai;ZHANG Jian-chun;. Protective functions of camouflage fabrics of pure silk and cotton dyedwith natural dye lithospermum erythrorrhizon [J]. JOURNAL OF TEXTILE RESEARCH, 2005, 26(5): 72-73.
Viewed
Full text


Abstract

Cited

  Shared   
  Discussed   
No Suggested Reading articles found!