纺织学报 ›› 2019, Vol. 40 ›› Issue (8): 27-34.doi: 10.13475/j.fzxb.20180706908

• 纤维材料 • 上一篇    下一篇

热气流固结纤维网串珠结构可控性及其结晶动力学

周铃1,2,3, 靳向煜1,2,3()   

  1. 1.东华大学 纺织学院, 上海 201620
    2.东华大学 纺织面料技术教育部重点实验室,上海 201620
    3.东华大学 产业用纺织品教育部工程研究中心, 上海 201620
  • 收稿日期:2018-07-25 修回日期:2019-05-09 出版日期:2019-08-15 发布日期:2019-08-16
  • 通讯作者: 靳向煜
  • 作者简介:周铃(1994—),女,硕士生。主要研究方向为热风非织造材料新产品的开发。
  • 基金资助:
    “纺织之光”应用基础研究项目(J201703)

Controllability of bead structure in hot air-through bonded nonwovens and crystallization kinetics thereof

ZHOU Ling1,2,3, JIN Xiangyu1,2,3()   

  1. 1. College of Textiles, Donghua University, Shanghai 201620, China
    2. Key Laboratory of Textile Science & Technology, Ministry of Education, Donghua University, Shanghai 201620, China;
    3. Engineering Research Center of Technical Textiles, Donghua University, Shanghai 201620, China
  • Received:2018-07-25 Revised:2019-05-09 Online:2019-08-15 Published:2019-08-16
  • Contact: JIN Xiangyu

摘要:

为研究热气流固结过程中纤维网串珠结构的可控性,采用二次热处理方法,通过调控聚乙烯/聚对苯二甲酸乙二醇酯(PE/PET)皮芯复合纤维处理温度、处理时间、纤维皮芯比制备不同的串珠结构;利用Image Pro Plus图像处理软件分析串珠结构的变化规律。借助X射线衍射仪研究纤维网中串珠纤维的结晶性能,并从结晶动力学角度,采用差式扫描量热法对纤维网中串珠纤维的结晶过程进行跟踪分析。结果表明:皮芯比为50:50的聚乙烯/涤纶皮芯复合纤维在140 ℃、120 s的二次热处理条件下可得到不规则参数值接近于1的串珠纤维;随热处理温度升高,串珠纤维结晶度先增加后降低,处理温度为140 ℃时结晶度最大;串珠纤维皮层Avrami指数在1左右,随着结晶温度的增加,串珠纤维结晶速率呈下降趋势。

关键词: 聚乙烯/聚对苯二甲酸乙二醇酯皮芯复合纤维, 热风非织造布, 直径分布, 串珠结构, 结晶动力学

Abstract:

In order to realize the controllability of bead structures in hot air-through bonded nonwovens, a secondary heating process was adopted. By controlling the processing temperature and processing time as well as the sheath-core ratio of polyethylene/polyester (PE/PET) composite fibers, beads of different structures were prepared. The change rule of the bead structure was analyzed by using Image Pro Plus image processing software. The crystallization properties of the bead fibers in the web were investigated by an X-ray diffractometer. Differential scanning calorimetry was also adopted to trace the crystallization process of bead structures in the web. The results show that the PE/PET bicomponent fibers with a sheath-core ratio of 50:50 can achieve the most rounded (irregular parameter value close to 1) bead structure under the conditions of the secondary heating temperature of 140 ℃ and the reheating time of 120 s. With the increase of temperature, the crystallinity of bead fiber increases first and then decreases. The isothermal crystal kinetics analysis of the Avrami equation shows that the Avrami index is around 1, and as the crystallization temperature increases, the crystallization rate decreases gradually.

Key words: polyethylene/polyester sheath-core fiber, hot air-through bonded nonwoven, diameter distribution, bead structure, crystallization kinetics

中图分类号: 

  • TS174.1

图1

复合纤维网制备流程图"

表1

试样二次热固结参数"

试样编号 温度/℃ 时间/s 试样编号 温度/℃ 时间/s
1# 0 0 8# 120 120
2# 140 30 9# 130 120
3# 140 60 10# 140 120
4# 140 90 11# 150 120
5# 140 120 12# 160 120
6# 140 150 13# 170 120
7# 140 180

图2

一次热固结纤维网中纤维的扫描电镜照片"

图3

二次热固结纤维网中串珠结构表观形态"

图4

串珠成型的一般模式"

图5

PE/PET皮芯纤维的直径分布及形成串珠后轴径变化统计结果"

图6

串珠轴径随处理温度与时间以及皮芯比的变化"

图7

不同处理温度下PE/PET串珠纤维XRD图"

表2

串珠结构皮芯纤维中皮层结晶测试结果"

