纺织学报 ›› 2021, Vol. 42 ›› Issue (01): 22-29.doi: 10.13475/j.fzxb.20200603108

• 纤维材料 • 上一篇    下一篇

静电纺聚丙烯腈/线性酚醛树脂碳纳米纤维电极的制备及其性能

王赫(), 王洪杰, 阮芳涛, 凤权   

  1. 安徽工程大学 纺织服装学院, 安徽 芜湖 241000
  • 收稿日期:2020-06-11 修回日期:2020-10-08 出版日期:2021-01-15 发布日期:2021-01-21
  • 作者简介:王赫(1987—),男,讲师,博士。主要研究方向为碳纳米纤维及其能源应用。E-mail: wanghe@ahpu.edu.cn
  • 基金资助:
    安徽工程大学引进人才科研启动基金项目(2020YQQ023);安徽工程大学引进人才科研启动基金项目(2020YQQ024)

Preparation and properties of carbon nanofiber electrode made from electrospun polyacrylonitrile/linear phenolic resin

WANG He(), WANG Hongjie, RUAN Fangtao, FENG Quan   

  1. School of Textile and Garment, Anhui Polytechnic University, Wuhu, Anhui 241000, China
  • Received:2020-06-11 Revised:2020-10-08 Online:2021-01-15 Published:2021-01-21

摘要:

为研究炭化温度对碳纳米纤维电极性能的影响,采用静电纺丝法制备了聚丙烯腈/线性酚醛树脂(PAN/PF)纳米纤维,然后经不同温度炭化处理得到不同结构与性能的碳纳米纤维,并制备成电极材料。对碳纳米纤维的表面形貌、比表面积、孔结构、石墨化程度和元素含量,以及碳纳米纤维电极的电化学性能进行测试与表征。结果表明:PAN/PF碳纳米纤维具有高的比表面积、分级多孔结构、良好的纤维连通以及优异的石墨化程度;当炭化温度为1 000 ℃时,碳纳米纤维的比表面积达到1 468 m2/g,总孔体积为0.89 cm3/g,相应电极的比电容达到395 F/g;当炭化温度为1 200 ℃时,碳纳米纤维的导电性能最佳,电导率为8.23 S/cm,其制备的电极材料具有最高的比电容保持率,为63%。

关键词: 炭化温度, 静电纺丝, 碳纳米纤维, 电极, 超级电容器

Abstract:

In order to study the effect of carbonization temperature on the performance of carbon nanofiber electrode, polyacrylonitrile/linear phenolic resin(PAN/PF)nanofibers were prepared by the electrospinning method. Following this, carbon nanofibers (CNF) with different structures and properties were obtained by adopting different carbonization temperatures, which were used as electrode materials. The surface morphology, specific surface area, pore structure, graphitization degree and element content of the carbon nanofibers were measured and characterized. The results show that PAN/PF carbon nanofibers have high specific surface area, hierarchical porous structure, good fiber connectivity and excellent graphitization. When the carbonization temperature is 1 000 ℃, the specific surface area of CNF is as high as 1 468 m2/g, the total pore volume is as high as 0.89 cm3/g, and the specific capacitance of the corresponding electrode is as high as 395 F/g. When the carbonization temperature is 1 200 ℃, the conductivity of CNF is at its best (8.23 S/cm), and the corresponding electrode reaches the highest capability retaining rate (63%).

Key words: carbonization temperature, electrospinning, carbon nanofiber, electrode, supercapacitor

中图分类号: 

  • TS101.8

图1

不同炭化温度下碳纳米纤维表面形貌"

表1

碳纳米纤维的直径分布结果"

样品编号 最大直径/nm 最小直径/nm 平均直径/nm
1# 550 230 350
2# 410 200 290
3# 380 80 230

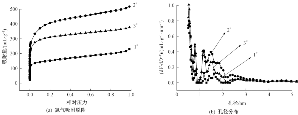
图2

碳纳米纤维的氮气吸附脱附曲线和孔径分布曲线 注:图中纵坐标dV/dD代表孔容随孔径的变化率。"

表2

碳纳米纤维的孔特性结果"

样品
编号
比表面积/ 总孔体积/ 介孔体积/ 介孔含量/ 微孔体积/ 微孔含量/ 微孔比表面积/ 平均孔径/
(m2·g-1) (cm3·g-1) (cm3·g-1) % (cm3·g-1) % (m2 ·g-1) nm
1# 560 0.44 0.12 27 0.32 73 727 2.5
2# 1 468 0.89 0.17 19 0.72 81 1 559 2.2
3# 1 160 0.64 0.11 17 0.53 83 1 208 2.0

