Journal of Textile Research ›› 2024, Vol. 45 ›› Issue (02): 198-205.doi: 10.13475/j.fzxb.20231004701

• Apparel Engineering • Previous Articles     Next Articles

Three dimensional modeling and heat transfer simulation of fabric-air gap-skin system

HAN Ye1, TIAN Miao1,2,3(), JIANG Qingyun1, SU Yun1,2, LI Jun1,2   

  1. 1. College of Fashion and Design, Donghua University, Shanghai 200051,China
    2. Key Laboratory of Clothing Design and Technology, Ministry of Education, Donghua University, Shanghai 200051, China
    3. Key Laboratory of High Performance Fiters & Products, Ministry of Education, Donghua University, Shanghai 201620, China
  • Received:2023-10-16 Revised:2023-11-05 Online:2024-02-15 Published:2024-03-29

Abstract:

Objective Excessive thermal protection of thermal protective clothing will lead to heat stress, which is detrimental to health and even poses safety risks to firefighters. Reducing the weight and increasing the permeability of firefighting clothing can reduce their heat stress. The purpose of this study was to investigate the effects of fabric panel structure on its thermal protective performance based on numerical simulation, so as to provide a theoretical basis for improving fabric structure design.

Method Both experimental and numerical methods were adopted in this study. The experiments were performed by SET (stored energy tester) with the fabrics used as the outer shell of firefighting clothing, which provided initial and boundary conditions for numerical models. The three dimensional geometric model was developed based on the real fabric structure. On this basis, a fluid-solid conjugated heat transfer model of fabric, air gap and skin was built considering the actual wearing state. The model was validated by the experiment results and a mesh independence test was performed. The validated model was used to carry out parameter studies taking into consideration of the ambient temperature, yarn count and thermal conductivity of yarn as parameters.

