纺织学报 ›› 2019, Vol. 40 ›› Issue (06): 1-7.doi: 10.13475/j.fzxb.20180507007

• 纤维材料 •    下一篇

生物基聚酰胺56低聚物改性聚酯的合成及其表征

张腾飞1, 石禄丹2, 胡红梅1, 王宇1, 王学利3(), 俞建勇3   

  1. 1.东华大学 纺织学院, 上海 201620
    2.东华大学 机械工程学院, 上海 201620
    3.东华大学 纺织科技创新中心, 上海 201620
  • 收稿日期:2018-05-29 修回日期:2019-03-14 出版日期:2019-06-15 发布日期:2019-06-25
  • 通讯作者: 王学利
  • 作者简介:张腾飞(1993—),男,硕士生。主要研究方向为聚酯改性。
  • 基金资助:
    国家重点研发计划项目(2017YFB0309400);“纺织之光”中国纺织工业联合会应用基础研究项目(J201402)

Synthesis and characterization of bio-based polyamide 56 oligomer modified polyester

ZHANG Tengfei1, SHI Ludan2, HU Hongmei1, WANG Yu1, WANG Xueli3(), YU Jianyong3   

  1. 1. College of Textiles, Donghua University, Shanghai 201620, China
    2. College of Mechanical Engineering, Donghua University, Shanghai 201620, China
    3. Innovation Center For Textile Science and Technology, Donghua University, Shanghai 201620, China
  • Received:2018-05-29 Revised:2019-03-14 Online:2019-06-15 Published:2019-06-25
  • Contact: WANG Xueli

摘要:

为改善聚酯(PET)的亲水性,采用生物基聚酰胺56低聚物(LPA56)对聚酯进行共聚改性制备新型聚酰胺酯共聚物。借助核磁共振波谱仪、傅里叶红外光谱仪、X射线衍射仪和光学接触角测量仪等对新型聚酰胺酯的结构和性能进行表征与分析。结果表明:新型聚酰胺酯共聚物兼具酯类和酰胺类特征官能团振动峰,且LPA56的反应率达到80%以上;共聚物的晶型和聚酯晶型相同,但其结晶度随着LPA56质量分数的增加而逐渐降低;随着LPA56质量分数的增加,共聚物的玻璃化转变温度、熔点逐渐降低,但其对共聚物热稳定性影响较小;当加入质量分数为5% 的LPA56时,共聚物的静态接触角从91.5°降低至70.3°;改性后PET纤维的回潮率是改性前的265%,并随着LPA56质量分数的增加而逐渐提高。

关键词: 聚酰胺56, 聚酰胺酯, 改性聚酯, 结晶性能, 亲水性能

Abstract:

In view of the poor hydrophilicity of polyester (PET), a novel polyamide ester copolymer was prepared by copolymerization modification of PET with bio-based polyamide 56 oligomer (LPA56). Structure and properties of the novel polyamide esters were characterized and analyzed by nuclear magnetic resonance spectrometer, Fourier transform infrared spectroscopy, X-ray diffractometer and optical contact angle measuring instrument. The results show that the novel polyamide esters have functional peaks of both esters and amides, and the reaction rate of LPA56 is over 80%. The copolymers and polyesters have the same crystal form. However, the crystallinity decreases with the increase of the amount of LPA56 added. The glass transition temperature and melting point of the copolymer gradually decrease with the increase of the amount of LPA56 added, but the thermal stability of the copolymer is less affected. When 5% LPA56 is added, the static contact angle is greatly reduced from 91.5° to 70.3°, and the fiber moisture regain is 265% of the pre-modified PET fiber, and gradually increases with the amount of LPA56 added.

