纺织学报 ›› 2020, Vol. 41 ›› Issue (01): 1-7.doi: 10.13475/j.fzxb.20180710007

• 纤维材料 •    下一篇

磺胺化聚丙烯腈纳米纤维膜的制备及其对Cr(VI)和Pb(II)的吸附性能

王杰1, 汪滨1,2,3(), 杜宗玺1, 李从举4, 李秀艳1, 安泊儒1   

  1. 1.北京服装学院 材料设计与工程学院, 北京 100029
    2.服装材料研究开发与评价北京市重点实验室, 北京 100029
    3.北京市纺织纳米纤维工程技术研究中心, 北京 100029
    4.北京科技大学 能源与环境工程学院, 北京 100083
  • 收稿日期:2018-07-31 修回日期:2019-10-27 出版日期:2020-01-15 发布日期:2020-01-14
  • 通讯作者: 汪滨
  • 作者简介:王杰(1994—),男,硕士生。主要研究方向为静电纺丝纳米纤维。
  • 基金资助:
    国家自然科学基金项目(21274006);北京市科技计划项目(Z18110000591805);北京市教育委员会科技计划项目(KM201910012010);北京市优秀人才培养资助项目(2017000020124G089);北京服装学院人才引进计划项目(2017A-19)

Preparation of sulfonated polyacrylonitrile nanofiber membranes and adsorption capacity for Cr(VI) and Pb(II)

WANG Jie1, WANG Bin1,2,3(), DU Zongxi1, LI Congju4, LI Xiuyan1, AN Boru1   

  1. 1. School of Materials Design & Engineering, Beijing Institute of Fashion Technology, Beijing 100029, China
    2. Beijing Key Laboratory of Clothing Materials R&D and Assessment, Beijing 100029, China
    3. Beijing Engineering Research Center of Textile Nanofibers, Beijing 100029, China
    4. School of Energy and Environmental Engineering, University of Science and Technology Beijing, Beijing 100083, China
  • Received:2018-07-31 Revised:2019-10-27 Online:2020-01-15 Published:2020-01-14
  • Contact: WANG Bin

摘要:

为更好地吸附水中的Cr(VI)和Pb(II)等重金属离子,并且避免吸附材料对水体的二次污染,利用对甲基苯磺酰胺为功能化试剂,通过水热法对聚丙烯腈(PAN)纳米纤维膜进行化学改性,得到了具有吸附重金属离子功能的磺胺化PAN纳米纤维膜,并研究了该纤维膜对Cr(VI)和Pb(II)的吸附去除性能和机制。结果表明:当水热温度为125 ℃,水热时间为2.5 h时,可得到形貌良好的磺胺化PAN纳米纤维膜;磺胺化PAN纳米纤维膜对Cr(VI)的吸附符合Langmuir模型,且满足二级动力学方程,在质量浓度为50 mg/L的K2Cr2O7溶液中1 h后可达到吸附平衡,吸附量为220.4 mg/g;对Pb(II)的吸附符合Freundlich吸附模型,且满足二级动力学方程,在质量浓度为50 mg/L的Pb(NO3)2溶液中1 h后可达到吸附平衡,吸附量为185.6 mg/g。

关键词: 静电纺丝, 聚丙烯腈, 磺胺化, 吸附性能, 污水处理

Abstract:

In order to better adsorb Cr(VI) and Pb(II) in water and avoid secondary water pollution by the adsorpting materials, polyacrylonitrile electrospun nanofiber membrane (PAN ENM) was chemically modified by reacting with p-toluenesulfonamide through the hydrothermal method, and the modified PAN ENM with the function of adsorbing heavy metal ions was successfully obtained. The removal performance and mechanism of the modified PAN ENM for adsorbing Cr(VI) and Pb(II) were studied. The results show that well-formed modified PAN ENM can be obtained through hydrothermal reaction at 125 ℃ for 2.5 h. The adsorption behavior of the modified PAN ENM for Cr(VI) conformed to the Langmuir model and the pseudo-second-order kinetics. The equilibrium adsorption was reached in 1 h and the adsorption capacity reached 220.4 mg/g in a 50 mg/L K2Cr2O7 solution. The adsorption for Pb(II) fits well to the Freundlich model and the pseudo-second-order kinetics. The equilibrium adsorption is achieved in 1 h and the adsorption capacity is 185.6 mg/g in a 50 mg/L Pb(NO3)2 solution.