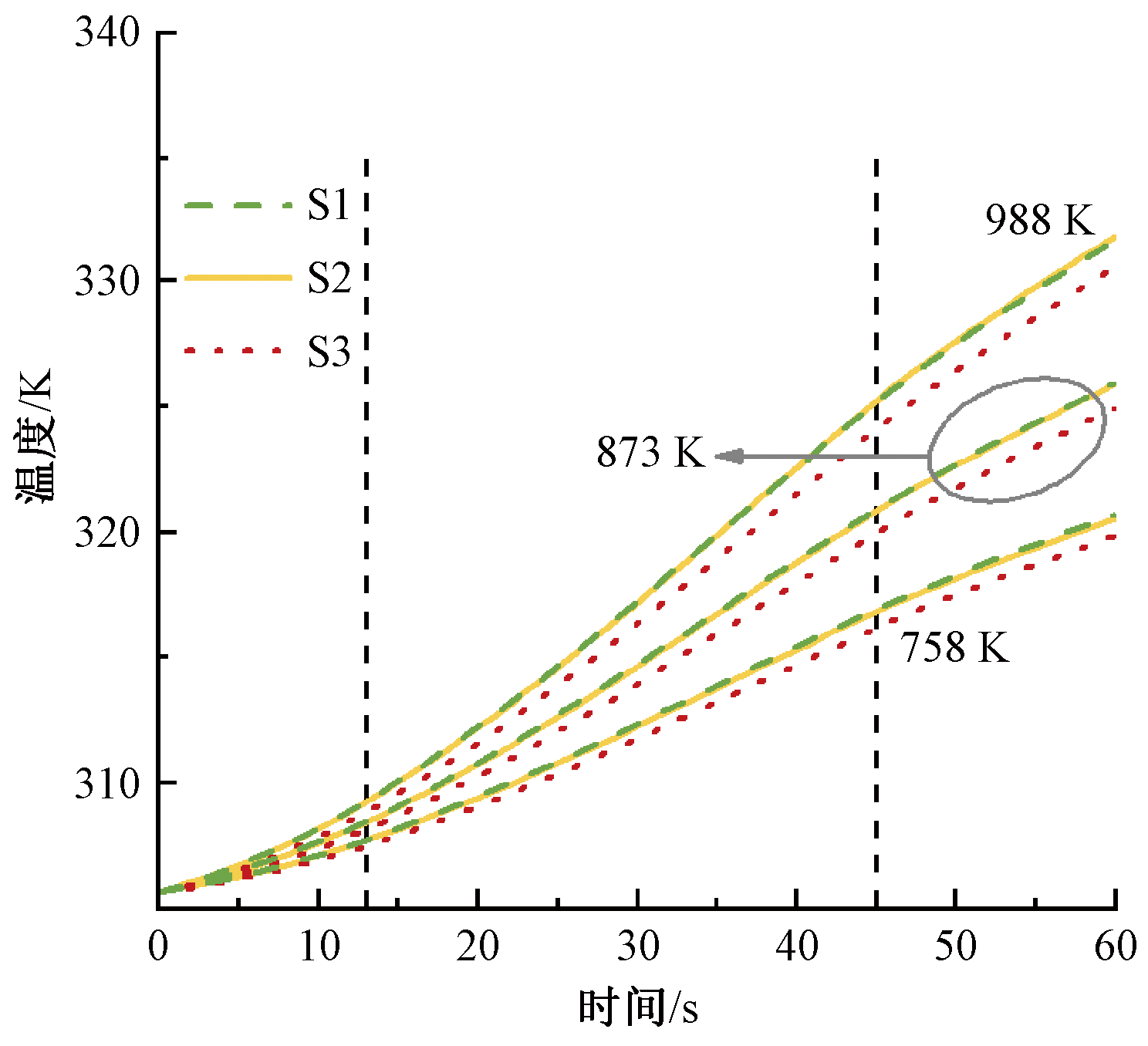
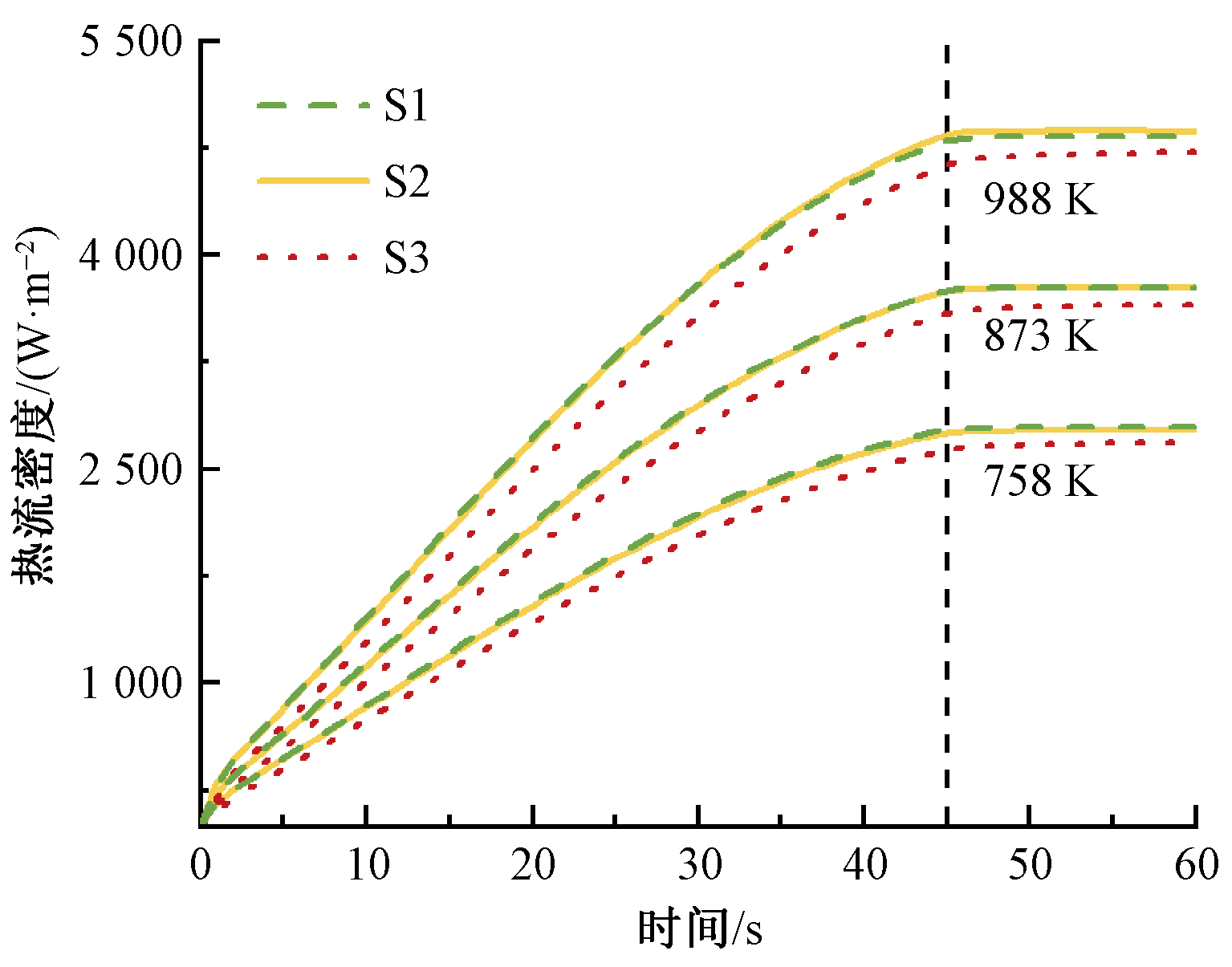
Results The simulation results were in correspondence with the testing results. The mesh independence test indicated that the computational results were insensitive to the mesh sizes used in this study. Throughout the entire heat exposure process, the temperature within the air gap beneath the clothing decreased rapidly. The presence of fabric and the air gap significantly contributed to the thermal protection of the skin. Under different ambient temperatures, the skin temperature remained consistent. As the heat exposure progressed, heat continually transferred to the dermis, leading to a continuous increase in dermal heat flux, which plateaued at around 45 s. With increasing peak heat exposure temperature, the surface temperature of the yarn, dermal heat flux, and dermal temperature all increased. Among all the parameters studied in this research, ambient temperature had the most substantial impact on the heat transfer process. At the microscale, yarn count had a minimal impact on skin temperature and heat flux, but this effect was temperature-dependent. Under low heat exposure conditions (758 K, 873 K), increasing yarn count resulted in reduced skin temperature and heat flux. However, as the peak heat exposure temperature rose to 988 K, increasing yarn count led to higher skin temperature and heat flux. An increase in yarn thermal conductivity had a minor effect on skin temperature and heat flux, with limited impact. Treating the yarn layer as a uniform medium resulted in lower yarn surface temperature and heat flux compared to the yarn structure model.

