Journal of Textile Research ›› 2022, Vol. 43 ›› Issue (11): 141-147.doi: 10.13475/j.fzxb.20211007807

• Apparel Engineering • Previous Articles     Next Articles

Study on cooling performance of evaporative cooling garment

CHEN Ying1, SONG Zetao2, ZHENG Xiaohui3, JIANG Yan4, CHANG Suqin2()   

  1. 1. School of Fashion, Beijing Institute of Fashion Technology, Beijing 100029, China
    2. School of Materials Design and Engineering, Beijing Institute of Fashion Technology, Beijing 100029, China
    3. Research Institute of Chemical Defense, Military Seience Academy, Beijing 100191, China
    4. College of Arts and Sciences, Beijing Institute of Fashion Technology, Beijing 100029, China
  • Received:2021-10-29 Revised:2022-08-04 Online:2022-11-15 Published:2022-12-26
  • Contact: CHANG Suqin E-mail:csqdlut@163.com

Abstract:

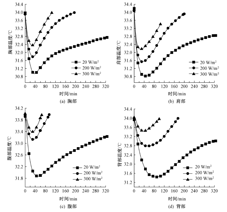
In order to migrate heat strain on workers in the heat, a cooling garment was designed using polymeric cooling storage materials. In a simulated hot environment (temperature 34 ℃), three levels of work intensity (20, 200, and 300 W/m2) and three levels of relative humidity (20%, 50%, and 80%) were selected for systematically evaluating the cooling performance of the cooling garment utilizing dry thermal manikin controlled constant power. Results show that cooling garment is able to lower skin temperature, and for all local skin temperatures, the maximum cooling gradient is 3.4 ℃ and the maximum cooling rate is 0.081 ℃/min. Work intensity has a significant effect on effective cooling time, which for the torso under the selected work intensities were over 420, 165 and 102 min, respectively. Relative humidity has a significant effect on cooling gradient, and the cooling gradient of torso under the selected relative humidities were 1.8,1.2 and 0.4 ℃, respectively. Evaporative cooling garment has a mild cooling process, without sudden cooling and over cooling, which makes it suitable for wearing under moderate work intensity and moderate humidity conditions.

Key words: evaporative, cooling garment, work intensity, relative humidity, skin temperature

CLC Number: 

  • TS941.17

Fig.1

Style chart of cooling garment. (a) Front; (b) Back"

Fig.2

Object of cooling garment. (a) Before activation; (b) After activation"

Fig.3

Effect of work intensity on development of regional skin temperatures. (a) Chest; (b) Shoulder; (c) Abdomen; (d) Back"

Fig.4

Effect of work intensity on development of torso skin temperature"

Tab.1

Effect of work intensity on local cooling performance of cooling garment"

劳动强
度/(W·
m-2)
部位 降温梯
度/℃
温度最低
点时间/
min
有效降温
时长/
min
皮肤温度
变化速度/
(℃·min-1)
舒适降
漏时长/
min
20 胸部 3.0 37 >420 0.081 75
肩部 3.4 45 >420 0.076 74
腹部 2.1 48 >420 0.044 711
背部 2.5 87 >420 0.029 714
躯干 2.7 49 >420 0.055 77
200 胸部 2.1* 30 194* 0.070 82
肩部 2.6* 36 208* 0.072 128
腹部 0.8* 33 96* 0.024 0
背部 1.2 57* 175# 0.021 68
躯干 1.6* 36 165# 0.044 82
300 胸部 1.6# 24* 107# 0.067 0
肩部 2.1* 25* 137# 0.084 0
腹部 0.6* 28* 66# 0.021 0
背部 0.6 34* 97# 0.018 0
躯干 1.2# 29* 102# 0.041 0

