纺织学报 ›› 2021, Vol. 42 ›› Issue (01): 30-34.doi: 10.13475/j.fzxb.20200600505

• 纤维材料 • 上一篇    下一篇

并列复合纺丝孔道内流动组分的界面分布数值模拟

廖壑1,2, 王建宁3, 张东剑2, 甘学辉1,2(), 张玉梅3, 王华平3   

  1. 1.上海市高性能纤维复合材料省部共建协同创新中心, 上海 201620
    2.东华大学 机械工程学院, 上海 201620
    3.东华大学 纤维材料改性国家重点实验室, 上海 201620
  • 收稿日期:2020-06-01 修回日期:2020-10-08 出版日期:2021-01-15 发布日期:2021-01-21
  • 通讯作者: 甘学辉
  • 作者简介:廖壑(1994—),男,博士生。主要研究方向为高性能纤维成形理论及装备。
  • 基金资助:
    中央高校基本科研业务费专项资金资助项目(20D110323);上海市军民融合项目(JMRH-2018-1055)

Numerical simulation of interface distribution of side-by-side bi-component melt in orifice

LIAO He1,2, WANG Jianning3, ZHANG Dongjian2, GAN Xuehui1,2(), ZHANG Yumei3, WANG Huaping3   

  1. 1. Shanghai Collaborative Innovation Center for High Performance Fiber Composites, Shanghai 201620, China
    2. College of Mechanical Engineering, Donghua University, Shanghai 201620, China
    3. State Key Laboratory for Modification of Chemical Fibers and Polymer Materials, Donghua University, Shanghai 201620, China
  • Received:2020-06-01 Revised:2020-10-08 Online:2021-01-15 Published:2021-01-21
  • Contact: GAN Xuehui

摘要:

针对并列复合双组分纤维的界面变形与偏移导致纤维性能不稳定的问题,采用有限元法对聚对苯二甲酸乙二醇酯(PET)/聚酰胺6(PA6)聚合物熔体在双组分纺丝孔道内的流动进行数值模拟。根据数值计算结果得到不同条件下并列复合流动熔体的界面变化,并分析了熔体黏度、入口流量和流动长度对界面位置与形状的影响。结果表明:并列复合纤维的界面变形及偏移在孔道内就已发生,低黏度组分趋向于包裹高黏度组分,熔体沿流动方向的界面变化在较短距离内趋于稳定;熔体黏度比增大,界面向低黏度组分偏移且界面曲率增大;入口流量的不同会引起熔体界面的偏移,偏移量随流量比增大而增大。

关键词: 并列复合纺丝, 熔体界面分布, 聚对苯二甲酸乙二醇酯, 聚酰胺6

Abstract:

In order to discover the cause for performance instability from interfacial deformation and displacement in side-by-side bi-component fibers, the finite element method was used to simulate the flow of polyethylene terephthalate (PET)/polyamide 6(PA6) polymer melt in the spinneret orifice. According to the results of numerical calculation, the interface changes of parallel flow under different conditions are obtained, and the effects of melt viscosity, inlet flow rate and flow length on the interface position and shape were analyzed. The results show that the interfacial deformation and deviation of the side-by-side bi-component melt occur in the spinneret orifice and that the low-viscosity component tends to wrap the high-viscosity component, whereas the interface change of the melt along the flow direction tends to be stable within a short distance. As the melt viscosity ratio increases, the interface shifts to the low viscosity component and the interface curvature increases. The difference of the inlet flow rate will cause the interface deviation, which will increase with the increase of the flow ratio.