样品编号 2θ/(°) Ic Ia β/(°) Xc/% D101/nm d/nm
未处理样品 22.133 14 387 22 981 8.678 38.50 0.93 0.401 3
10# 21.889 21 034 33 444 8.547 38.61 0.94 0.405 7
13# 21.945 9 246 21 483 9.769 30.09 0.81 0.404 6

图8

不同结晶温度下的DSC曲线"

图9

t时刻相对结晶度对时间的拟合曲线"

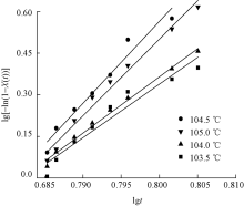
图10

lg[-ln(1-X(t))]对 lgt的拟合直线"

表3

皮层聚合物的等温结晶动力学参数"

Tc/℃ K n t1/2/min G/min-1
103.5 0.89 0.67 0.69 1.45
104.0 0.71 0.70 0.97 1.03
104.5 0.56 0.97 1.25 0.80
105.0 0.45 1.00 1.54 0.65
[1] 谢继华 . 热风非织造布在卫生用品面层的应用与创新[J]. 生活用纸, 2017(3):54-55.
XIE Jihua . Application and innovation of hot air non-woven fabrics in the surface layer of sanitary products[J]. Tissue Paper, 2017(3):54-55.
[2] 谢柠蔚, 张瑜, 张广宇 . 纳米氧化锌对热风非织造材料抗菌性的影响[J]. 棉纺织技术, 2017 ( 11):23-25.
XIE Ningwei, ZHANG Yu, ZHANG Guangyu . Influence of nano zinc oxide on hot air non-woven materials for antibacterial properties.[J]. Cotton Textile Technology, 2018 ( 11):23-25.
[3] STASZEL C, YARIN A L . Point-bonded polymer nonwovens and their rupture in stretching[J]. Polymer, 2018,146:209-221.
[4] 赵斌 . 理想流体近似的讨论[J]. 物理通报, 2016,35(1):123-124.
ZHAO Bin . Discussion of the ideal fluid approxima-tion[J]. Physics Bulletin, 2016,35(1):123-124.
[5] 陈剑锐 . 设计制备杂化涂剂改善芳纶纤维及其复合材料的界面性能[D]. 杭州:浙江理工大学, 2014: 9-10.
CHEN Jianrui . Design and manufacture of hybrid paint to improve aramid fiber and its composite interface performance[D]. Hangzhou: Zhejiang Sci-Tech Technology, 2014: 9-10.
[6] 崔卫国, 吴峰 . PE/PP皮芯型复合纤维[J]. 化纤与纺织技术, 2005(4):18-22.
CUI Weiguo, WU Feng . PE/PP core-shell bicomponent fiber[J]. Chemical Fiber & Textile Technology, 2005(4):18-22.
[7] JACKSON K A . Crystal growth kinetics[J]. Materials Science & Engineering, 1984,65(1):7-13.
[8] 饶朗毓, 蓝永洪, 牛海艳 , 等. 胸水中腺癌细胞和反应性间皮细胞的形态结构定量判别分析[J]. 海南医学院学报, 2012,18(9):1210-1212.
RAO Langyu, LAN Yonghong, NIU Haiyan , et al. Chromatic quantitative analysis of adenocarcinoma cells and reactive mesothelial cells in pleural effusion[J]. Journal of Hainan Medical University, 2012,18(9):1210-1212.
[9] PANG T, DENG J, WANG J , et al. Effects of the annealing temperature on the crystalization and refraction index of the ZnO thin film[J]. Micronanoelectronic Technology, 2015,2:93-97.
[10] 文潮, 李迅, 孙德玉 , 等. 纳米金刚石颗粒粒度的测量与表征[J]. 机械科学与技术, 2003,22(S1):163-165.
WEN Chao, LI Xun, SUN Deyu , et al. Measurement and characterization of nanodiamond particle size[J]. Mechanical Science and Technology for Aerospace Engineering, 2003,22(S1):163-165.
[11] 袁玉珍, 邓尚民 . 布拉格方程在高聚物结构研究中的应用[J]. 物理与工程, 1998(3):33-35.
YUAN Yuzhen, DENG Shangmin . The application of Bragg's equation in the study of polymer structure[J]. Physics and Engineering, 1998(3):33-35.
[12] 张志英, 杜莹华 . 研究高聚物结晶动力学的等速升温DSC方法[J]. 合成纤维工业, 1990(2):41-44.
ZHANG Zhiying, DU Yinghua . A DSC method for calculating crystallization kinetics of polymers under the constant heating rate conditions[J]. China Synthetic Fiber Industry, 1990(2):41-44.
[13] YANG J, JMCCOY B, MADRAS G . Distribution kinetics of polymer crystallization and the Avrami equation[J]. Journal of Chemical Physics, 2005,122(6):064901.
doi: 10.1063/1.1844373 pmid: 15740402
[14] 张志英 . 聚合物结晶动力学理论和方法研究[D]. 天津:天津工业大学, 2006: 4-15.
ZHANG Zhiying . Study on the theory and method of polymer crystallization kinetics[D]. Tianjin: Tianjin Polytechnic University, 2006: 4-15.
[15] 张广成, 史学涛, 项士新 , 等. 成核剂对聚对苯二甲酸乙二醇酯的结晶行为影响[J]. 机械科学与技术, 2006,25(6):641-646.
ZHANG Guangcheng, SHI Xuetao, XIANG Shixin , et al. Influence of nucleation agents on the crystalallization behavior of PET[J]. Mechanical Science and Technology, 2006,25(6):641-646.
[16] 朱平平, 马德柱 . PET和添加型PET结晶动力学研究[J]. 高分子材料科学与工程, 1989(6):36-42.
ZHU Pingping, MA Dezhu . Crystallization kinetics research of PET and additive PET[J]. Polymer Materials Science & Engineering, 1989(6):36-42.
[17] 刘广田 . 季铵盐型聚丙烯接枝物的制备及其在PP/PVC共混体系中的应用[D]. 秦皇岛:燕山大学, 2010: 28-32.
LIU Guangtian . Preparation of quaternary ammonium salt type polypropylene graft and its application in PP/PVC blending system[J]. Qinhuangdao: Yanshan University, 2010: 28-32.
[1] 陈咏, 王晶晶, 王朝生, 顾栋华, 乌婧, 王华平. 低聚物对生物基聚对苯二甲酸丙二醇酯结晶性能的影响[J]. 纺织学报, 2020, 41(10): 1-6.
[2] 陈广建 唐开亮 马士洲 张丽丽 冯新星. 新型长碳链聚酰胺1211的非等温结晶动力学[J]. 纺织学报, 2018, 39(12): 1-6.
[3] 戈欢 朱志国 王锐 尹会会 王睿 张秀芹. 不同分子质量聚乳酸立体复合物的结晶性能及球晶形貌[J]. 纺织学报, 2016, 37(2): 27-34.
[4] 陈海珍. 纳米二氧化钛对聚酯纤维结晶性能的影响[J]. 纺织学报, 2010, 31(4): 25-29.
[5] 廖谦;王依民;施胜华;朱卫彪. TLCP/PPS 原位成纤共混纤维的非等温结晶动力学[J]. 纺织学报, 2010, 31(3): 7-10.
[6] 王银利;陈艳;张晓静;王鸿博;高卫东. 静电纺参数对二醋酸纳米纤维直径分布的影响[J]. 纺织学报, 2010, 31(11): 6-10.
[7] 孙福;钱建华;凌荣根;张国庆;孙艳秋;王铁军. 导电炭黑/聚酯复合材料的等温结晶行为[J]. 纺织学报, 2009, 30(11): 24-28.
[8] 王鸿博;王 曦;何艳丽;于 航;高卫东;李 静;蒋玲玲. 含银PA6纳米纤维的直径分布及其抗静电性能[J]. 纺织学报, 2009, 30(05): 11-15.
Viewed
Full text


