Journal of Textile Research ›› 2019, Vol. 40 ›› Issue (01): 73-78.doi: 10.13475/j.fzxb.20180106806

• Dyeing and Finishing & Chemicals • Previous Articles     Next Articles

Influence of alkali treatment on wicking effect and strength of profiled polyester yarn

ZHANG Lin1, WU Hailiang1(), SHEN Yanqin1, MAO Ningtao1,2   

  1. 1. College of Textile Science and Engineering, Xi'an Polytechnic University, Xi'an, Shaanxi 710048, China
    2. School of Design, University of Leeds, Leeds LS2 9JT, UK
  • Received:2018-01-30 Revised:2018-08-17 Online:2019-01-15 Published:2019-01-18
  • Contact: WU Hailiang E-mail:whl@xpu.edu.cn

Abstract:

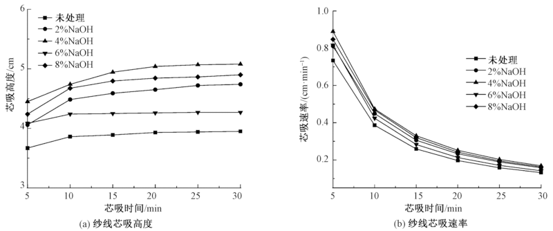
Aiming at the problem that NaOH could damage the structure of polyester fiber and affect the wicking effect, wettability, strength and elongation properties of profiled polyester fiber, and fast drying and cool properties, scanning electro microscopy was adopted to characterize the structure of the fiber before and after NaOH treatment. The influencing factors of wicking effect was analyzed and the influences of alkali concentration on wicking effect, wettability, strength and elongation properties were studied. The results show that the cross section of profiled polyester fiber is cross shaped. Four trenches along the longitudinal direction of the fiber play the capillary role and provide a channel for the migration of moisture. Therefore, the profiled polyester fiber and yarn have good wicking effect. Sodium hydroxide can effectively remove the oligomers from profiled polyester fibers, and the wicking effect of profiled polyester yarns is improved significantly when the concentration of alkali is about 4%. It is found that profiled polyester yarns treated by NaOH solution have good wettability. With the increase of the alkali concentration, the strength and elongation of profiled polyester yarns decrease, and the strength and elongation properties of the profiled polyester yarns are lost significantly while the alkali agent concentration is higher than 6%.

Key words: profiled polyester fiber, alkali treatment, wicking effect, strength of yarn

CLC Number: 

  • TS102.6

Fig.1

FT-IR of profiled polyester fiber and yarn"

Fig.2

Morphology structure of profiled polyester fiber(×5 000)."

Fig.3

Wicking height (a) and wicking rate (b) of profiled polyester yarn after alkali treatment"

Fig.4

Surface structure characteristics of profiledd polyester fiber treated with alkali of different concentrations(×10 000)."

Fig.5

Appearance of initial contact between yarn and water drop treated with alkali of different concentrations."

Fig.6

Contact angle between water and profiled polyester yarn before and after alkali treatment"

Fig.7

Chemical reaction of polyester fibers with NaOH solution"

Fig.8

Influence of alkali treatment on strength and elongation of yarn"

