非对称结构聚四氟乙烯中空管式纤维膜的制备及油水分离性能
Preparation and oil-water separation performance of asymmetric structure polytetrafluoroethene empty tube fiber membrane
通讯作者:
收稿日期: 2025-03-24 修回日期: 2025-06-12
| 基金资助: |
|
Received: 2025-03-24 Revised: 2025-06-12
作者简介 About authors
刘劲扬(2001—),男,硕士生。主要研究方向为PTFE膜材料在废水处理领域中的应用。
关键词:
Objective Polytetrafluoroethylene (PTFE) has garnered significant attention due to its exceptional high-temperature resistance and chemical stability. While the structure of PTFE flat-sheet membranes is relatively controllable, PTFE empty tube fiber membranes prepared by uniaxial stretching face challenges in simultaneously controlling pore size and porosity. Method By wrapping the outer surface of PTFE tubular membranes with flat-sheet membranes of varying pore sizes and layers, an asymmetric pore structure was constructed, resulting in PTFE empty tube fiber membranes with suitable pore sizes and high porosity. After hydrophilic modification using materials containing hydrophilic groups. Results The membrane with the highest separation efficiency for oil-in-water emulsions was the modified membrane wrapped with a 0.2 μm flat-sheet membrane and three wrapping layers, achieving a separation efficiency of 99.3%, a pure water flux of 38 710.02 L/(m2·h·MPa), and a permeation flux of 13 010.6 L/(m2·h·MPa). For small-aperture membrane wrapping(0.1 μm,0.2 μm), the gradual increase in flux with additional wrapping layers can be attributed to the expanded separation channels resulting from greater membrane thickness, which provides more porous pathways and a larger effective filtration area, thereby enhancing separation efficiency. Conversely, when wrapping large-aperture membranes(0.45 μm), nodule overlap occurs after multilayer wrapping, and the intrusion of hydrophilic coatings further contributes to pore blockage. The chemical stability of the membrane with the optimal configuration was tested by immersing it in 6% sodium hypochlorite solution, 0.1 mol/L NaOH solution, and 0.1 mol/L H2SO4 solution for 12 h. The fluxes were 37 640.33, and 34 950.57 L/(m2·h·MPa), respectively, indicating that the modified membrane exhibited excellent oxidation resistance and strong acid/alkali resistance. Analysis of oil-in-water emulsion separation under different pressures showed that the membrane remained stable at 0.24 MPa. Conclusion By wrapping different flat-sheet membranes on the outer surface of PTFE empty tube fiber membranes, the maximum pore size was reduced while retaining the original porosity of the tubular membranes. The modified membrane achieved a maximum pure water flux of 45 540.1 L/(m2·h·MPa), while the optimal performance was observed in the tubular membrane wrapped with a 0.2 μm flat-sheet membrane and three layers, exhibiting a water flux of 38 710.02 L/(m2·h·MPa) and a contact angle of 45.2°. At this condition, the membrane demonstrated a separation efficiency of 99.3%, along with excellent resistance to acids, alkalis, and strong oxidants, making it suitable for most wastewater treatment environments. The membrane maintained stable operation under a maximum pressure of 0.22 MPa, indicating broad prospects for applications in oil-water separation.
Keywords:
本文引用格式
刘劲扬, 李成才, 朱海霖, 郭玉海, 姜学梁.
LIU Jinyang, LI Chengcai, ZHU Hailin, GUO Yuhai, JIANG Xueliang.
