纺织学报 ›› 2019, Vol. 40 ›› Issue (09): 8-14.doi: 10.13475/j.fzxb.20180807607

• 纤维材料 • 上一篇    下一篇

共聚酰胺6/66相对分子质量对其结晶和流变性能的影响

潘伟楠1,2, 相恒学1,2, 翟功勋1,2, 倪明达1, 沈家广3, 朱美芳1,2()   

  1. 1.东华大学 纤维材料改性国家重点实验室, 上海 201620
    2.东华大学 材料科学与工程学院, 上海 201620
    3.江苏海阳化纤有限公司, 江苏 泰州 225300
  • 收稿日期:2018-08-31 修回日期:2018-11-28 出版日期:2019-09-15 发布日期:2019-09-23
  • 通讯作者: 朱美芳
  • 作者简介:潘伟楠(1995—),男,硕士生。主要研究方向为聚酰胺纤维。
  • 基金资助:
    国家重点研发计划项目(2017YFB0309003);国家自然科学基金项目(51603033);国家自然科学基金项目(51603035);中央高校基本科研业务费专项资金项目(2232018A3-01);中央高校基本科研业务费专项资金项目(2232018D3-03);教育部“创新团队发展计划”滚动支持项目(IRT16R13)

Influence of relative molecular weight of copolyamide 6/66 on crystallization and rheological properties thereof

PAN Weinan1,2, XIANG Hengxue1,2, ZHAI Gongxun1,2, NI Mingda1, SHEN Jiaguang3, ZHU Meifang1,2()   

  1. 1. State Key Laboratory for Modification of Chemical Fibers and Polymer Materials, Donghua University, Shanghai 201620, China
    2. College of Materials Science and Engineering, Donghua University, Shanghai 201620, China
    3. Jiangsu Haiyang Chemical Fiber Co., Ltd., Taizhou, Jiangsu 225300, China
  • Received:2018-08-31 Revised:2018-11-28 Online:2019-09-15 Published:2019-09-23
  • Contact: ZHU Meifang

摘要:

为探索共聚酰胺6/66(PA6/66)的熔体加工性能,研究PA6/66相对分子质量对其熔融行为、结晶行为和熔体流变行为的影响,借助差示扫描量热仪、熔体流动速率仪、毛细管流变仪等对系列不同相对分子质量PA6/66和PA6树脂的结晶行为和流变性能等进行表征。结果表明:PA6/66呈现单一的熔融峰,其熔点和玻璃化转变温度受相对分子质量影响较小,分别约为210 ℃和45 ℃;与PA6相比,PA6/66的熔点、熔融焓值和结晶焓值显著降低;随相对分子质量的增加,降温速率为20 ℃/min时,PA6/66的结晶焓值由45.16 J/g下降为43.67 J/g,明显低于同等相对分子质量下PA6的结晶焓值;不同相对分子质量的PA6/66共聚物均为假塑性流体,随着温度的升高,其非牛顿指数增大,对剪切速率的敏感程度降低;在高剪切速率下,PA6/66具有比PA6更高的黏流活化能。

关键词: 聚酰胺6, 共聚酰胺6/66, 结晶行为, 流变性能, 相对分子质量

Abstract:

In order to explore the melt processing properties of new copolyamide 6/66 (PA6/66), the influence of the relative molecular weight on the melt behavior, crystallization behavior and melt rheological behavior of PA6/66 were characterized by differential scanning calorimetry, melt flow rate instrument and capillary rheometer. The results show that PA6/66 exhibits a single melting peak, and its melting point and glass transition temperature are less affected by relative molecular weight, which are about 210 ℃ and 45 ℃, respectively. Compared with PA6, the melting temperature, melting enthalpy and crystallization enthalpy of PA6/66 decreases. With the increase of relative molecular weight, the crystallization enthalpy of PA6/66 decreases from 45.16 J/g to 43.67 J/g at the cooling rate of 20 ℃/min, which is significantly lower than the crystallization enthalpy of PA6(64.49 J/g) at the same molecular weight. The copolymers are all pseudoplastic fluids in non-Newtonian fluids, with the increase of temperature, the non-Newtonian index increases and the sensitivity to shear rate decreased. In addition, PA6/66 has a higher viscous activation energy than PA6 at high shear rates.