Key words: side-by-side bi-component spinning, interface distribution of melt, polyethylene terephthalate, polyamide 6

中图分类号: 

  • TS151

图1

双组分并列复合纺丝示意图"

图2

并列复合模拟结果截面"

图3

沿截面y方向的剪切速率分布"

图4

导孔内流动黏度云图"

图5

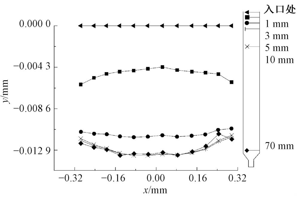
沿流动方向的界面分布"

表1

二组分熔体黏度参数"

ηPET/(Pa·s) ηPA6/(Pa·s) ηPA6/ηPET
132 145 1.1
132 198 1.5
132 264 2.0

图6

不同黏度比下的孔道截面界面分布"

表2

二组分流量参数"

QPET/(m3·s-1) QPA6/(m3·s-1) QPET/ QPA6
2×10-8 2×10-8 1.00
2.5×10-8 2×10-8 1.25
3×10-8 2×10-8 1.50

图7

不同流量比下的孔道截面界面分布"

图8

不同流量比下沿截面y方向的剪切速率"

[1] 李明明, 陈烨, 李夏, 等. 纺丝工艺对并列复合聚酯纤维性能的影响[J]. 纺织学报, 2019,40(12):16-20.
LI Mingming, CHEN Ye, LI Xia, et al. Influence of spinning process on property of parallel composite polyester fiber[J]. Journal of Textile Research, 2019,40(12):16-20.
[2] WANG L, FU X M, HE J Q, et al. Application challenges in fiber and textile electronics[J]. Advanced Materials, 2020,32(5):1-25.
[3] 王宇, 吉鹏, 王朝生, 等. PEGT/PTT并列复合弹性纤维的制备及性能研究[J]. 合成纤维工业, 2020,43(2):19-25.
WANG Yu, JI Peng, WANG Chaosheng, et al. Preparation and properties of PEGT/PTT side-by-side composite elastic fiber[J]. China Synthetic Fiber Industry, 2020,43(2):19-25.
[4] AYAD E, CAYLA A, RAULT F, et al. Effect of viscosity ratio of two immiscible polymers on morphology in bicomponent melt spinning fibers[J]. Advances in Polymer Technology, 2016,54(7):718-727.
[5] CHO H H, KIM K H, KANG Y A, et al. Fine structure and physical properties of poly(ethyleneterephthalate)/polyethylene bicomponent fibers in high-speed spinning: II: poly(ethylene terephthalate) sheath/polyethylene core fibers[J]. Journal of Applied Polymer Science, 2000,77(10):2267-2277.
[6] 王磊, 刘婷婷, 纪俊洋, 等. 三组分复合纺丝组件设计关键技术研究[J]. 合成纤维工业, 2013,36(6):48-51.
WANG Lei, LIU Tingting, JI Junyang, et al. Key technology of designing spinning pack for three-component composite spinning process[J]. China Synthetic Fiber Industry, 2013,36(6):48-51.
[7] 张敏, 黄传真, 孙胜, 等. 基于三维有限元模拟的聚合物复合型材共挤出过程分析[J]. 高分子材料科学与工程, 2009,25(10):98-101.
ZHANG Min, HUANG Chuanzhen, SUN Sheng, et al. The analysis of polymer profile coextrusion processes based on the three-dimensional finite element simula-tion[J]. Polymer Materials Science & Engineering, 2009,25(10):98-101.