Fig.5

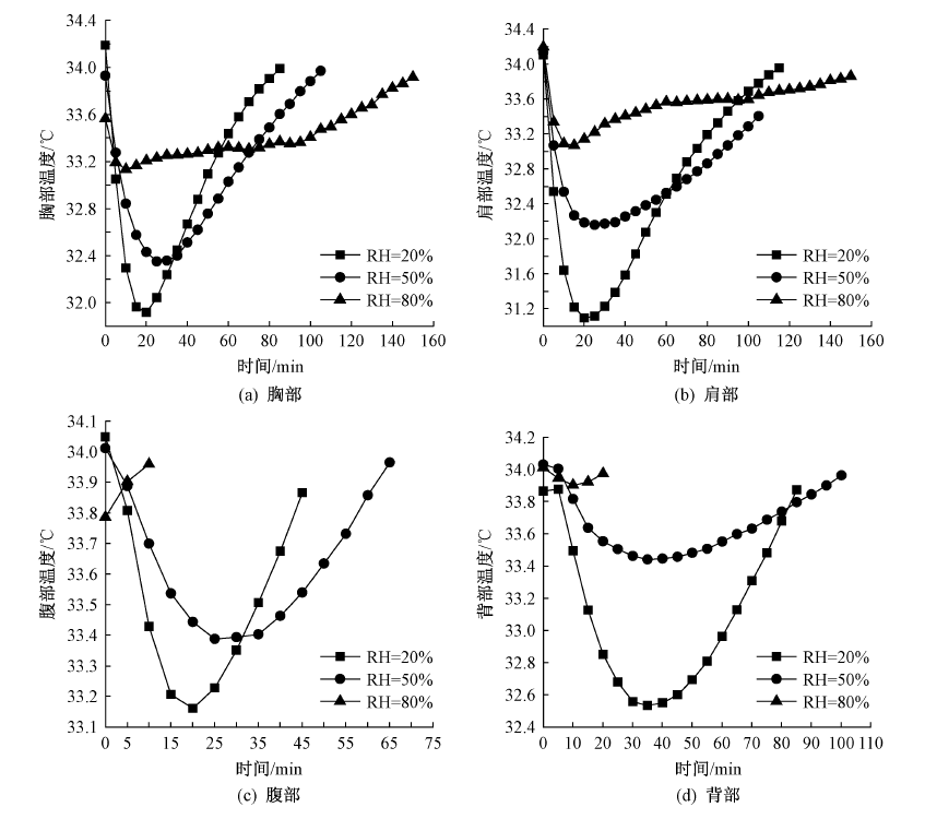
Effect of relative humidity on development of regional skin temperatures. (a) Chest; (b) Shoulder; (c) Abdomen; (d) Back"

Fig.6

Effect of relative humidity on development of torso skin temperature"

Tab.2

Effect of relative humidity on local cooling performance of cooling garment"