图3

碳纳米纤维的XRD谱图和拉曼光谱图"

表3

碳纳米纤维的结晶性和导电性结果"

样品
编号
d/
nm
Lc/
nm
R 电导率/
(S·cm-1)
1# 0.399 1.00 1.45 5.49
2# 0.403 1.31 1.17 7.38
3# 0.399 1.41 1.04 8.23

图4

红外光谱图和X射线光电子能谱图"

图5

碳纳米纤维电极的循环伏安曲线"

图6

碳纳米纤维电极的恒流充放电曲线"

图7

在不同电流密度下碳纳米纤维电极的恒流充放电曲线"

图8

碳纳米纤维电极的倍率性能曲线和循环性能曲线"

图9

碳纳米纤维材料的阻抗拟合模型和Nyquist图"

[1] RAZA Waseem, ALI Faizan, RAZA Nadeem, et al. Recent advancements in supercapacitor technology[J]. Nano Energy, 2018,52:441-473.
[2] WANG Faxing, WU Xiongwei, YUAN Xinhai, et al. Latest advances in supercapacitors: from new electrode materials to novel device designs[J]. Chemical Society Reviews, 2017,46(22):6816-6854.
[3] MENG Qiufeng, CAI Kefeng, CHEN Yuanxun, et al. Research progress on conducting polymer based supercapacitor electrode materials[J]. Nano Energy, 2017,36:268-285.
[4] 刘呈坤, 贺海军, 孙润军, 等. 静电纺制备多孔纳米纤维材料的研究进展[J]. 纺织学报, 2017,38(3):168-173.
LIU Chengkun, HE Haijun, SUN Runjun, et al. Research development for preparation of porous electrospun nanomaterials[J]. Journal of Textile Research, 2017,38(3):168-173.
[5] 康卫民, 范兰兰, 邓南平, 等. 静电纺多孔碳纳米纤维制备与应用研究进展[J]. 纺织学报, 2017,38(11):168-176.
KANG Weimin, FAN Lanlan, DENG Nanping, et al. Research progress in preparation and application of electrospinning porous carbon nanofibers[J]. Journal of Textile Research, 2017,38(11):168-176.
[6] 王赫, 王洪杰, 王闻宇, 等. 聚丙烯腈基碳纳米纤维在超级电容器电极材料中的应用研究进展[J]. 材料导报, 2018,32(5):730-734.
WANG He, WANG Hongjie, WANG Wenyu, et al. Research progress in polyacrylonitrile (PAN) based carbon nanofibers electrode materials for supercapaci-tor[J]. Materials Reports, 2018,32(5):730-734.
[7] NATARAJ S K, YANG K S, AMINABHAVI T M. Polyacrylonitrile-based nanofibers:a state-of-the-art review[J]. Progress in Polymer Science, 2012,37(3):487-513.
[8] WANG He, WANG Wenyu, WANG Hongjie, et al. High performance supercapacitor electrode materials from electrospun carbon nanofibers in situ activated by high decomposition temperature polymer[J]. ACS Applied Energy Materials, 2018,1(2):431-439.
[9] NIU Haitao, ZHANG Jin, XIE Zongli, et al. Preparation, structure and supercapacitance of bonded carbon nanofiber electrode materials[J]. Carbon, 2011,49(7):2380-2388.
[10] HSU Y H, LAI C C, HO C L, et al. Preparation of interconnected carbon nanofibers as electrodes for supercapacitors[J]. Electrochimica Acta, 2014,127:369-376.
[11] TENG M, QIAO J, LI F, et al. Electrospun mesoporous carbon nanofibers produced from phenolic resin and their use in the adsorption of large dye molecules[J]. Carbon, 2012,50(8):2877-2886.
[12] MA C, SONG Y, SHI J, et al. Phenolic-based carbon nanofiber webs prepared by electrospinning for supercapacitors[J]. Materials Letters, 2012,76:211-214.