聚四氟乙烯(PTFE)由四氟乙烯单体聚合而成。PTFE中碳氟键具有较高的键能(485 kJ/mol),且氟原子结构高度对称、排列结构规整、所形成树脂的结晶度(96%~98%)较大[9],从而导致由PTFE制备的膜材料具有突出的化学稳定性,高耐热性,强疏水性和高断裂韧性[10-11],在实际应用中可通过强酸、强碱、强氧化剂等试剂对其处理来恢复其通量。单向拉伸法制备的膨体PTFE中空管式纤维膜比双向拉伸法制备的膨体PTFE平板纤维膜具有更大的过滤面积,集成度更高,同样处理相同数量的污水,PTFE中空管式纤维膜膜组器的占地面积更小,同时PTFE中空管式纤维膜可通过反向清洗进行维护,反向清洗所用的水一般都是系统本身的产水,费用很低,在水处理领域应用更为广泛。
受制备工艺影响,单向拉伸法制备的PTFE中空管式纤维膜孔径和孔隙率难以同时有效控制,这使得PTFE中空管式纤维膜应用受限。为克服这些缺陷,本文将单向拉伸的膨体PTFE中空管式纤维膜和双向拉伸法制备的膨体PTFE平板纤维膜通过包缠-热复合方法制备出非对称结构PTFE中空管式纤维膜,并对其进行亲水改性。研究了PTFE平板纤维膜孔径、包缠的层数对非对称结构PTFE中空管式纤维膜过滤性能影响,考察所制备的膜的稳定性,为非对称结构PTFE中空管式纤维膜在油水分离领域应用提供参考。
1 实验部分
1.1 实验材料
聚四氟乙烯(PTFE)中空管式纤维膜(平均孔径为5 μm),山东格瑞沃特环保科技有限公司;PTFE平板纤维膜(平均孔径为0.1、0.2、0.45 μm),浙江格尔泰斯环保特材科技股份有限公司;聚醋酸乙烯酯(PVAc,平均相对分子质量为3 0000)、戊二醛(GA,质量分数为25%)、浓盐酸(HCl,质量分数为98%)、氢氧化钠(NaOH)、次氯酸钠溶液(质量分数为6%)、十二烷基磺酸钠(质量分数为98%),上海麦克林生化科技股份有限公司;无水乙醇,杭州高晶精细化工有限公司;浓硫酸(H2SO4,质量分数为98%),湖州双林化学科技有限公司;植物油,购自物美超市;去离子水,实验室自制。
1.2 PTFE管式膜的包缠与亲水改性
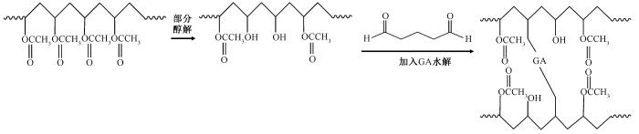
图1为包缠法制备非对称PTFE中空管式纤维膜示意图。首先,使用不同孔径的PTFE平板纤维膜分别包缠在PTFE中空管式纤维膜上,包缠层数为0、1、2、3层,包缠工艺流程为分切、包缠、热定形,根据包缠平板膜的孔径和层数,将所制备膜命名为M、Max、Mbx、Mcx,a表示包缠孔径为0.1 μm;b表示包缠孔径为0.2 μm;c表示包缠孔径为0.45 μm;x为包缠层数,取1~3层。具体方法:采用分切机将PTFE平板纤维膜分切,随后采用绕包机将平板纤维膜按一定角度螺旋缠绕在中空管式纤维膜外表面,最后在360 ℃下加热,热定形后得到非对称结构PTFE中空管式纤维膜[12]。将包缠后的管式纤维膜进行亲水改性,改性方法参照团队之前的工作[13],称取一定量的PVAc于烧瓶中,加入无水乙醇,在50 ℃下搅拌至完全溶解,后将PVAc乙醇溶液温度降至40 ℃,滴加一定量的NaOH-乙醇混合溶液使PVAc部分醇解,使用HCl调节pH值为7,得到溶剂型亲水剂。称取一定量的GA加入上述溶液,搅拌混合均匀,使用浓硫酸调节pH值为3~4,将PTFE膜浸入混合溶液10 min,取出后在60 ℃下烘干2 h,烘干后的膜浸入NaOH溶液,在45 ℃下使PVAc充分水解形成聚乙烯醇(PVA),将得到的改性膜干燥,其机制如图2所示。
图1
图1
包缠法制备非对称结构PTFE中空管式纤维膜示意图
Fig.1
Preparation diagram of empty tube fiber membrane in PTFE with asymmetric structure by wrapping method
图2
图2
亲水性非对称结构PTFE中空管式纤维膜制备机制
Fig.2
Preparation mechanism of asymmetric PTFE empty tube fiber membrane in hydrophilic
1.3 改性膜的形貌表征及性能测试
表面形貌观察。使用ULTRA55型扫描电子显微镜(德国Carl Zeiss公司)观察膜表面微观形貌变化。
泡点测试。将膜用无水乙醇浸润后,使用泡点测试仪进行测试。每个样品测试10次,取平均值。
纯水通量测试。利用自制的错流过滤装置测试PTFE中空管式纤维膜的纯水渗透通量。测试前在0.2 MPa压力下预压30 min,后在0.1 MPa测试纯水渗透通量。
水接触角测试。使用JY-82B型视频接触角测定仪(承德鼎盛试验机检测设备有限公司)测试改性前后膜的静态水接触角。将膜平整地固定在样品台上,使用微量注射器滴加3 μL的去离子水到膜样品的表面。在水滴接触到膜表面的瞬间记录水滴的侧面图像。使用软件拟合水滴轮廓并估得水接触角的数值,每个样品随机选取5个位点进行测试。