相对
湿度/%
部位 降温梯度/
温度最低
点时间/
min
有效降温
时长/
min
皮肤温度
变化速度/
(℃·min-1)
20 胸部 2.3 18.0 86 0.128
肩部 3.0 22.0 119 0.136
腹部 0.9 19.0 48 0.047
背部 1.3 35.0 88 0.037
躯干 1.8 22.0 82 0.082
50 胸部 1.6 24.0 107 0.067
肩部 2.0* 25.0 137 0.08
腹部 0.6* 28.0 66* 0.021
背部 0.7* 34.0 97* 0.021
躯干 1.2* 29.0 102 0.041
80 胸部 0.4* 8.7# 160# 0.046
肩部 1.1* 13.0 164 0.085
腹部 0 0.0 0
背部 0.1# 9.3# 230# 0.011
躯干 0.4# 11.0* 86 0.036
[1] 董洋洋, 马建, 唐娜, 等. 高温热浪对中国人群死亡影响的Meta分析[J]. 热带医学杂志, 2021, 21(5):561-565.
DONG Yangyang, MA Jian, TANG Na, et al. Meta-analysis of the impact of heat wave on mortality in China[J]. Journal of Tropical Medicine, 2021, 21(5): 561-565.
[2] 王云仪, 赵蒙蒙. 高温强辐射下相变降温服的热调节作用客观测评[J]. 纺织学报, 2012, 33(5):101-105.
WANG Yunyi, ZHAO Mengmeng. Objective evaluation on thermal adjusting effect of PCM cooling vest under high temperature and strong radiation[J]. Journal of Textile Research, 2012, 33(5):101-105.
[3] 何骞. 基于相变材料的个体冷却服及其降温性能研究[D]. 西安: 西安科技大学, 2018:2-3.
HE Qian. Study on personal cooling garment based on phase change materials and its cooling performance[D]. Xi'an: Xi'an University of Science and Technology, 2018:2-3.
[4] 李利娜, 钱晓明, 范金土. 冷却服的冷却性能测试与分析[J]. 天津工业大学学报, 2008(5):47-50.
LI Lina, Qian Xiaoming, FAN Jintu. Test and analysis of cooling performance of cooling garments[J]. Journal of Tiangong University, 2008(5):47-50.
[5] NILESH K T. Personal protective equipment and personal cooling garments to reduce heat-related stress and injuries[J]. Medico-Legal Journal, 2020, 88(S1): DOI: 10.1177/002581722093588.
doi: 10.1177/002581722093588
[6] MOTAHAREH M Y, MOHAMMAD S. Personal cooling garments: a review[J]. Journal of The Textile Institute, 2014, 105(12): 1231-1250.
doi: 10.1080/00405000.2014.895088
[7] YANG H, CAO B, JU Y, et al. The effects of local cooling at different torso parts in improving body thermal comfort in hot indoor environments[J]. Energy and Buildings, 2019, 198: 528-541.
doi: 10.1016/j.enbuild.2019.06.004
[8] 郑晴, 王宏付, 柯莹, 等. 相变降温矿工服的设计与评价[J]. 纺织学报, 2020, 41(3): 124-129.
ZHENG Qing, WANG Hongfu, KE Ying, et al. Design and evaluation of cooling clothing by phase change materials for miners[J]. Journal of Textile Research, 2020, 41(3): 124-129.
[9] 王小波, 钱晓明, 王立晶, 等. 液体冷却服研究进展及消防应用可行性研究[J]. 纺织学报, 2021, 42(6):198-207.
WANG Xiaobo, QIAN Xiaoming, WANG Lijing, et al. Review on liquid cooling garment and its feasibility study in firefighting[J]. Journal of Textile Research, 2021, 42(6):198-207.
[10] ZHANG C K, CHEN Y, LIANG G J, et al. Heat strain in chemical protective clothing in hot-humid environment: effects of clothing thermal properties[J]. Journal of Central South University, 2021, 28(12): 3654-3665.
doi: 10.1007/s11771-021-4670-5
[11] ZHAO Y, YI W, CHAN A P C, et al. Evaluating the physiological and perceptual responses of wearing a newly designed cooling vest for construction workers[J]. Annals of Work Exposures and Health, 2017, 61(7): 883-901.
doi: 10.1093/annweh/wxx055 pmid: 28810683
[12] BACH A J E, MALEY M J, MINETT G M, et al. An evaluation of personal cooling systems for reducing thermal strain whilst working in chemical/biological protective clothing[J]. Frontiers in Physiology, 2019, 10: 424.
doi: 10.3389/fphys.2019.00424 pmid: 31031643
[13] WANG F, SONG W. An investigation of thermophysiological responses of human while using four personal cooling strategies during heatwaves[J]. Journal of Thermal Biology, 2017, 70:37-44.
doi: S0306-4565(16)30432-6 pmid: 29074024
[14] 戴宏钦, 卢业虎. 服装工效学[M]. 苏州: 苏州大学出版社, 2017:28-32.
DAI Hongqin, LU Yehu. Clothing ergonomics[M]. Suzhou: Soochow University Press, 2017:28-32.
[15] 郑晴. 基于相变材料的井下降温煤矿作业服设计与评价[D]. 无锡: 江南大学, 2020: 2-14.
ZHENG Qing. Design and evaluation of cooling workwear for underground mines based on phase change materials[D]. Wuxi: Jiangnan University, 2020: 2-14.
[16] 常素芹, 余兵, 王远途, 等. 抗菌防霉高分子蓄冷材料及其制备方法: 201510782840.2[P]. 2016-02-24.
CHANG Suqin, YU Bing, WANG Yuantu, et al. Antibacterial, mildew treated, polymer cold storage material and preparation method: 201510782840.2[P]. 2016-02-24.
[17] 柯莹, 周文. 个体降温服降温效应评价指标及方法[J]. 服装学报, 2021, 6(1): 1-7.
KE Ying, ZHOU Wen. Evaluation indicators and methods of cooling effects for personal cooling clothing[J]. Journal of Clothing Research, 2021, 6(1): 1-7.