[1] 刘月玲. 异形改性涤纶面料与纯棉面料性能对比[J]. 棉纺织技术, 2011,39(8):26-28.
LIU Yueling. Property contrast between profiled modified polyester fabric and pure cotton fabric[J]. Cotton Textile Technology, 2011,39(8):26-28.
[2] 葛俊伟, 张北波. Coolplus吸湿排汗超薄针织物的开发[J]. 西安工程大学学报, 2010,24(2):150-153.
GE Junwei, ZHANG Beibo. Development of coolplus ultra-thin knitted fabric[J]. Journal of Xi'an Polytechnic University, 2010,24(2):150-153.
[3] XU G P, LUO X H, QIU H B, et al. Study the wet-absorb and fast-dry properties of the coolplus fiber/cotton compound fabrics[J]. Applied Mechanics & Materials, 2013(423-426):318-321.
[4] 杜金梅, 罗雄方, 唐烨, 等. 碱减量处理对涤纶织物疏水整理效果的影响[J]. 纺织学报, 2015,36(7):71-76.
DU Jinmei, LUO Xiongfang, TANG Ye, et al. Influence of alkali deweighting on hydrophobicity of polyester fabric[J]. Journal of Textile Research, 2015,36(7):71-76.
doi: 10.1177/004051756603600109
[5] 徐林, 任煜, 张红阳, 等. 碱减量-氟硅烷处理涤纶织物的拒水拒油性[J]. 印染, 2017,43(18):1-4.
XU Lin, REN Yu, ZHANG Hongyang, et al. Water-and oil-repellency of polyester fabrics after alkali deweighting-fluoroalkyl silanes treatment[J]. China Dyeing & Finishing, 2017,43(18):1-4.
[6] NOURBAKHSH S, MONTAZER M, KHANDAGHABADI Z. Zinc oxide nano particles coating on polyester fabric functionalized through alkali treatment[J]. Journal of Industrial Textiles, 2016,47(6):1-18.
[7] 孟春丽, 许译元, 曹毅, 等. 涤纶织物的退浆、碱减量和染色一浴加工[J]. 印染, 2017,43(11):20-24.
MENG Chunli, XU Yiyuan, CAO Yi, et al. Desizing,alkali deweighting and dyeing of polyester fabric in one bath[J]. China Dyeing & Finishing, 2017,43(11):20-24.
[8] 曹机良, 孟春丽, 曹毅, 等. 咪唑类离子液体对涤纶的碱减量加工[J]. 丝绸, 2017,54(12):21-25.
CAO Jiliang, MENG Chunli, CAO Yi, et al. Alkali deweighing processing of polyester fiber with imidazole ionic liquid[J]. Journal of Silk, 2017,54(12):21-25.
[9] CHIKOUCHE M D L, MERROUCHE A, AZIZI A, et al. Influence of alkali treatment on the mechanical properties of new cane fibre/polyester composites[J]. Journal of Reinforced Plastics & Composites, 2015,34(16):1329-1339.
[10] 刘越, 朱平, 李旦. SIP改性异形聚酯纤维的碱水解性能[J]. 纺织学报, 2009,30(4):28-32.
LIU Yue, ZHU Ping, LI Dan. Alkaline hydrolysis properties of modified profiled hollow polyester fiber[J]. Journal of Textile Research, 2009,30(4):28-32.
[11] 王维明, 虞波. 中空聚酯短纤维耐碱性及其力学性能分析[J]. 纺织学报, 2012,33(12):1-4.
WANG Weiming, YU Bo. Analysis of alkali resistance and mechanical properties of polyester hollow staple fibers[J]. Journal of Textile Research, 2012,33(12):1-4.
doi: 10.1177/004051756303300101
[12] 梁必超, 韩春艳, 季轩, 等. 聚酯/聚酰胺共聚纤维的结构及其理化性能[J]. 纺织学报, 2016,37(11):1-7.
LIANG Bichao, HAN Chunyan, JI Xuan, et al. Structure and physicochemical properties of polyester / polyamide copolymer fiber[J]. Journal of Textile Research, 2016,37(11):1-7.
doi: 10.1177/004051756703700101
[13] 李长龙, 常桑, 周磊. 碱处理对木棉纤维结构及性能的影响[J]. 纺织学报, 2015,36(4):20-24.
LI Changlong, CHANG Sang, ZHOU Lei. Influence of alkali treatment on structure and properties of kapok fiber[J]. Journal of Textile Research, 2015,36(4):20-24.