油水分离性能测试。首先在1 L的去离子水中加入1 g的植物油,0.2 g十二烷基磺酸钠作为乳化剂,混合后使用乳化机在10 000 r/min下乳化制备成水包油乳液。使用错流过滤装置在0.25 MPa下运行30 min,之后测试膜的渗透、分离、抗污染性能。用UV-3000BPC型紫外-可见分光光度计(上海美谱达仪器有限公司)测定分离后溶液的吸光度,计算出分离效率。测试膜的有效面积为18.85 cm2。膜通量Jw计算公式为
式中:Jw为渗透通量,L/(m·h);V为一段时间Δt(h)内通过膜的渗透体积,L;A为有效过滤面积,m2。
破乳压力测试。对膜在进行水包油乳液分离时使用不同的压力环境(0.1~0.3 MPa),每次增加压力稳定通量10 min,使用膜通量公式计算渗透通量,直至膜的渗透效率骤降,该点作为膜的破乳压力,以评估膜的适用范围。
化学稳定性测试。将所制备的亲水非对称结构PTFE中空管式纤维膜分别浸泡在6%次氯酸钠溶液、0.1 mol/L NaOH溶液、0.1 mol/LH2SO4溶液中12 h,使用去离子水清洗表面残留溶液后,在60 ℃烘箱干燥后,使用自制的错流过滤装置测试膜的纯水通量,通过对比评估浸泡后膜的化学稳定性。
2 结果与讨论
2.1 表面形貌分析
单向拉伸法制备的中空管式纤维膜内外表面条状型纤维和节点呈周期性排列,从而构成了中空管式纤维膜的微孔,受制备工艺影响,孔径大小和孔隙率难以有效控制,如图3(a)、(b)所示。双向拉伸法制备的PTFE平板纤维膜表面形貌如图3(c)所示,呈明显的蜘蛛网状结构,具有高孔隙率且孔径可控制的特点。包缠不同孔径的非对称结构PTFE中空管式纤维膜外表面结构如图3(d)~(f)所示。膜外表面已经呈现蜘蛛网状的孔状结构,内表面仍是条状型纤维和节点(见图3(g)),与单向拉伸法制备的中空管式纤维膜相比表现出非对称的孔结构,同时受到热定型的影响,表面平板纤维膜与中空管式纤维膜的纤维重排形成新的节点,孔径和孔隙率达到理想的状态,显现出非对称结构的优越性。包缠3层后经过亲水改性处理,膜表面结构如图3(h)所示。纤维和节点被亲水涂层覆盖,孔道重排形成新的孔结构。
图3
图3
不同膜的表面形貌照片
Fig.3
Surface topography of different membrane. (a) Outer surface of hollow tubular fiber membrane; (b) Inner surface of hollow tubular fiber membrane;(c) PTFE flat fiber membrane surface;(d) 0.1 μm wrap 1 outer surface;(e) 0.2 μm wrap 1 layer outer surface; (f) 0.45 μm wrap 1 outer surface; (g) 0.2 μm wrap 1 layer inner surface; (h) 0.2 μm wrap 3 layers of hydrophilic modified outer surface
2.2 平板膜孔径及层数对膜孔径的影响
对所制备的非对称结构PTFE中空管式纤维膜进行乙醇泡点测试,用以分析其孔径,每组样品测试10次取平均值,结果如图4所示。可看出,在PTFE中空管式纤维膜表面包缠单层不同孔径平板膜后,其起泡点压力呈现显著规律性变化:当包缠层孔径为0.1 μm时,起泡点压力达(0.14±0.18)MPa;平板膜孔径增大至0.2、0.45 μm时,起泡点压力分别降至(0.09±0.014) MPa和(0.054±0.007) MPa。此现象表明非对称结构PTFE中空管式纤维膜泡点与包缠层平板膜孔径呈负相关关系,即随着包缠层孔径的减小,非对称结构PTFE中空管式纤维整体孔径随之降低,导致非对称结构PTFE中空管式纤维泡点压力升高。这一现象可通过非对称结构PTFE中空管式纤维的层级结构特征进行阐释。当包缠层孔径显著小于基膜孔径时,非对称结构PTFE中空管式纤维的泡点主要由包缠层决定。0.1 μm包缠层使起泡点压力提升至(0.14±0.18)MPa,说明此时包缠层已形成致密的表层结构,成为限制气体穿透的主要屏障。随着包缠层孔径增大,表层对流体通道的限制作用减弱,导致泡点压力呈阶梯式下降。
图4
图4
平板膜孔径及层数对非对称膜泡点压力的影响
Fig.4
Influence of flat sheet membrane pore size(a) and number of layers(b) on bubble point pressure of asymmetric membranes