Key words: polyamide 56, polyamide ester, modified polyester, crystallinity, hydrophilic property

中图分类号: 

  • TQ342.21

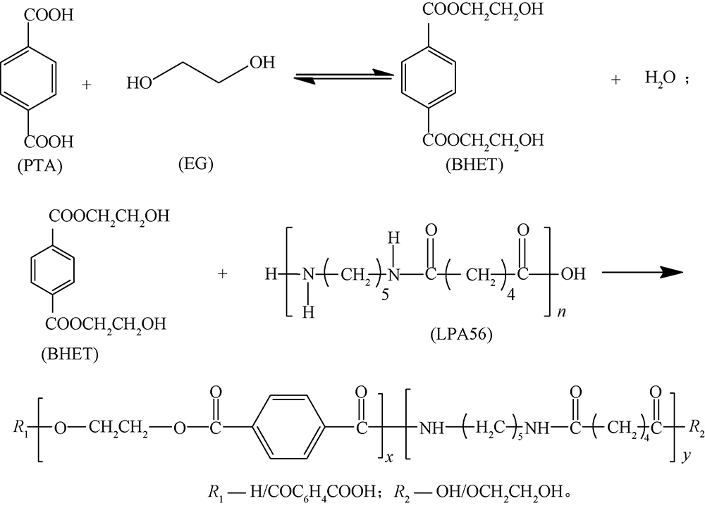
图1

聚酰胺酯反应式"

表1

原材料投料配比"

样品编号 PTA用量/
mol
EG用量/
mol
聚酰胺56低聚物
占比/%
0# 12 16.8 0
1# 12 16.8 5
2# 12 16.8 10
3# 12 16.8 15

图2

聚酰胺酯1H-NMR谱"

图3

不同位置元素标注的聚酰胺酯结构式"

表2

LPA56反应率"

样品编号 理论μLPA56 实际μLPA56 反应率
1# 0.040 0.032 80.0
2# 0.079 0.071 89.9
3# 0.114 0.108 91.2

图4

聚酰胺酯13C-NMR谱"

图5

聚酰胺酯的结构式"

图6

聚酰胺酯红外谱图"

图7

聚酰胺酯广角X射线衍射谱图"

表3

聚酰胺酯广角X射线衍射谱数据"

样品编号 晶面间距/nm 结晶度/%
(010) (11ˉ0) (100)
0# 5.05 3.86 3.44 33.69
1# 5.14 3.90 3.43 27.74
2# 4.96 3.85 3.38 26.80
3# 4.92 3.85 3.39 25.26

图8

聚酰胺酯DSC曲线"

图9

聚酰胺酯的热稳定性曲线"

图10

聚酰胺酯接触角"

图11

聚酰胺酯亲水原理示意图"