[18] 朱颖心. 建筑环境学[M]. 4版. 北京: 中国建筑工业出版社, 2016: 94-96.
ZHU Yingxin. Built environment[M]. 4th ed. Beijing: China Architecture & Building Press, 2016: 94-96.
[19] 陈颖. 极端环境下人体劳动安全的研究[D]. 天津: 天津大学, 2009: 12-16.
CHEN Ying. Research on human labor security under extreme heat environment[D]. Tianjin: Tianjin University, 2009: 12-16.
[20] 李俊, 王云仪, 张渭源. 人体着装部位间皮肤冷感受之差异性研究:冷感受性敏感秩位的配对比较分析[J]. 东华大学学报(自然科学版), 2002(6):12-16.
LI Jun, WANG Yunyi, ZHANG Weiyuan. Study on skin sensitive difference of human body sections under clothing: comparative judging of body sections' cold sensitivity sequence[J]. Journal of Donghua Univer-sity (Natural Science Edition), 2002(6):12-16.
[21] 李俊, 王云仪, 张渭源. 人体着装部位间皮肤冷感受之差异性研究:局部皮肤温度变化的多重比较[J]. 东华大学学报(自然科学版), 2002(3):13-19.
LI Jun, WANG Yunyi, ZHANG Weiyuan. Study on skin sensitive difference of human body sections under clothing: multiple analysis of skin surface temperature changes[J]. Journal of Donghua University (Natural Science Edition), 2002(3):13-19.
[22] 张辉. 服装工效学[M]. 北京: 中国纺织出版社, 2009:12-14.
ZHANG Hui. Clothing ergonomics[M]. Beijing: China Textile & Apparel Press, 2009:12-14.
[1] ZHANG Zhaohua, CHEN Zhirui, LI Luyao, XIAO Ping, PENG Haoran, ZHANG Yuhan. Airflow sensitivity of local human skin and its influencing factors [J]. Journal of Textile Research, 2021, 42(12): 125-130.
[2] NIU Mengyu, PAN Shuwen, DAI Hongqin, LÜ Kaimin. Relationship between thermal-moist comfort of medical protective clothing and human fatigue [J]. Journal of Textile Research, 2021, 42(07): 144-150.
[3] WANG Xiaobo, QIAN Xiaoming, WANG Lijing, LIU Yongsheng, BAI He. Review on liquid cooling garment and its feasibility study in fire fighting [J]. Journal of Textile Research, 2021, 42(06): 198-207.
[4] HUANG Qianqian, LI Jun. Research progress on mechanism of human thermal sensation under ambient temperature step change [J]. Journal of Textile Research, 2020, 41(04): 188-194.
[5] ZHENG Qing, WANG Hongfu, KE Ying, LI Shuang. Design and evaluation of cooling clothing by phase change materials for miners [J]. Journal of Textile Research, 2020, 41(03): 124-129.
[6] . Theoretical and experimental analysis on heat transfer performance of dew point indirect evaporative cooler [J]. Journal of Textile Research, 2018, 39(11): 150-157.
[7] . Review of cooling and heating garments [J]. JOURNAL OF TEXTILE RESEARCH, 2018, 39(07): 174-180.
[8] . Preparation of skin of thermal manikin Walter with human sweating ratio [J]. JOURNAL OF TEXTILE RESEARCH, 2018, 39(05): 103-107.
[9] . Influence of clothing adopting ventilation system on thermal comfort [J]. JOURNAL OF TEXTILE RESEARCH, 2017, 38(10): 94-97.
[10] . Heat-moisture comfort of fire-fighter’s protective clothing materials [J]. JOURNAL OF TEXTILE RESEARCH, 2017, 38(03): 122-125.
[11] . Measurement and analysis on thermal properties of men’s knitted underwear [J]. JOURNAL OF TEXTILE RESEARCH, 2016, 37(12): 92-96.
[12] . System design analyses and experimental study on sweating guarded hotplates  [J]. Journal of Textile Research, 2015, 36(03): 128-134.
[13] WANG Yun-Yi, ZHAO Meng-Meng. Objective evaluation on thermal adjusting effect of PCM cooling vest under high temperature and strong radiation [J]. JOURNAL OF TEXTILE RESEARCH, 2012, 33(5): 101-105.
[14] YANG Kai;CHEN Yisong;ZHANG Weiyuan. Development of textile′s dynamic heat-moisture measuring instrument based on NI LabVIEW [J]. JOURNAL OF TEXTILE RESEARCH, 2008, 29(3): 25-28.
Viewed
Full text


Abstract

Cited

  Shared   
  Discussed   
[1] . [J]. JOURNAL OF TEXTILE RESEARCH, 2003, 24(06): 33 -34 .
[2] . [J]. JOURNAL OF TEXTILE RESEARCH, 2003, 24(06): 35 -36 .
[3] . [J]. JOURNAL OF TEXTILE RESEARCH, 2003, 24(06): 107 .
[4] . [J]. JOURNAL OF TEXTILE RESEARCH, 2003, 24(06): 109 -620 .
[5] . [J]. JOURNAL OF TEXTILE RESEARCH, 2004, 25(01): 1 -9 .
[6] . [J]. JOURNAL OF TEXTILE RESEARCH, 2004, 25(02): 101 -102 .
[7] . [J]. JOURNAL OF TEXTILE RESEARCH, 2004, 25(02): 103 -104 .
[8] . [J]. JOURNAL OF TEXTILE RESEARCH, 2004, 25(02): 105 -107 .
[9] . [J]. JOURNAL OF TEXTILE RESEARCH, 2004, 25(02): 108 -110 .
[10] . [J]. JOURNAL OF TEXTILE RESEARCH, 2004, 25(02): 111 -113 .