在PTFE中空管式纤维膜表面包缠不同层数的平板膜后,其全泡点压力随包缠层数增加整体呈上升趋势。该结果表明:无论包缠层原始孔径大小,增加层数均可提升泡点压力,但提升幅度受包缠层自身孔径制约。当包缠层数增加时,流体需依次穿透各层膜孔。单层包缠可能存在局部大孔或结构缺陷,而多层包缠可通过覆盖上层缺陷实现“自修复”,包缠层原始孔径越大,层数增加对泡点的提升效果越显著。表明多层结构有效降低了缺陷密度,提升膜层均质性。
2.3 亲水改性对膜孔径和渗透性能的影响
在非对称结构PTFE中空管式纤维膜表面沉积亲水涂层后,不同孔径及层数的非对称结构PTFE中空管式纤维膜泡点呈现随着层数增加而提高的变化,在包缠孔径较小(0.1、0.2 μm)的平板膜时,泡点增幅不明显,而在3层时增加,且均高于未改性膜,主要原因是亲水涂层缩小有效孔径,如填充或堵塞膜孔,导致泡点上升,对于PTFE膜而言,乙醇浸润后其乙醇接触角应该接近为0的完全润湿状态,同时亲水改性后膜的表面张力升高,则根据Young-Laplace方程,孔径发生减小,导致实际泡点增高,说明孔径减小主导了泡点变化,多层叠加的平板膜加上亲水涂层进一步抑制了孔道的连通,结果如图5所示。
图5
图5
亲水改性后非对称结构PTFE中空管式纤维乙醇泡点压力
Fig.5
Empty tube point pressure of hydrophilically modified asymmetric structured PTFE hollow fiber
图6示出不同包缠层数的非对称结构PTFE中空管式纤维的纯水通量。由图可知,随着包缠平板膜孔径的增大,非对称结构PTFE中空管式纤维膜的纯水通量呈现逐渐增大后下降的趋势,纯水通量分别为:8 120.4、9 010.9、12 610.4、25 830.7、33 450.8、38 710.02、45 540.1、43 430.9、43 200.1 L/(m2·h·MPa)。0.1 μm孔径膜包缠制备的非对称结构PTFE中空管式纤维膜的纯水通量随着层数增加而上升,但接触角也随之增加,这与预期不符,亲水改性通常应该降低接触角θ,根据Wenzel模型cosθ'=rcosθ(式中:θ'为粗糙表面表观接触角,(°);θ为理想光滑表面本征接触角,(°);r为粗糙度因子),实际接触角增大,产生的原因可能是0.1 μm孔径膜相对于大孔径膜其表面粗糙度是较小的,沉积亲水涂层后表面粗糙度较低,接触角增加,而0.2 μm孔径膜包缠制备的非对称结构PTFE中空管式纤维膜的纯水通量随着层数增加而上升,但接触角也随之降低,符合预期,包缠该孔径的膜随着层数增加进一步优化了孔结构,提升通量的同时降低水接触角。0.45 μm孔径膜包缠制备的非对称结构PTFE中空管式纤维膜的纯水通量随着层数增加而下降,可归因于大孔径膜的机械强度低,多层包缠并亲水改性后引发孔道坍塌,物理压力可能导致孔径被压缩,结构变形,从而减少有效孔径,0.45 μm孔径膜的结节较大,多层包缠后结节相互覆盖,可能存在膜孔堵塞,大孔径的膜亲水涂层更易渗透膜孔,进一步形成堵塞,导致膜通量下降,水接触角由于不均匀性呈现无序结构。
图6
图6
不同包缠层数的非对称结构PTFE中空管式纤维膜的纯水通量与水接触角
Fig.6
Pure water flux and water contact angle of asymmetric structured PTFE hollow fiber membranes in PTFE with different wrapping layers
2.4 油水分离性能分析
2.4.1 包缠孔径和层数的影响
所制备的亲水性非对称结构PTFE中空管式纤维膜的油水分离效果如图7所示。可看出,包缠孔径为0.1、0.2 μm的PTFE平板膜时,随着包缠层数的增加,非对称结构PTFE中空管式纤维膜的渗透通量表现出上升趋势,渗透通量分别为:1 150.40、1 250.7、1 580.7、9 230.8、11 010.9、13 010.6、21 290.5、15 540.1、14 830.8 L/(m2·h·MPa)。包缠0.45 μm的PTFE平板膜时,随着包缠层数的增加,非对称结构PTFE中空管式纤维膜的渗透通量呈下降趋势。包缠0.1 μm膜时,由于孔径较小,水分子通过效率较低,导致非对称管式纤维膜的渗透通量低;而包缠层数的增加其通量逐渐增大可归因于膜表面分离层厚度增加,导致其在长时间压力下的稳定性得到提升,在预压压力下,包缠平板膜的孔径可能会因为压力的挤压导致孔径变形,孔隙率降低,包缠层数增加使分离层厚度增加,进一步提高了其力学性能,在预压压力下孔径、孔隙率得到良好的保持。而包缠0.45 μm的平板膜时,由于其孔径较大,渗透通量相应增加,然而孔径的增加也降低了水包油乳液的分离效率,只有93.7%;包缠层数增加通量下降也可归因于其大孔径力学强度较低,多层包缠后结节相互覆盖,亲水涂层侵入进一步导致膜孔堵塞,在该预压压力下无法长期有效维持,孔结构被破坏。
图7
图7
不同包缠层数的非对称结构PTFE中空管式纤维膜的渗透通量与分离效率
Fig.7