Key words: electrospinning, polyacrylonitrile, sulfamation, adsorption behavior, sewage treatment

中图分类号: 

  • TQ340.9

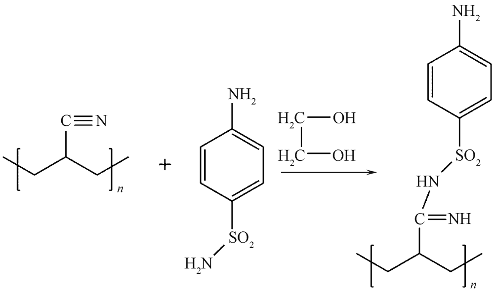
图1

对甲基苯磺酰胺与PAN反应方程式"

图2

不同水热时间的磺胺化PAN纳米纤维膜形貌图(×5 000)"

图2

不同水热时间的磺胺化PAN纳米纤维膜形貌图(×5 000)"

图3

磺胺化前后PAN纳米纤维膜直径分布图"

图3

磺胺化前后PAN纳米纤维膜直径分布图"

图4

PAN纳米纤维膜磺胺化改性前后水接触角图"

图4

PAN纳米纤维膜磺胺化改性前后水接触角图"

图5

不同水热时间下磺胺化PAN纳米纤维膜的红外光谱图"

图5

不同水热时间下磺胺化PAN纳米纤维膜的红外光谱图"

图6

磺胺化PAN纳米纤维膜吸附性能随时间的变化"

图6

磺胺化PAN纳米纤维膜吸附性能随时间的变化"

图7

吸附Cr(VI)和Pb(II)的动力学拟合图"

图7

吸附Cr(VI)和Pb(II)的动力学拟合图"

表1

磺胺化PAN纳米纤维膜吸附动力学拟合结果"

吸附离子 准一级动力学吸附方程 准二级动力学吸附方程
qe1/(mg·g-1) k1/min-1 R12 qe2/(mg·g-1) k2/(g·mg-1·min-1) R22
Cr(VI) 214.86 0.09 0.972 295.85 8.67×10-4 0.995
Pb(II) 175.91 0.05 0.978 248.76 2.10×10-4 0.984

表1

磺胺化PAN纳米纤维膜吸附动力学拟合结果"

吸附离子 准一级动力学吸附方程 准二级动力学吸附方程
qe1/(mg·g-1) k1/min-1 R12 qe2/(mg·g-1) k2/(g·mg-1·min-1) R22
Cr(VI) 214.86 0.09 0.972 295.85 8.67×10-4 0.995
Pb(II) 175.91 0.05 0.978 248.76 2.10×10-4 0.984

图8

磺胺化PAN纳米纤维膜吸附Cr(VI)等温吸附曲线及对应的吸附模型拟合图"

图8

磺胺化PAN纳米纤维膜吸附Cr(VI)等温吸附曲线及对应的吸附模型拟合图"

图9

磺胺化PAN纳米纤维膜吸附Pb(II)等温吸附曲线及对应的吸附模型拟合图 (a) Isothermal adsorption curve; (b) Fitting diagram of Langmuir adsorption model; (c)Fitting diagram of Freundlich adsorption model"

图9

磺胺化PAN纳米纤维膜吸附Pb(II)等温吸附曲线及对应的吸附模型拟合图 (a) Isothermal adsorption curve; (b) Fitting diagram of Langmuir adsorption model; (c)Fitting diagram of Freundlich adsorption model"

图10

磺胺化PAN纳米纤维膜吸附重金属离子前后红外光谱图"

图10

磺胺化PAN纳米纤维膜吸附重金属离子前后红外光谱图"