Key words: polyamide 6, copolyamide 6/66, crystallization behavior, rheological property, relative molecular weight

中图分类号: 

  • TQ342

图1

PA6/66和PA6的DSC升温熔融曲线"

表1

PA6/66和PA6树脂的热性能数据"

样品编号 Tg/℃ Tcc/℃ Tm/℃ ΔHm/(J·g-1) Xc/%
P-1 44.45 69.71 211.38 53.20 23.1
P-2 44.70 69.89 211.22 50.77 22.1
P-3 44.72 69.91 211.60 48.43 21.1
P-4 45.14 70.07 208.42 43.42 18.9
PA6 45.21 67.85 223.77 55.04 23.9

图2

PA6/66和PA6树脂熔体流动速率随温度的变化"

图3

PA6/66和PA6树脂在不同降温速率下的DSC曲线以及P-4的熔融曲线"

表2

PA6/66和PA6树脂在不同降温速率热性能参数"

样品编号 降温速率/
(℃·min-1)
Tc/℃ ΔHc/
(J·g-1)
t1/2/s
2.5 166.76 51.62 363.8
P-1 5.0 159.31 49.09 205.2
10.0 151.66 46.79 124.4
20.0 140.71 45.16 77.8
2.5 165.13 51.34 408.3
P-2 5.0 158.29 48.90 224.6
10.0 150.55 45.63 134.4
20.0 139.47 44.96 78.4
2.5 163.49 46.35 424.6
P-3 5.0 157.36 44.70 225.2
10.0 149.63 43.60 133.4
20.0 139.36 42.43 81.5
2.5 163.88 50.43 423.7
P-4 5.0 158.17 47.79 221.5
10.0 151.84 45.67 126.7
20.0 146.78 43.67 88.4
2.5 178.31 74.88 420.0
PA6 5.0 171.35 73.58 234.7
10.0 163.19 67.04 142.1
20.0 152.96 64.49 91.3

图4

PA6/66和PA6树脂在不同温度下的剪切应力-剪切速率关系"

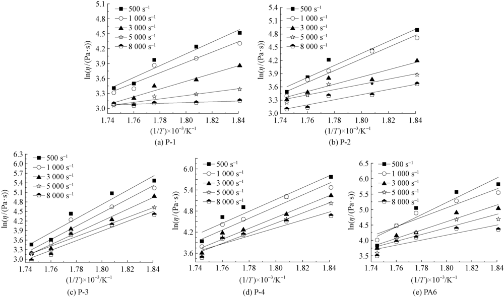
图5

PA6/66和PA6树脂在不同剪切速率下的表观黏度与1/T关系图"

图6

PA6/66和PA6树脂在不同温度下的非牛顿指数"

图7

PA6/66和PA6树脂在不同剪切速率下的黏流活化能"