Permeation flux and separation efficiency of asymmetric structured PTFE hollow fiber membrane with different wrapping layers
由图7可看出,对于水包油乳液分离效率最好的非对称结构PTFE中空管式纤维膜是由包缠孔径为0.2 μm、包缠层数为3层所制备膜,此时分离效率达99.3%,表明其具有较高的渗透通量、分离效率和膜孔的稳定性。后续实验均以此条件下制备的非对称结构PTFE中空管式纤维膜为研究对象。
2.4.2 膜的破乳压力分析
为测试非对称结构PTFE中空管式纤维膜最佳使用压力,本研究将操作压力从0.1 MPa升高至0.3 MPa,测试不同压力的除油效果,结果如图8所示。可以看出,膜在0.2 MPa压力以下,膜的分离效率保持较高,达到99.3%。当操作压力到0.22 MPa时,分离效率有所降低,主要是因为压力过高时使得膜表面形成的水化层破环,同时表面残留的油滴受压力驱使渗入膜孔,所以改性膜的操作压力应不高于0.22 MPa。
图8
图8
非对称结构PTFE中空管式纤维膜在不同工作压力下的分离性能
Fig.8
Separation performance of hollow tubular fiber membrane in PTFE with asymmetric structure under different working pressures
2.5 稳定性分析
对上述所选择的最佳比例的亲水性非对称结构PTFE中空管式纤维膜进行化学稳定性测试,结果如图9所示。亲水性非对称结构PTFE中空管式纤维膜在0.1 mol/L的H2SO4溶液中浸泡一段时间膜的水通量略微下降,说明膜在酸性条件下较为稳定,在6%的NaClO溶液、0.1 mol/L的NaOH溶液中浸泡一定时间后,通量分别为37 640.33、34 950.57 L/(m2·h·MPa)。表明亲水涂层在强碱和强氧化性的溶液中同样较为稳定,亲水性非对称结构PTFE中空管式纤维膜具有良好的抗氧化性和耐强酸强碱能力。浸泡3种溶液后改性膜的表面形貌照片如图10所示。可以看出,亲水物质未消失,孔结构保存良好,对比未浸泡前的膜表面未发生明显变化。
图9
图9
亲水性非对称结构PTFE中空管式纤维膜的化学稳定性渗透通量
Fig.9
Chemical stability of empty tube fiber membrane inhydrophilic asymmetric PTFE permeation flux
图10
图10
经过浸泡后非对称结构膜SEM照片
Fig.10
SEM images of asymmetric structured membranes after immersion. (a) NaOH solution immersion;(b)NaClO immersion; (c)H2SO4 immersion
3 结论
选用不同的平板膜包缠在聚四氟乙烯(PTFE)中空管式纤维膜外表面,制备了非对称结构的PTFE中空管式纤维膜,具有适宜孔径和孔隙率,通过后交联法在膜表面包裹含有大量亲水官能团的亲水层,赋予非对称结构的PTFE中空管式纤维膜稳定亲水性,改性后膜纯水通量最大达45 540.1 L/(m2·h·MPa),而性能最佳的0.2 μm包缠3层的管式膜纯水通量为38 710.02 L/(m2·h·MPa),接触角为45.2°,此时膜的分离效率达99.3%,具有良好的耐酸耐碱和耐强氧化性能,可应用于大多数废水处理环境,可在0.22 MPa压力下维持较高的分离效率。
参考文献
An overview of biomass-based Oil/Water separation materials
[J].DOI:10.1016/j.seppur.2023.123767 URL [本文引用: 1]
Surface-modified nanoporous membrane for oil-water separation
[J].
Oily wastewater treatment: methods, challenges, and trends
[J].
DOI:10.3390/pr10040743
URL
[本文引用: 1]