[1] MARSRANO E, FRANCIS L, GIUNCO F. Polyamide 6 nanofibrous nonwovens via electrospinning[J]. Journal of Applied Polymer Science, 2010,117(3):1754-1765.
[2] TIAN Y, WU M, LIU R, et al. Electrospun menberane of cellulose acetate for heavy mental ion adsorption in water treatment[J]. Carbohydrate Polymers, 2011,83(2):743-748.
doi: 10.1016/j.carbpol.2010.08.054
[3] HAIDER S, PARK S Y. Preparation of the electrospun chitosan nanofibers and their applications to the adsorption of Cu(II) and Pb(II) ions from an aqueous solution[J]. Journal of Membrane Science, 2009,328(1/2):90-96.
doi: 10.1016/j.memsci.2008.11.046
[4] 丁彬, 俞建勇. 静电纺丝与纳米纤维[M]. 北京: 中国纺织出版社, 2011: 3-6.
DING Bin, YU Jianyong. Electrospinning and nano-fibers[M]. Beijing: China Textile & Apparel Press, 2011: 3-6.
[5] 尹桂波, 臧传锋. 聚丙烯腈纳米纤维氨基化改性及重金属吸附性能[J]. 印染, 2017(21):36-39.
YIN Guibo, ZANG Chuanfeng. Amination modification of PAN electrospun nanofibers and their adsorption to heavy metals[J]. China Dyeing & Finishing, 2017(21):36-39.
[6] 汪滨, 张凡, 王娇娜, 等. 偕胺肟化PAN 纳米纤维膜除铬性能的研究[J]. 高分子学报, 2016(8):1105-1111.
WANG Bin, ZHANG Fan, WANG Jiaona, et al. Amidoxime-modified polyacrylonitrile nanofibers and application to Cr(VI) ions adsorption[J]. Acta Polymerca Sinica, 2016(8):1105-1111.
[7] EUTILÉRIO F C C, LANGELIHLE N D, ADEDEJI A A, et al. Modification of electrospun polyacrylonitrile nanofibers with EDTA for the removal of Cd and Cr ions from water effluents[J]. Applied Surface Science, 2016,369, 19-28.
doi: 10.1016/j.apsusc.2016.02.018
[8] ZHOU D J, DAI L B, NI H, et al. Preparation and characterization of polyphenylene sulfide-based chelating fibers[J]. Chinese Chemical Letters, 2014,25(2):221-225.
doi: 10.1016/j.cclet.2013.11.037
[9] 闫春秋. 聚丙烯腈螯合纳米纤维制备及其吸附性能探究[D]. 长春: 吉林大学, 2016: 19-22.
YAN Chunqiu. Preparation of polyacrylonitrile chelating nanofiber membrane and its adsorption performance[D]. Changchun: Jilin University, 2016: 19-22.
[10] NDAYAMBAJE G, LAATIKAINEN K, LAATIKAINEN M, et al. Adsorption of nickel (II) on polyacrylonitrile nanofiber modified with 2-(2'-pyridyl)imidazole[J]. Chemical Engineering Journal, 2016,284, 1106-1116.
doi: 10.1016/j.cej.2015.09.065
[11] 李晶, 郑红, 韩鸿萍. 聚丙烯腈螯合纤维的合成及其分离富集贵金属离子[J]. 青海大学学报(自然科学版), 2007,25(4):36-40.
LI Jing, ZHENG Hong, HAN Hongping. Synjournal and applications of new Poly(acryl-p-toluenesulfon amideamidine-p-toluenesulfonylamide) chelating fiber preconcentration and separation of trace noble metal lions from solution samples[J]. Journal of Qinghai Universi-ty (Nature Science Edition), 2007,25(4):36-40.