[14] 王海莹, 陈诺, 丁颖, 等. 利用碱处理纳米纤维素制备三维网状水凝胶的研究[J]. 纤维素科学与技术, 2018,26(2):24-30.
WANG Haiying, CHEN Nuo, DING Ying, et al. Study on three-dimensional network cellulose nanofiber hydrogel by using alkali treatment[J]. Journal of Cellulose Science and Technology, 2018,26(2):24-30.
[15] 李翠芳, 刘红茹, 张玉芳, 等. 三叶形涤纶织物的吸湿性能[J]. 纺织学报, 2014,35(3):22-26.
LI Cuifang, LIU Hongru, ZHANG Yufang, et al. Study on moisture absorption performance of trilobal polyester fabric[J]. Journal of Textile Research, 2014,35(3):22-26.
[16] 朱黎黎, 张佐光, 李敏, 等. 工艺温度下树脂与纤维的接触角及其粘附作用研究[J]. 复合材料学报, 2010,27(5):41-46.
ZHU Lili, ZHANG Zuoguang, LI Min, et al. Contact angle and action of adhesion between epoxy resin and fibers at processing temperatures[J]. Acta Materiae Compositae Sinica, 2010,27(5):41-46.
[1] . Influence of alkali treatment on mechanical properties of polyester / photosensitive resin composites#br# [J]. Journal of Textile Research, 2019, 40(07): 97-102.
[2] . UV-induced grafting dyeing of modified reactive dye on alkali treated polyester fabric [J]. JOURNAL OF TEXTILE RESEARCH, 2017, 38(11): 91-96.
[3] . Infouence of alkali treatment on structure and properties of kapok fiber [J]. Journal of Textile Research, 2015, 36(04): 20-24.
[4] . Study on moisture absorption performance of trilobal polyester fabric [J]. JOURNAL OF TEXTILE RESEARCH, 2014, 35(3): 22-0.
[5] . Analysis of alkali resistance and mechanical properties of polyester hollow staple fibers [J]. JOURNAL OF TEXTILE RESEARCH, 2012, 33(12): 1-4.
[6] QU Weiwei;YU Jianyong;LIU Lifang;LI Faxue;LIU Guozhong. Structures and mechanical properties of biodegradable PBS composites reinforced by jute fiber [J]. JOURNAL OF TEXTILE RESEARCH, 2008, 29(8): 52-55.
[7] BAI Xiu′e;GUAN Xinhai. Process optimization of alkali treatment of PTT fibers [J]. JOURNAL OF TEXTILE RESEARCH, 2008, 29(5): 15-18.
[8] ZHANG Hongxia;LIU Furong;WANG Jing;ZHU Chengyan. Effects of fabric weave and cover factor on moisture transfer ability of moisture absorbent and fast drying fabric [J]. JOURNAL OF TEXTILE RESEARCH, 2008, 29(5): 31-33.
[9] CHEN Li;ZHANG Jianfei. Effects of pectinase treatment on structure and properties of naturally colored cotton fiber [J]. JOURNAL OF TEXTILE RESEARCH, 2007, 28(10): 23-25.
[10] ZHAO Heng-ying. Test of the capillary equivalent radius of yarn [J]. JOURNAL OF TEXTILE RESEARCH, 2006, 27(9): 68-70.
[11] ZHAO Shu-lin;ZHANG Hao. Influence of carding,drum and output speed of friction spinning on the strength of yarn [J]. JOURNAL OF TEXTILE RESEARCH, 2006, 27(3): 83-85.
[12] ZHENG Jin-huan;YIN Ying;GUAN Yan-feng;SHAO Jian-zhong. Effect of alkali treatment on morphological structure and mechanical properties of PTT fiber [J]. JOURNAL OF TEXTILE RESEARCH, 2006, 27(12): 44-47.
[13] CAO Ying;WU Li-li;ZHANG Shuang;YU Jian-yong. Modification of scutching tow with refining technology [J]. JOURNAL OF TEXTILE RESEARCH, 2006, 27(11): 97-99.
Viewed
Full text


Abstract

Cited

  Shared   
  Discussed   
No Suggested Reading articles found!