The growing interest in innovations regarding the treatment of oily wastewater stems from the fact that the oil industry is the largest polluter of the environment. The harm caused by this industry is seen in all countries. Companies that produce such wastewater are responsible for its treatment prior to disposal or recycling into their production processes. As oil emulsions are difficult to manage and require different types of treatment or even combined methods, a range of environmental technologies have been proposed for oil-contaminated effluents, such as gravity separation, flotation, flocculation, biological treatment, advanced oxidation processes, and membranes. Natural materials, such as biopolymers, constitute a novel, sustainable solution with considerable potential for oily effluent separation. The present review offers an overview of the treatment of oily wastewater, describing current trends and the latest applications. This review also points to further research needs and major concerns, especially with regards to sustainability, and discusses potential biotechnological applications.
Fabrication of functional biomass carbon aerogels derived from sisal fibers for application in selenium extraction
[J].DOI:10.1016/j.fbp.2018.07.004 URL [本文引用: 1]
Superhydrophobic, ultralight and flexible biomass carbon aerogels derived from sisal fibers for highly efficient oil-water separation
[J].DOI:10.1007/s10570-018-1774-7 [本文引用: 1]
Hybrid membranes for pervaporation separations
[J].DOI:10.1016/j.memsci.2017.07.009 URL [本文引用: 1]
Recent developments in the application of membrane separation technology and its challenges in oil-water separation: a review
[J].DOI:10.1016/j.chemosphere.2023.138528 URL [本文引用: 1]
Biomass chitosan-based complexes with superwettability for oil-water separa-tion
[J].DOI:10.1016/j.mtchem.2024.102265 URL [本文引用: 1]
Super-hydrophobic PTFE hollow fiber membrane fabricated by electrospinning of Pullulan/PTFE emulsion for membrane deamination
[J].DOI:10.1016/j.seppur.2020.118186 URL [本文引用: 1]
Performance properties and applications of polytetrafluoroethy-lene(PTFE): a review
[J].DOI:10.1007/s42114-018-0023-8 [本文引用: 1]
Multifunctionalization of PTFE membrane surface for biofouling resistance and oil/water separation performance improvement
[J].DOI:10.1016/j.jece.2022.109158 URL [本文引用: 1]
/
| 〈 |
|
〉 |

京公网安备11010502044800号