[12] 潘铁英, 张玉兰, 苏克曼. 波谱解析法[M].第2版. 上海: 华东理工大学出版社, 2002: 113-125.
PAN Tieying, ZHANG Yulan, SU Keman. Spectral analysis[M]. 2th ed. Shanghai: East China University of Science and Technology Press, 2002: 113-125.
[13] 张凡, 汪滨, 王娇娜, 等. AOPAN@Mg(OH)2多层次电纺纤维膜的制备及除铬性能[J]. 高等学校化学学报, 2016,37(11):2117-2124.
ZHANG Fan, WANG Bin, WANG Jiaona, et al. Preparation of hierarchically structured AOPAN@Mg(OH)2 composite nanofibrous membrane and Cr(VI)-removal capacity[J]. Chemical Journal of Chinese Universities, 2016,37(11):2117-2124.
[14] MOUEDHEN G, FEKI M, PETRIS-WERY D M, et al. Electrochemical removal of Cr(VI) from aqueous media using iron and aluminum as electrode materials: towards a better understanding of the involved phenomena[J]. Journal of Hazardous Materials, 2009,168(2):983-991.
doi: 10.1016/j.jhazmat.2009.02.117
[15] 雷忠利, 范友华, 杨红. 新型螯合纤维的制备及其动力学和热力学性质[J]. 西北大学学报(自然科学版), 2006,36(5):755-760.
LEI Zhongli, FAN Youhua, YANG Hong. A study on the synjournal and thermodynamics and kinetics of a kind of novel chelating fiber[J]. Journal of Northwest University (Nature Science Edition), 2006,36(5):755-760.
[1] 郭雪松, 顾嘉怡, 胡建臣, 魏真真, 赵燕. 聚丙烯腈/ 羧基丁苯乳胶复合纳米纤维膜的制备及其性能[J]. 纺织学报, 2021, 42(02): 34-40.
[2] 陈云博, 朱翔宇, 李祥, 余弘, 李卫东, 徐红, 隋晓锋. 相变调温纺织品制备方法的研究进展[J]. 纺织学报, 2021, 42(01): 167-174.
[3] 王赫, 王洪杰, 阮芳涛, 凤权. 静电纺聚丙烯腈/线性酚醛树脂碳纳米纤维电极的制备及其性能[J]. 纺织学报, 2021, 42(01): 22-29.
[4] 杨刚, 李海迪, 乔燕莎, 李彦, 王璐, 何红兵. 聚乳酸-己内酯/纤维蛋白原纳米纤维基补片的制备与表征[J]. 纺织学报, 2021, 42(01): 40-45.
[5] 杨宇晨, 覃小红, 俞建勇. 静电纺纳米纤维功能性纱线的研究进展[J]. 纺织学报, 2021, 42(01): 1-9.
[6] 汪希铭, 程凤, 高晶, 王璐. 交联改性对敷料用壳聚糖/聚氧化乙烯纳米纤维膜性能的影响[J]. 纺织学报, 2020, 41(12): 31-36.
[7] 张亦可, 贾凡, 桂澄, 晋蕊, 李戎. 聚偏氟乙烯/FeCl3复合纤维膜柔性传感器的制备及其性能[J]. 纺织学报, 2020, 41(12): 13-20.
[8] 孙倩, 阚燕, 李晓强, 高德康. 聚丙烯腈/氯化钴纳米纤维比色湿度传感器的制备及其性能[J]. 纺织学报, 2020, 41(11): 27-33.
[9] 王利媛, 康卫民, 庄旭品, 鞠敬鸽, 程博闻. 磺化聚醚砜纳米纤维复合质子交换膜的制备及其性能[J]. 纺织学报, 2020, 41(11): 19-26.
[10] 李好义, 许浩, 陈明军, 杨涛, 陈晓青, 阎华, 杨卫民. 纳米纤维吸声降噪研究进展[J]. 纺织学报, 2020, 41(11): 168-173.
[11] 王子希, 胡毅. 基于ZnCo2O4的多孔碳纳米纤维制备及其储能性能[J]. 纺织学报, 2020, 41(11): 10-18.
[12] 潘璐, 程亭亭, 徐岚. 聚己内酯/聚乙二醇大孔径纳米纤维膜的制备及其在组织工程支架中的应用[J]. 纺织学报, 2020, 41(09): 167-173.
[13] 朵永超, 钱晓明, 赵宝宝, 钱幺, 邹志伟. 超细纤维合成革基布的制备及其性能[J]. 纺织学报, 2020, 41(09): 81-87.
[14] 杨凯, 张啸梅, 焦明立, 贾万顺, 刁泉, 李咏, 张彩云, 曹健. 高邻位酚醛基纳米活性碳纤维制备及其吸附性能[J]. 纺织学报, 2020, 41(08): 1-8.
[15] 方舟, 宋磊磊, 孙保金, 李文肖, 张超, 闫俊, 陈磊. 碳纳米纤维结构设计及其对水污染物吸附机制的研究进展[J]. 纺织学报, 2020, 41(08): 135-144.
Viewed
Full text


Abstract

Cited

  Shared   
  Discussed   
No Suggested Reading articles found!