Abstract

Cited

  Shared   
  Discussed   
[1] 陈德平;李秀真;伍非;田建林. 络筒机数控卷绕装置控制系统的研究[J]. 纺织学报, 2000, 21(05): 31 -33 .
[2] 李秀华. 新型的改性PVA浆料[J]. 纺织学报, 1987, 8(11): 40 -41 .
[3] 龚丽芳;倪人捷;黄煜;姚成. 双季铵盐表面活性剂对涤纶织物的抗静电性能[J]. 纺织学报, 2008, 29(5): 72 -74 .
[4] 刘 皓;成 玲. 基于改进FKCM方法的针织纱质量评价[J]. 纺织学报, 2009, 30(01): 37 -41 .
[5] 于湖生;候仁澧;郑国宝;刘敏步. 后整理对苧麻/棉混纺针织物机械性能的影响[J]. 纺织学报, 1993, 14(04): 26 -30 .
[6] 陈鑫秋. 天津学会积极贯彻广州会议精神[J]. 纺织学报, 1983, 4(11): 52 .
[7] 钱寿清;夏业骏. K251型丝织机经丝张力机电调节器的研究[J]. 纺织学报, 1983, 4(12): 26 -30 .
[8] . 辽宁——召开“七五”期间印染技术改造讨论会[J]. 纺织学报, 1983, 4(12): 51 .
[9] 余天石;俞捷;邱华;葛明桥. 钙基蒙脱土纳米复合腈纶的形态和性能表征[J]. 纺织学报, 2011, 32(5): 29 -32 .
[10] 余国忠. 对于平幅水洗机的一些看法[J]. 纺织学报, 1982, 3(01): 58 .