[1] BOUMA K, REGRLINK M, GAYMANS R J. Crystallization of poly(ethylene terephthalate) modified with codiols[J]. Journal of Applied Polymer Scince, 2001,80(14):2676-2682.
[2] 郭林锋, 骆唐文, 王依民. PP/PET共混体系及其合金纤维的研究[J]. 合成纤维, 2006,35(12):11-15.
GUO Linfeng, LUO Tangwen, WANG Yimin. Study on PP/PET blend system and its alloy fibers[J]. Synthetic Fiber in China, 2006,35(12):11-15.
[3] 孔繁荣, 陈莉娜, 许瑞超. 亲水改性聚酯纤维的结构与可纺性研究[J]. 棉纺织技术, 2016,44(5):1-4.
KONG Fanrong, CHEN Lina, XU Ruichao. Study on structure and spinnability of hydrophilic modified polyester fiber[J]. Cotton Textile Technology, 2016,44(5):1-4.
[4] 徐卫海, 娄雪芹, 王学利, 等. 生物基戊二胺己二酸盐改性聚酯的合成及结构分析[J]. 东华大学学报(自然科学版), 2016,42(5):663-668.
XU Weihai, LOU Xueqin, WANG Xueli, et al. Synjournal and structure analysis of modified polyester with bio-based diaminopentane hexanedioic salt[J]. Journal of Donghua University(Natural Science Edition), 2016,42(5):663-668.
[5] 江渊, 吴立衡. 红外光谱在聚对苯二甲酸乙二醇酯纤维结构研究中的应用[J]. 高分子通报, 2001(2):62-68.
JIANG Yuan, WU Liheng. Application of infrared spectroscopy in the study of the structure of polyethylene terephthalate fiber[J]. Polymer Bulletin, 2001(2):62-68.
[6] CHEN Bin, GU Lixia. Isothermal crystallization and melt ing behavior of 2-methyl-1,3-propanediol substituted sulstitude fon ated poly(ethylene terephthalate) copolyesters[J]. Journal of Applied Polymer Science, 2010,117(4):2454-2463.
[7] 任军, 孙军, 邱殿銮, 等. 聚对苯二甲酸乙二醇酯/聚丙二醇共聚醚酯热性能研究[J]. 合成技术及应用, 2014 (4):13-16.
REN Jun, SUN Jun, QIU Dianluan, et al. Study on thermal properties of poly (ethylene terephthalate)/poly (propylene glycol) polyether ester[J]. Synthetic Technology and Its Application, 2014(4):13-16.
[8] 杨万泰. 聚合物材料表征与测试[M]. 北京: 中国轻工业出版社, 2008: 15-20.
YANG Wantai. Characterization and Testing of Polymer Materials[M]. Beijing: China Light Industry Press, 2008: 15-20.
[9] 黄芳. 基于PET的聚酰胺酯的制备[D]. 上海:东华大学, 2014: 24-25.
HUANG Fang. Preparation of PET-based polyamide ester[D]. Shanghai: Donghua University, 2014: 24-25.
[10] 张继超, 周蓉, 赵辉, 等. 新戊二醇改性共聚酯的制备及其性能[J]. 东华大学学报(自然科学版), 2016,42(2):185-190.
ZHANG Jichao, ZHOU Rong, ZHAO Hui, et al. Preparation and properties of neopentyl glycol modified copolyesters[J]. Journal of Donghua University(Natural Science Edition), 2016,42(2):185-190.
[11] 何平笙. 新编高聚物的结构与性能[M]. 北京: 科学出版社, 2009: 1-30.
HE Pingsheng. New High Polymer Structure and Perform-ance[M]. Beijing: Science Press, 2009: 1-30.
[12] 缪国华, 秦伟明, 程贞娟. 新戊二醇(NPG)对PET的改性研究[J]. 浙江理工大学学报, 2005,22(4):337-340.
MIAO Guohua, QIN Weiming, CHENG Zhenjuan. Study on modification of PET by NPG[J]. Journal of Zhejiang Sci-Tech University, 2005,22(4):337-340.
[1] 董奎勇, 杨婷婷, 王学利, 何勇, 俞建勇. 生物基聚酯与聚酰胺纤维的研发进展 [J]. 纺织学报, 2020, 41(01): 174-183.
[2] 包红, 徐水, 张小宁, 成国涛, 朱勇. 家蚕丝素蛋白阳离子化及其对羊毛性状的影响[J]. 纺织学报, 2019, 40(07): 24-30.
[3] 向国栋 高庆文 邓倩倩 张须臻 王秀华. 阳离子染料易染改性聚酯的固相缩聚工艺与性能[J]. 纺织学报, 2019, 40(04): 21-25.
[4] 王嘉欣 田秀枝 蒋学 王鸿博 高卫东. 二醛 β-环糊精/壳聚糖改性对涤纶织物亲水性能的影响[J]. 纺织学报, 2018, 39(07): 82-88.
[5] 陈美玉 来悦 孙润军 陈欣 庄浩. 生物基聚酰胺56纤维的结晶行为[J]. 纺织学报, 2017, 38(12): 7-13.
[6] 杨菲 徐山青. 黄麻/豆腐渣/淀粉复合材料的制备及其性能[J]. 纺织学报, 2014, 35(8): 44-0.
[7] 李旭明, 曹婵珍, 陈桂云, 陈丽孝. 等离子体处理对原棉织物亲水性的影响[J]. 纺织学报, 2011, 32(12): 24-27.
[8] 李唯唯;陈国强;张瑞欣. 高岭土改性聚酯纤维的染色性能[J]. 纺织学报, 2008, 29(9): 87-90.
[9] 马清芳;程贞娟;秦伟明;黄志超;钱建华. 水溶性聚酯的制备及其性能[J]. 纺织学报, 2007, 28(6): 20-22.
[10] 管新海;白秀娥. 仿柞蚕丝聚酯纤维的形态结构和性能[J]. 纺织学报, 2006, 27(11): 94-96.
[11] 高洁;李青山;李文刚;李兰;黄象安. 阳离子可染涤纶纤维变色染色工艺探讨[J]. 纺织学报, 2003, 24(05): 73-75.
Viewed
Full text


Abstract

Cited

  Shared   
  Discussed   
No Suggested Reading articles found!