Conclusion To investigate the heat transfer process and thermal protective performance of the fabric used in firefighting clothing, both experiments and numerical simulation were performed in this study. The models were validated by the experimental results and a parameter study was conducted. The effects of ambient temperature, yarn count and yarn thermal conductivity on yarn surface temperature, dermal temperature and dermal heat flux were simulated. The findings of this study indicate that the presence of the fabric and air gap effectively reduces skin temperature. The yarn count in the fabric layer has a complex influence on the heat transfer within the fabric-air gap-skin' system, which varies with changes in ambient temperature. For a single-layer fabric system, the air gap beneath the clothing plays a more crucial role in thermal protection, thereby mitigating the relatively weaker impact caused by variations in the fabric's thermal conductivity. Therefore, the design of the fabric panel structure should take into consideration the heat exposure environment. This approach not only contributes to minimizing the weight of thermal protective clothing but also serves to mitigate the risk of heat stress on firefighters. It ultimately enhances the occupational safety of firefighters in high-temperature environments while ensuring the thermal protection performance of the clothing.

Key words: heat transfer, numerical simulation, fabric structure, firefighter's clothing, low-level radiation

CLC Number: 

  • X924.3

Tab. 1

Structural parameters of plain fabric"

编号 纱线宽度/
mm
纱线高度/
mm
织物厚度/
mm
纤维占
比/%
S1 0.65 0.1 0.2 45.86
S2 0.8 0.1 0.2 53.72
S3 均匀介质 - 0.2 100

Fig. 1

Mesh model. (a) Joint model mesh; (b) Fabric texture layer mesh; (c) Fabric weaving mesh"

Tab. 2

Basic performance parameters of combined fabric-air gap-skin model"

模型层 厚度/
mm
比热容cp/
(J·(kg·K)-1)
导热系数k/
(W·(m·K)-1)
密度ρ/
(kg·m-3)
阻燃纱线 0.1 1 570 多项式 605.5
衣下空气层 6.4 多项式 多项式 多项式
表皮层 0.08 3 590 0.24 1 200
真皮层 2 3 330 0.45 1 200
皮下组织 10 2 500 0.19 1 000

Fig. 2

Grid independency test"

Fig. 3

Temperature histories of dermal layer"

Fig. 4

Heat flux histories of dermal layer"

Fig. 5

Temperature distributions of model S2 under different heat exposure peak temperatures at 60 s"

Fig. 6

Temperature distributions of yarn surface under different peak temperatures"

Fig. 7

Heat flux histories of dermal layer for model S1, S2 and S3 under different peak temperature"

Fig. 8

Temperature histories of dermal layer for model S1, S2 and S3 under different peak temperature"

