纺织学报 ›› 2019, Vol. 40 ›› Issue (04): 140-144.doi: 10.13475/j.fzxb.20180305205

• 机械与器材 • 上一篇    下一篇

波段分区的数码喷墨印花机光谱特性化模型

田全慧1(), 顾萍1, 朱明2   

  1. 1.上海出版印刷高等专科学校 国家新闻出版署柔版印刷绿色制版与标准化实验室, 上海 200093
    2.河南工程学院 材料与化学工程学院, 河南 郑州 450007
  • 收稿日期:2018-03-22 修回日期:2018-12-05 出版日期:2019-04-15 发布日期:2019-04-16
  • 作者简介:田全慧(1974—),女,副教授,博士。主要研究方向为颜色光学和印刷光学等。E-mail:tqh0509@163.com
  • 基金资助:
    国家自然科学基金项目(61301231);柔版印刷绿色制版与标准化实验室重点实验室招标项目(ZBKT201703)

Spectral reflectance piecewise partition model for characterizing digital inkjet printer

TIAN Quanhui1(), GU Ping1, ZHU Ming2   

  1. 1. Green Platemaking and Standardization Key Laboratory for Flexographic Printing, Shanghai Publishing and Printing College, Shanghai 200093, China
    2. School of Materials and Chemical Engineering, Henan University of Engineering, Zhengzhou, Henan 450007, China
  • Received:2018-03-22 Revised:2018-12-05 Online:2019-04-15 Published:2019-04-16

摘要:

为提高数码喷墨印花技术颜色复制质量,研究了数码喷墨印花机的光谱特性化模型,提出基于光谱反射率的波段分区的数码喷墨印花机特性化模型。该模型针对31 维光谱反射率数据与喷墨印花设备驱动值间的非线性关系,按照反射率波段进行分区,在不同波段分区中使用高次多项式拟合喷墨印花设备输出驱动值与颜色光谱数据的转换,通过转换矩阵实现数码喷墨印花设备的光谱特性化,将该光谱特性化模型应用于蚕丝织物输出实验。结果表明:90%的蚕丝织物喷墨印花色样的测量结果与光谱特性化估算结果的均方根误差都小于 0.001 2,其中最大误差为0.001 9,平均误差值为0.000 8;90%的喷墨印花色样与估算结果的色差小于1.0 NBS,最大色差为 5.709 9 NBS,平均色差为0.570 0 NBS。

关键词: 数码喷墨印花机, 光谱特征化, 光谱波段分区, 设备特征化

Abstract:

In order to improve the quality of color reproduction of digital inkjet printing, this paper studied the spectral characteristics of the printer which is the key technology for the textile inkjet printing, and presented a spectral reflectance piecewise partition model (SRPPM) for characterizing digital textile inkjet printing. Based on the nonlinear relationship between the 31 dimensional spectral reflectance and the digital driving data of the ink-jet printer, the model partitioned according to the reflectance band, used the nonlinear high order polynomial to fit the characteristic conversion coefficient between the output driving data and the color spectral reflectance in different bands, and applied the spectral characteristics of the digital inkjet printer by the obtained conversion matrix. Experimental results with skill textile show that the 90% spectral errors of testing color samples are less than 0.001 2, the maximum spectral error is 0.001 9, and the average spectral error is 0.000 8. While the 90% color differences of testing color samples are less than 1.0 NBS, the maximum value is 5.709 9 NBS and the average value is 0.570 0 NBS.

Key words: digital inkjet printer, spectral characterization, spectral piecewise partition, device characterization

中图分类号: 

  • TS101.3

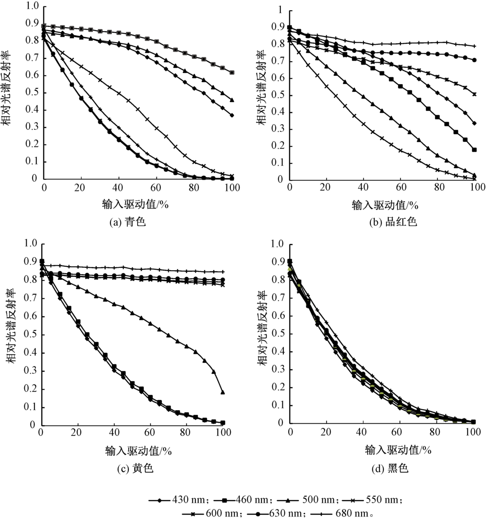
图1

设备数字驱动与光谱反射率在特定波长的关系 (a) Cyan; (b) Magenta; (c) Yellow; (d) Black"

