Journal of Textile Research ›› 2022, Vol. 43 ›› Issue (01): 193-200.doi: 10.13475/j.fzxb.20210910508

• Apparel Engineering • Previous Articles     Next Articles

Decision of carbon emission-reduction in garment industry under carbon trading and consumption subsidy

ZHENG Lu1, ZHANG Mingxia2, HU Jueliang3, HAN Shuguang3()   

  1. 1. High Fashion (China) Co., Ltd., Hangzhou, Zhejiang 311200, China
    2. School of Fashion Design & Engineering, Zhejiang Sci-Tech University, Hangzhou, Zhejiang 310018, China
    3. School of Science, Zhejiang Sci-Tech University, Hangzhou, Zhejiang 310018, China
  • Received:2021-09-27 Revised:2021-10-15 Online:2022-01-15 Published:2022-01-28
  • Contact: HAN Shuguang E-mail:dawn1024@zstu.edu.cn

Abstract:

With the promotion of the "dual carbon" target, the national carbon trade market has been launched without causing much attention. In order to make clothing enterprises better respond to carbon trading policy, the clothing closed-loop supply chain model was established, which was composed of raw material suppliers, manufacturers, retailers and recyclers. The impacts of government subsidies to consumers of remanufactured garment and manufacturers' investment in carbon emission reduction on the development of clothing industry, profits of supply chain members and the total supply chain carbon emission were analyzed and discussed. The study shows that the clothing enterprises could not sustain for a long time with the rise of carbon trading price without committing to emission reduction and without subsidies. The situation that only manufacturers invest in emission reduction is conducive to increasing the demand for traditional clothing and remanufactured clothing and the profits of supply chain members, but it also stimulates carbon emission. When emission reduction is combined with subsidy, the consumption subsidy of remanufactured clothing can improve the optimal emission reduction rate of manufacturers, enhance the competitive advantage of remanufactured garment, and can also reduce the total supply chain carbon emission. The research can provide reference for garment manufacturers' carbon emission reduction investment decision and government policy making under carbon trading.

Key words: carbon trading, government consumption subsidy, carbon reduction investment, remanufactured garment, clothing closed-loop suppy chain

CLC Number: 

  • TS941

Fig.1

Four-level closed-loop supply chain model for garment remanufacturing under carbon trading"

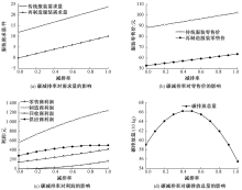
Fig.2

Impact of carbon emission reduction on demand (a), retail price (b), profit (c); and total carbon emission (d)"

Fig.3

Impact of government subsidies on carbon reduction rate (a), demand (b) and total carbon emission (c)"

Fig.4

Impact of government subsidies on profit"

Fig.5

Impact of government subsidies on total carbon emissions"

Fig.6

Impact of carbon trading price on optimal emission reduction rate"