[8] BORZACCHIELLO D, LERICHE E, BLOTTIERE B, et al. On the mechanism of viscoelastic encapsulation of fluid layers in polymer coextrusion[J]. Journal of Rheology, 2014,58(2):493-512.
[9] HUNTINGTON B A, CHABERT E, RAHAL S, et al. Distortion of interfaces in a multilayer polymer co-extrusion feedblock[J]. International Polymer Processing Journal of the Polymer Processing Society, 2013,28(3):274-280.
[10] WANG L, JI J Y, LIU T T, et al. Numerical study on forming process of the PET/PA6 component melt in micro hole in composite spinning[J]. Journal of Donghua University, 2013(30):5-13.
[11] 叶贺, 潘俊, 张荣根, 等. PA6/PET扁平复合纤维界面分布的数值模拟[J]. 合成纤维工业, 2017,40(6):5-9.
YE He, PAN Jun, ZHANG Ronggen, et al. Numerical simulation of PA6/PET flat composite fiber interface distribution[J]. China Synthetic Fiber Industry, 2017,40(6):5-9.
[1] 靳琳琳, 田俊凯, 李家炜, 戚栋明, 沈晓炜, 邬春涛. 可降解聚羟基乙酸低聚物改性聚酯的合成及其性能[J]. 纺织学报, 2021, 42(01): 16-21.
[2] 朵永超, 钱晓明, 赵宝宝, 钱幺, 邹志伟. 超细纤维合成革基布的制备及其性能[J]. 纺织学报, 2020, 41(09): 81-87.
[3] 郭增革, 姜兆辉, 贾曌, 蒲丛丛, 李鑫, 程博闻. 压力对聚对苯二甲酸乙二醇酯-聚酰胺6共聚物/聚酰胺6共混物流变性能的影响[J]. 纺织学报, 2019, 40(12): 27-31.
[4] 张娇, 高雪峰, 王玉周, 刘海辉, 张兴祥. 聚酰胺66/氨基化多壁碳纳米管纤维制备及其性能[J]. 纺织学报, 2019, 40(11): 1-8.
[5] 潘伟楠, 相恒学, 翟功勋, 倪明达, 沈家广, 朱美芳. 共聚酰胺6/66相对分子质量对其结晶和流变性能的影响[J]. 纺织学报, 2019, 40(09): 8-14.
[6] 周铃, 靳向煜. 热气流固结纤维网串珠结构可控性及其结晶动力学[J]. 纺织学报, 2019, 40(08): 27-34.
[7] 王勇军 陈世昌 刘梅 曾卫卫 吕汪洋 张先明 陈文兴. 高分子量聚对苯二甲酸乙二醇酯中低聚物的提取及其表征[J]. 纺织学报, 2018, 39(11): 1-7.
[8] 刘婷 张安莹 王锐 董振峰 朱志国 王照颖. 季戊四醇磷酸酯/二乙基次磷酸锌协同阻燃聚酰胺6的制备及其性能 [J]. 纺织学报, 2018, 39(09): 8-14.
[9] 林启松 江力 汪凯 张顺花. 新型改性聚酯的制备及其性能[J]. 纺织学报, 2018, 39(08): 22-26.
[10] 靳昕怡 王颖 朱志国 刘彦麟 王锐. 复合抑熔滴剂对阻燃聚酯共混物燃烧性能的影响[J]. 纺织学报, 2018, 39(08): 15-21.
[11] 娄佳慧 王锐 张文娟 董振峰 朱志国 张秀芹 刘继广. 有机钛-硅催化剂合成聚酯的动力学研究[J]. 纺织学报, 2018, 39(07): 1-7.
[12] 夏维 陈立军 赵杰 相恒学 陈文萍 郭楷圣 陈伟 张杨凯 朱美芳. 皮芯型复合储能调温聚酰胺6纤维的制备与表征[J]. 纺织学报, 2018, 39(04): 1-8.
[13] 陈美玉 来悦 孙润军 陈欣 庄浩. 生物基聚酰胺56纤维的结晶行为[J]. 纺织学报, 2017, 38(12): 7-13.
[14] 孔抵柱 李家炜 徐红 张琳萍 钟毅 隋晓锋 毛志平. 环三磷腈和三嗪衍生物协同阻燃对聚酯性能的影响[J]. 纺织学报, 2017, 38(07): 11-17.
[15] 赵伟伟 汪滨 王娇娜 裴广玲 李从举. 静电纺聚酰胺6纳米纤维膜的制备及其性能[J]. 纺织学报, 2017, 38(03): 6-12.
Viewed
Full text


Abstract

Cited

  Shared   
  Discussed   
No Suggested Reading articles found!