[13] WANG H, NIU H, WANG H, et al. Micro-meso porous structured carbon nanofibers with ultra-high surface area and large supercapacitor electrode capacitance[J]. Journal of Power Sources, 2021,482:228986.
[14] MUNIZ F T L, MIRANDA M A R, MORILLA D C, et al. The Scherrer equation and the dynamical theory of X-ray diffraction[J]. Acta Crystallographica Section A: Foundations and Advances, 2016,72(3):385-390.
[15] LIM D J, MARKS N A, ROWLES M R. Universal Scherrer equation for graphene fragments[J]. Carbon, 2020,162:475-480.
[16] 郝欢欢, 刘晶冰, 李坤威, 等. 拉曼光谱表征石墨烯结构的研究进展[J]. 材料工程, 2018,46(5):1-10.
HAO Huanhuan, LIU Jingbing, LI Kunwei, et al. Research progress on characterization of graphene structure by Raman spectroscopy[J]. Journal of Materials Engineering, 2018,46(5):1-10.
[17] SONG Ziyang, ZHU Dazhang, LI Liangchun, et al. Ultrahigh energy density of a N, O codoped carbon nanosphere based all-solid-state symmetric supercapacitor[J]. Journal of Materials Chemistry A, 2019,7(3):1177-1186.
[18] CHEN Mingfeng, YU Dan, ZHENG Xiaozhong, et al. Biomass based N-doped hierarchical porous carbon nanosheets for all-solid-state supercapacitors[J]. Journal of Energy Storage, 2019,21:105-112.
[1] 陈云博, 朱翔宇, 李祥, 余弘, 李卫东, 徐红, 隋晓锋. 相变调温纺织品制备方法的研究进展[J]. 纺织学报, 2021, 42(01): 167-174.
[2] 杨刚, 李海迪, 乔燕莎, 李彦, 王璐, 何红兵. 聚乳酸-己内酯/纤维蛋白原纳米纤维基补片的制备与表征[J]. 纺织学报, 2021, 42(01): 40-45.
[3] 杨宇晨, 覃小红, 俞建勇. 静电纺纳米纤维功能性纱线的研究进展[J]. 纺织学报, 2021, 42(01): 1-9.
[4] 汪希铭, 程凤, 高晶, 王璐. 交联改性对敷料用壳聚糖/ 聚氧化乙烯纳米纤维膜性能的影响[J]. 纺织学报, 2020, 41(12): 31-36.
[5] 王霁龙, 刘岩, 景媛媛, 许庆丽, 钱祥宇, 张义红, 张坤. 纤维基可穿戴电子设备的研究进展[J]. 纺织学报, 2020, 41(12): 157-165.
[6] 张亦可, 贾凡, 桂澄, 晋蕊, 李戎. 聚偏氟乙烯/ FeCl3 复合纤维膜柔性传感器的制备及其性能[J]. 纺织学报, 2020, 41(12): 13-20.
[7] 王利媛, 康卫民, 庄旭品, 鞠敬鸽, 程博闻. 磺化聚醚砜纳米纤维复合质子交换膜的制备及其性能[J]. 纺织学报, 2020, 41(11): 19-26.
[8] 李好义, 许浩, 陈明军, 杨涛, 陈晓青, 阎华, 杨卫民. 纳米纤维吸声降噪研究进展[J]. 纺织学报, 2020, 41(11): 168-173.
[9] 王子希, 胡毅. 基于ZnCo2 O4 的多孔碳纳米纤维制备及其储能性能[J]. 纺织学报, 2020, 41(11): 10-18.
[10] 王博, 凡力华, 原韵, 殷允杰, 王潮霞. 可拉伸聚吡咯/ 棉针织物的制备及其储电性能[J]. 纺织学报, 2020, 41(10): 101-106.
[11] 韩佳蕊, 黄珍珍, 王佳珺, 殷淏, 高晶, 劳继红, 王璐. 医用敷料用柔性金属电极的制备及其细胞毒性分析[J]. 纺织学报, 2020, 41(09): 174-182.
[12] 潘璐, 程亭亭, 徐岚. 聚己内酯/聚乙二醇大孔径纳米纤维膜的制备及其在组织工程支架中的应用[J]. 纺织学报, 2020, 41(09): 167-173.
[13] 杨凯, 张啸梅, 焦明立, 贾万顺, 刁泉, 李咏, 张彩云, 曹健. 高邻位酚醛基纳米活性碳纤维制备及其吸附性能[J]. 纺织学报, 2020, 41(08): 1-8.
[14] 方舟, 宋磊磊, 孙保金, 李文肖, 张超, 闫俊, 陈磊. 碳纳米纤维结构设计及其对水污染物吸附机制的研究进展[J]. 纺织学报, 2020, 41(08): 135-144.
[15] 吴红, 刘呈坤, 毛雪, 阳智, 陈美玉. 柔性ZrO2 纳米纤维膜的制备及其应用研究现状[J]. 纺织学报, 2020, 41(07): 167-173.
Viewed
Full text


Abstract

Cited

  Shared   
  Discussed   
No Suggested Reading articles found!