Tab. 3

Maximum heat flux and temperature of dermal layer for model S1 and S2 with different peak temperature"

峰值温
度/K
最大温度/K 热流密度/(W·m-2)
S1 S2 S1 S2
758 320.65 320.49 2 787.22 2 761.87
873 325.91 325.84 3 762.32 3 758.06
988 331.59 331.72 4 818.11 4 858.12

Tab. 4

Maximum heat flux and temperature of dermal layer with different heat conductivity coefficient"

导热系数/(W·m-1·K-1) 温度/K 热流密度/(W·m-2)
0.1 325.59 3 713.19
0.3 325.77 3 744.77
0.5 325.81 3 752.01
[1] 李振营. 应急管理部举行习近平总书记向国家综合性消防救援队伍授旗致训词4周年专题新闻发布会[EB/OL]. 2022. https://www.mem.gov.cn/xw/xwfbh/2022n10y31rxwfbh/wzsl_4260/202210/t20221031_425195.shtml.
LI Zhenying. A special press conference held by the Ministry of Emergency Management for celebrating the fourth anniversary of CPC Secretary General XI Jinping making speech for awarding a flag to the National integrated Fire and Rescue Team[EB/OL]. 2022. https://www.mem.gov.cn/xw/xwfbh/2022n10y31rxwfbh/wzsl_4260/202210/t20221031_425195.shtml.
[2] 张文欢, 李俊. 低热辐射环境中消防服系统内热传递机制的研究进展[J]. 纺织学报, 2021, 42(10): 190-198.
ZHANG Wenhuan, LI Jun. Research progress of heat transfer mechanism in fire-fighting clothing system in low thermal radiation environment[J]. Journal of Textile Research, 2021, 42(10): 190-198.
[3] NUNNELEY S A. Heat stress in protective clothing: interactions among physical and physiological factors[J]. Scandinavian Journal of Work, Environment & Health, 1989, 15: 52-7.
[4] UDAYRAJ, TALUKDAR P, DAS A, et al. Effect of structural parameters on thermal protective performance and comfort characteristic of fabrics[J]. The Journal of The Textile Institute, 2017, 108(8): 1430-1441.
doi: 10.1080/00405000.2016.1255123
[5] PUSZKARZ A K, MACHNOWSKI W, BŁASIŃSKA A. Modeling of thermal performance of multilayer protective clothing exposed to radiant heat[J]. Heat and Mass Transfer, 2020, 56(6): 1767-75.
doi: 10.1007/s00231-020-02820-1
[6] PUSZKARZ A K, MACHNOWSKI W. Simulations of heat transfer through multilayer protective clothing exposed to flame[J]. Autex Research Journal, 2020, 22(3): 298-304.
doi: 10.2478/aut-2020-0041
[7] PUSZKARZ A K, KRUCIŃSKA I. Study of multilayer clothing thermal insulation using thermography and the finite volume method[J]. Fibres & Textiles in Eastern Europe, 2016, 6(120): 129-137.
[8] ZHENG Z, ZHAO X, WANG C, et al. Investigation of automated geometry modeling process of woven fabrics based on the yarn structures[J]. The Journal of the Textile Institute, 2015, 106(9): 925-933.
doi: 10.1080/00405000.2014.952966
[9] ZHENG Z, ZHANG N, ZHAO X. Simulation of heat transfer through woven fabrics based on the fabric geometry model[J]. Thermal Science, 2018, 22(6): 2815-2825.
doi: 10.2298/TSCI160507128Z
[10] 杨恩惠. 纬编针织物导热导湿的仿真研究[D]. 无锡: 江南大学, 2020:7-28.
YANG Enhui. Simulation study on heat and moisture transfer of weft knitted fabric[D]. Wuxi: Jiangnan University, 2020:7-28.
[11] ASAYESH A, TALAEI M, MAROUFI M. The effect of weave pattern on the thermal properties of woven fabrics[J]. International Journal of Clothing Science and Technology, 2018, 30(4): 525-35.
doi: 10.1108/IJCST-10-2017-0163
[12] GADEIKYTE ˙ A, BARAUSKAS R. Investigation of influence of forced ventilation through 3D textile on heat exchange properties of the textile layer[J]. Journal of Measurements in Engineering, 2020, 8(2): 72-8.
doi: 10.21595/jme
[13] 张洁. 基于ABAQUS的织物热传递性能分析[D]. 无锡: 江南大学, 2020:11-12.
ZHANG Jie. Analysis of fabric heat transfer performance based on ABAQUS[D]. Wuxi: Jiangnan University, 2020:11-12.
[14] UDAYRAJ T P, DAS A, ALAGIRUSAMY R. Numerical modeling of heat transfer and fluid motion in air gap between clothing and human body: effect of air gap orientation and body movement[J]. International Journal of Heat and Mass Transfer, 2017, 108: 271-291.
doi: 10.1016/j.ijheatmasstransfer.2016.12.016
[15] SONG G, CHITRPHIROMSRI P, DING D. Numerical simulations of heat and moisture transport in thermal protective clothing under flash fire conditions[J]. International Journal of Occupational Safety and Ergonomics, 2008, 14(1):89-106.
pmid: 18394330
[1] WANG Qing, LIANG Gaoxiang, YIN Junqing, SHENG Xiaochao, LÜ Xushan, DANG Shuai. Establishment of novel model and performance analysis of airflow drafting channel [J]. Journal of Textile Research, 2023, 44(11): 52-60.
[2] YANG Mengxiang, LIU Rangtong, LI Liang, LIU Shuping, LI Shujing. Heat transfer and thermal protection properties under strong thermal conditions of woven fabrics [J]. Journal of Textile Research, 2023, 44(11): 74-82.
[3] LIU Guangju, SU Yun, TIAN Miao, LI Jun. Two-dimensional transient heat transfer model for electrically heated shoe upper and experimental validation [J]. Journal of Textile Research, 2023, 44(10): 127-133.
[4] NIE Sixuan, YIN Hu, NIE Yadong. Research progress in design methods for semiconductor cooling garments [J]. Journal of Textile Research, 2023, 44(10): 223-231.
[5] JIANG Shaohua, LIANG Shuaitong, PEI Liujun, ZHANG Hongjuan, WANG Jiping. Analysis of fabric dyeing intrusion kinetics based on probability density function [J]. Journal of Textile Research, 2023, 44(10): 90-97.
[6] GAO Yihua, QIAN Fuping, WANG Xiaowei, WANG Huming, GAO Jie, LU Biao, HAN Yunlong. Structural design and air supply effect of directional uniform flow inlet in textile workshop [J]. Journal of Textile Research, 2023, 44(08): 189-196.
[7] WU Junqiu, LI Jun, WANG Min. Research progress in heat and moisture transfer model construction and application of cooling clothing incorporated with phase change materials [J]. Journal of Textile Research, 2023, 44(08): 234-241.
[8] LIAN Liping, YANG Pengcheng, YU Zijian, LONG Yangzhao, XIAO Yuan. Numerical simulation for selecting laser parameters in marking process with different fabrics [J]. Journal of Textile Research, 2023, 44(06): 121-128.
[9] YIN Ang, CONG Honglian. Design and structure optimization of warp knitted unidirectional moisture conducting fabrics [J]. Journal of Textile Research, 2023, 44(04): 86-91.
[10] WEN Jiaqi, LI Xinrong, LI Xingxing, WU Liubo. Parametrical modeling of sewing process for automatic stitching of garment fabrics [J]. Journal of Textile Research, 2023, 44(03): 158-167.
[11] MIAO Ying, XIONG Shiman, ZHENG Minbo, TANG Jiandong, ZHANG Huixia, DING Cailing, XIA Zhigang. Effect of high smooth treatment on polyimide staple yarns and its fabric properties [J]. Journal of Textile Research, 2023, 44(02): 118-127.
[12] WU Jiayue, WU Qiaoying. Finite element simulation of heat transfer through down coat panel [J]. Journal of Textile Research, 2022, 43(11): 154-162.
[13] SUN Jian, JIANG Boyi, ZHANG Shoujing, HU Sheng. Influence of different nozzle structures and parameters on nozzle performance of foreign fiber sorters [J]. Journal of Textile Research, 2022, 43(10): 169-175.
[14] WU Daiwei, HUANG Jiacheng, WANG Yunyi. Effect of clothing deformation on thermal insulation capacity of down jackets [J]. Journal of Textile Research, 2022, 43(09): 167-174.
[15] ZHU Wenni, XU Runnan, HU Diefei, YAO Juming, MILITKY Jiri, KREMENAKOVA Dana, ZHU Guocheng. Simulation analysis of filtration characteristics of fiber materials based on random algorithm [J]. Journal of Textile Research, 2022, 43(09): 76-81.
Viewed
Full text


Abstract

Cited

  Shared   
  Discussed   
No Suggested Reading articles found!