[1] WANG Y, CHEN W, LIU B. Manufacturing/remanufacturing decisions for a capital-constrained manufacturer considering carbon emission cap and trade[J]. Journal of Cleaner Production, 2017, 140:1118-1128.
doi: 10.1016/j.jclepro.2016.10.058
[2] XU L, XIE F, YUAN Q, et al. Pricing and carbon footprint in a two-echelon supply chain under cap-and-trade regulation[J]. International Journal of Low-Carbon Technologies, 2019, 14(2): 212-221.
doi: 10.1093/ijlct/ctz013
[3] DU S, HU L, SONG M. Production optimization considering environmental performance and preference in the cap-and-trade system[J]. Journal of Cleaner Production, 2016, 112:1600-1607.
doi: 10.1016/j.jclepro.2014.08.086
[4] 焦建玲, 汪耘欣, 李兰兰. 基于碳配额交易的闭环供应链定价决策研究[J]. 合肥工业大学学报(自然科学版), 2017, 40(6): 840-846,864.
JIAO Jianling, WANG Yunxin, LI Lanlan. Research on pricing decision of closed-loop supply chain based on carbon quota trading[J]. Journal of Hefei University of Technology (Natural Science Edition), 2017, 40(6): 840-846,864.
[5] ZHANG L, XUE B, LIU X. Carbon emission reduction with regard to retailer's fairness concern and subsidies[J]. Sustainability, 2018, 10(4): 1209-1237.
doi: 10.3390/su10041209
[6] YANG L, HU Y, HUANG L. Collecting mode selection in a remanufacturing supply chain under cap-and-trade regulation[J]. European Journal of Operational Research, 2020, 287(2): 480-496.
doi: 10.1016/j.ejor.2020.04.006
[7] WANG Z, Brownlee A E I, WU Q. Production and joint emission reduction decisions based on two-way cost-sharing contract under cap-and-trade regulation[J]. Computers & Industrial Engineering, 2020, 146:106549.
doi: 10.1016/j.cie.2020.106549
[8] YANG L, ZHANG Q, JI J. Pricing and carbon emission reduction decisions in supply chains with vertical and horizontal cooperation[J]. International Journal of Production Economics, 2017, 191:286-297.
doi: 10.1016/j.ijpe.2017.06.021
[9] LI J, DU W, YANG F, et al. The carbon subsidy analysis in remanufacturing closed-loop supply chain[J]. Sustainability, 2014, 6(6): 3861-3877.
doi: 10.3390/su6063861
[10] ZHAO S, ZHU Q, CUI L. A decision-making model for remanufacturers: considering both consumers' environmental preference and the government subsidy policy[J]. Resources, Conservation and Recycling, 2018, 128:176-186.
doi: 10.1016/j.resconrec.2016.07.005
[11] 狄卫民, 徐文君, 夏西强. 基于经销商再制造的闭环供应链政府补贴策略及效果分析[J]. 运筹与管理, 2021, 30(2): 102-109.
DI Weimin, XU Wenjun, XIA Xiqiang. Government subsidy strategy and effect analysis of closed-loop supply chain based on dealer remanufacturing[J]. Operations Research and Management Research, 2021, 30(2): 102-109.
[12] 高举红, 张莹, 李梦梦. 具广告影响的再制造闭环供应链的决策与协调[J]. 系统科学与数学, 2019, 39(11): 1785-1807.
GAO Juhong, ZHANG Ying, LI Mengmeng. Decision making and coordination of remanufacturing closed-loop supply chain influenced by advertising[J]. Journal of Systems Science and Mathematics, 2019, 39(11): 1785-1807.
[13] ZHAO Y, CHENG Y. Cooperation or competition? Channel choice for a remanufacturing fashion supply chain with government subsidy[J]. Sustainability, 2014, 6(10): 7292-7310.
doi: 10.3390/su6107292
[14] 俞璐, 王立川, 陈雁. 服装生产过程碳排放量核算[J]. 纺织学报, 2016, 37(4): 160-164.
YU Lu, WANG Lichuan, CHEN Yan. Accounting of carbon emission in garment production process[J]. Journal of Textile Research, 2016, 37(4): 160-164.
doi: 10.1177/004051756703700302
[1] JIANG Gaoming, ZHOU Mengmeng, ZHENG Baoping, ZHENG Peixiao, LIU Haisang. Research progress of green and low-carbon knitting technology [J]. Journal of Textile Research, 2022, 43(01): 67-73.
[2] HOU Yiming, LU Cheng. Impact of environmental claims of garment enterprises on consumers' purchase intention [J]. Journal of Textile Research, 2022, 43(01): 201-207.
[3] JIANG Xuewei, TIAN Runyu, LU Fangxiao, ZHANG Yi. Improved clothing recommendation algorithm based on simulation scoring [J]. Journal of Textile Research, 2021, 42(12): 138-144.
[4] ZHANG Zhaohua, CHEN Zhirui, LI Luyao, XIAO Ping, PENG Haoran, ZHANG Yuhan. Airflow sensitivity of local human skin and its influencing factors [J]. Journal of Textile Research, 2021, 42(12): 125-130.
[5] LIU Jie, GAO Zhi. Development of clothing pressure detector based on flexible film sensor [J]. Journal of Textile Research, 2021, 42(12): 159-165.
[6] WANG Di, KE Ying, WANG Hongfu. Parametric fashion design based on Voronoi graphics [J]. Journal of Textile Research, 2021, 42(12): 131-137.
[7] PENG Xi, TU Yongjian, ZHOU Jiu. Design principle and method for gradient weft-backed structure with 2∶1 weft arrangement [J]. Journal of Textile Research, 2021, 42(12): 63-69.
[8] XU Minghui, XU Pinghua, WEI Qiuju, DING Xuemei, MAO Hailin. Color parsing of female brand clothing based on nexus network modeling [J]. Journal of Textile Research, 2021, 42(11): 137-142.
[9] HE Lin, CHEN Lihong, DING Xuemei. Research on clothing sustainable consumption behavior based on transtheoretical model [J]. Journal of Textile Research, 2021, 42(11): 143-150.
[10] HAN Shuguang, YAN Weixiong, HU Jueliang. Optimization decision of apparel product portfolio with modular production [J]. Journal of Textile Research, 2021, 42(11): 151-158.
[11] . Influence and mechanism of clothing color illusion on figure perception [J]. , 0, (): 0-0.
[12] . Optimization of Components Screening in Suit Mass Customization [J]. , 0, (): 0-0.
[13] LU Cheng, MAO Jiaying, SHEN Jiayi. Influence and mechanism of clothing color illusion on figure perception [J]. Journal of Textile Research, 2021, 42(10): 132-138.
[14] JI Yong, JIANG Gaoming. Expression and realization of human body model based on learning model [J]. Journal of Textile Research, 2021, 42(10): 146-149.
[15] XIE Ziang, DU Jinsong, YU Yayun, CHEN Qingting, FEI Zhonghua. Optimization of components screening for hanging production line in suit mass customization [J]. Journal of Textile Research, 2021, 42(10): 150-156.
Viewed
Full text


Abstract

Cited

  Shared   
  Discussed   
[1] . [J]. JOURNAL OF TEXTILE RESEARCH, 2003, 24(06): 33 -34 .
[2] . [J]. JOURNAL OF TEXTILE RESEARCH, 2003, 24(06): 35 -36 .
[3] . [J]. JOURNAL OF TEXTILE RESEARCH, 2003, 24(06): 107 .
[4] . [J]. JOURNAL OF TEXTILE RESEARCH, 2003, 24(06): 109 -620 .
[5] . [J]. JOURNAL OF TEXTILE RESEARCH, 2004, 25(02): 101 -102 .
[6] . [J]. JOURNAL OF TEXTILE RESEARCH, 2004, 25(02): 103 -104 .
[7] . [J]. JOURNAL OF TEXTILE RESEARCH, 2004, 25(02): 105 -107 .
[8] . [J]. JOURNAL OF TEXTILE RESEARCH, 2004, 25(02): 108 -110 .
[9] . [J]. JOURNAL OF TEXTILE RESEARCH, 2004, 25(02): 111 -113 .
[10] . [J]. JOURNAL OF TEXTILE RESEARCH, 2004, 25(03): 9 -10 .