图2

模型结构图 注: R s 为100%的各打印基色的光谱反射率;t为不同基色的阶调值; λ i ( i = 1,2 , … , n ) 为各基色的特征波长;Rn为不同基色在不同阶调值的光谱反射率; f i ( t ) (i=1,2,…,n)为各特征波段对应的转换关系。 "

图3

青、品、黄、黑光谱测量与估算曲线"

图4

光谱均方根误差累积相对频率分布图"

图5

色差(ΔE2000)的累积相对频率分布图"

[1] 黄益, 张海东, 孟一丁, 等. 纺织品数码喷墨印花用蓝光固化颜料墨水之柔性聚合体系研究[J]. 浙江理工大学学报, 2016,35(1):9-16.
HUANG Yi, ZHANG Haidong, MENG Yiding, et al. Study on flexible polymerization system of blue light curing ink for textile digital inkjet printing[J]. Journal of Zhejiang Sci-Tech University, 2016,35(1):9-16.
[2] 田安丽, 房宽峻, 王玉平, 等. 涂料与活性染料喷墨印花的颜色效果[J]. 染整技术, 2013 (7):20-24.
TIAN Anli, FANG Kuanjun, WANG Yuping, et al. Inkjet printing color effects of pigments and reactive dyes[J]. Textile Dyeing and Finishing Journal, 2013 (7):20-24.
[3] 刘杰, 杜长森, 张丽平, 等. 阳离子化棉织物的纳米乳胶荧光颜料染色[J]. 纺织学报, 2016,37(10):56-61.
LIU Jie, DU Changsen, ZHANG Liping, et al. Dyeing process of nanoscale latex fluorescent pigment on cationic cotton fabrics[J]. Journal of Textile Research, 2016,37(10):56-61.
[4] 于海琦, 刘真, 田全慧. 基于主成分分析的彩色扫描仪光谱特性化[J]. 影像科学与光化学, 2015,33(2):161-167.
YU Haiqi, LIU Zhen, TIAN Quanhui. Spectral characterization of color scanners based on principal component analysis[J]. Photographic Science and Photochemistry, 2015,33(2):161-167.
[5] 洪亮, 张浩, 朱明, 等. 基于模拟退火算法优化BP神经网络的色彩空间转换[J]. 包装工程, 2017,38(13):195-198.
HONG Liang, ZHANG Hao, ZHU Ming, et al. Optimization of color space conversion of BP neural network based on simulated annealing algorithm[J]. Packaging Engineering, 2017,38(13):195-198.
[6] 刘强, 黄政, 李庆明, 等. 基于墨量限制样本的打印机光谱特性化模型修正方法[J]. 光谱学与光谱分析, 2018,38(10):3182-3187.
LIU Qiang, HUANG Zheng, LI Qingming, et al. Updating a spectral printer characterization model based on ink limitation samples[J]. Spectroscopy and Spectral Analysis, 2018,38(10):3182-3187.
[7] 刘浩学, 崔桂华, 黄敏, 等. 按波长分区的LCD颜色特征化模型[J]. 光谱学与光谱分析, 2013(10):2751-2757.
LIU Haoxue, CUI Guihua, HUANG Min, et al. Colorimetric characterization of LCD based on wavelength partition spectral model[J]. Spectroscopy and Spectral Analysis>, 2013(10):2751-2757.
[8] HUANG Y, CAO B, XU C, et al. Synjournal process control and property evaluation of a low-viscosity urethane acrylate oligomer for blue light curable ink of textile digital printing[J]. Textile Research Journal, 2014,85(7):759-767.
[1] 郑振荣, 智伟, 韩晨晨, 赵晓明, 裴晓园. 碳纤维织物在热流冲击下的热传递数值模拟[J]. 纺织学报, 2019, 40(06): 38-43.
[2] 沈艳琴, 杨树, 武海良, 王忠梁. 浆纱用中低温水溶性淀粉浆料的研究进展[J]. 纺织学报, 2019, 40(06): 142-151.
[3] 丁川 张建春 冯新星 刘雪强 来侃. 电子束辐照对涤纶染色性能的影响[J]. 纺织学报, 2014, 35(7): 79-0.
[4] 王瑞 张昊 王建坤 董永春. 接枝淀粉理化特性对其上浆性能的影响[J]. 纺织学报, 2014, 35(1): 72-0.
[5] 杨立强, 张淑芝, 苏高峰, 刘学民. 棉织物对油类污渍的脱附[J]. 纺织学报, 2012, 33(3): 93-97.
Viewed
Full text


Abstract

Cited

  Shared   
  Discussed   
No Suggested Reading articles found!