[1] 王松林, 相恒学, 徐锦龙, 等. 通用合成纤维高值化功能化基础问题与发展趋势[J]. 纺织学报, 2018,39(3):167-174.
WANG Songlin, XIANG Hengxue, XU Jinlong, et al. Basic issues and development trends on general synthetic fibers with high functionalization[J]. Journal of Textile Research, 2018,39(3):167-174.
[2] 相恒学, 王世超, 成艳华, 等. 有机/无机杂化材料与多功能纤维研究进展[J]. 中国科学:科学技术, 2014,44(11):1137-1144.
XIANG Hengxue, WANG Shichao, CHENG Yanhua, et al. Organic-inorganic hybrid material and multifunctional fibers[J]. Scientia Sinica Technologica, 2014,44(11):1137-1144.
[3] XIANG H, LI L, CHEN W, et al. Flame retardancy of polyamide 6 hybrid fibers: combined effects of α-zirconium phosphate and ammonium sulfamate[J]. Progress in Natural Science Materials International, 2017,27(3):369-373.
doi: 10.1016/j.pnsc.2017.04.013
[4] PREVORSEK D C, CHIN H B. Intrinsic differences between nylon 6 and nylon 66 industrial fibers: micromechanical and molecular analysis[J]. International Journal of Polymeric Materials & Polymeric Biomaterials, 1994,25(3/4):161-184.
doi: 10.1080/00914039408029336
[5] THANKI P N, SINGH R P. Progress in the area of degradation and stabilization of nylon 66[J]. Journal of Macromolecular Science: Part C, 1998,38(4):595-614.
doi: 10.1080/15583729808546033
[6] 罗玉航, 彭露, 姜锋, 等. 共聚酰胺6/66的合成与表征[J]. 合成纤维工业, 2017,40(3):31-34.
LUO Yuhang, PENG Lu, JIANG Feng, et al. Synjournal and characterization of copolyamide 6/66[J]. China Synthetic Fiber Industry, 2017,40(3):31-34.
[7] MEN Y F, RIEGER J. Temperature dependent wide angle X-ray diffraction studies on the crystalline transition in water saturated and dry polyamide 6/66 copolymer[J]. European Polymer Journal, 2004,40(11):2629-2635.
doi: 10.1016/j.eurpolymj.2004.07.003
[8] 林镇秒. 共聚酰胺6/66制备与成型加工研究[D]. 广州: 华南理工大学, 2016: 1-35.
LIN Zhenmiao. Polymerization and process of copolyamide PA6/66[D]. Guangzhou: South China University of Technology, 2016: 1-35.
[9] 王志亮, 李皆富, 聂静, 等. 水热处理对聚酰胺6纤维结构和性能的影响[J]. 高分子学报, 2016(12):1710-1716.
WANG Zhiliang, LI Jiefu, NIE Jing, et al. Effect of hydrothermal treatment on structure and properties of polyamide 6 fibers[J]. Acta Polymerica Sinica, 2016(12):1710-1716.
[10] XIANG H, NIU Y, LIAO Z, et al. Photoluminescence emission of a stable and well-dispersed unsaturated polyester-co-rare-earth complex[J]. Journal of Applied Polymer Science, 2017,134(36):45253.
doi: 10.1002/app.45253
[11] 梁伯润, 屈凤珍, 潘利华, 等. 高分子物理学[M]. 北京: 中国纺织出版社, 1999: 166-200.
LIANG Borun, QU Fengzhen, PAN Lihua, et al. Physics of Macromolecules[M]. Beijing: China Textile & Apparel Press, 1999: 166-200.
[12] JIA Z Y, CAI Z Q, CHEN J W, et al. High efficiency toughness of aromatic sulfonamide in polyamide 6[J]. Journal of Applied Polymer Science, 2018,135(30):46527.
doi: 10.1002/app.v135.30
[13] LI Y, YANG G. Studies on molecular composites of polyamide 6/polyamide 66[J]. Macromolecular Rapid Communications, 2010,25(19):1714-1718.
doi: 10.1002/(ISSN)1521-3927
[14] 杨坡, 胡国胜, 王标兵. 尼龙6/11共聚物的非等温结晶动力学研究[J]. 中北大学学报(自然科学版), 2008,29(2):156-159.
YANG Po, HU Guosheng, WANG Biaobing. Non-isothermal crystallization kinetics of nylon 6/11 copolymer[J]. Journal of North Univercity of China (Natural Science Edition), 2008,29(2):156-159.
[15] CHEN Z, XIANG H, HU Z, et al. Enhanced mechanical properties of melt-spun bio-based PHBV fibers: effect of heterogeneous nucleation and drawing process[J]. Acta Polymerica Sinica, 2017(7):1121-1129.
[16] 柳毅琨, 邱志成, 金剑, 等. 聚对苯二甲酸乙二醇酯-聚酰胺嵌段共聚物/聚酰胺6共混物的流变性能[J]. 高分子材料科学与工程, 2016,32(4):107-110.
LIU Yikun, QIU Zhicheng, JING Jian, et al. Rheological properties of polyethylene terephthalate ester-polyamide block copolymer/polyamide 6 blends[J]. Polymer Materials Science & Engineering, 2016,32(4):107-110.
[1] 朵永超, 钱晓明, 赵宝宝, 钱幺, 邹志伟. 超细纤维合成革基布的制备及其性能[J]. 纺织学报, 2020, 41(09): 81-87.
[2] 元伟, 姚勇波, 张玉梅, 王华平. 制备Lyocell 纤维用纤维素浆粕的碱性酶处理工艺[J]. 纺织学报, 2020, 41(07): 1-8.
[3] 姬洪, 张阳, 陈康, 宋明根, 蒋权, 范永贵, 张玉梅, 王华平. 基于动力学特性的黑色高强聚酯工业丝研发[J]. 纺织学报, 2020, 41(04): 1-8.
[4] 赵亚奇, 郭雯静, 杜玲枝, 赵振新, 赵海鹏. 自由基引发剂制备高相对分子质量聚丙烯腈研究进展[J]. 纺织学报, 2020, 41(04): 174-180.
[5] 郭增革, 姜兆辉, 贾曌, 蒲丛丛, 李鑫, 程博闻. 压力对聚对苯二甲酸乙二醇酯-聚酰胺6 共聚物/聚酰胺6 共混物流变性能的影响[J]. 纺织学报, 2019, 40(12): 27-31.
[6] 张娇, 高雪峰, 王玉周, 刘海辉, 张兴祥. 聚酰胺66/氨基化多壁碳纳米管纤维制备及其性能[J]. 纺织学报, 2019, 40(11): 1-8.
[7] 魏海江, 江力, 张顺花. 耐高温相变蜡/聚丙烯共混物的制备及其性能[J]. 纺织学报, 2019, 40(06): 8-13.
[8] 刘婷 张安莹 王锐 董振峰 朱志国 王照颖. 季戊四醇磷酸酯/二乙基次磷酸锌协同阻燃聚酰胺6的制备及其性能 [J]. 纺织学报, 2018, 39(09): 8-14.
[9] 林启松 江力 汪凯 张顺花. 新型改性聚酯的制备及其性能[J]. 纺织学报, 2018, 39(08): 22-26.
[10] 夏维 陈立军 赵杰 相恒学 陈文萍 郭楷圣 陈伟 张杨凯 朱美芳. 皮芯型复合储能调温聚酰胺6纤维的制备与表征[J]. 纺织学报, 2018, 39(04): 1-8.
[11] 陈美玉 来悦 孙润军 陈欣 庄浩. 生物基聚酰胺56纤维的结晶行为[J]. 纺织学报, 2017, 38(12): 7-13.
[12] 王利娜 石素宇 辛长征 王永杰 葛正霞. 聚酯/棕榈基多孔碳纤维杂化膜的结晶和力学性能[J]. 纺织学报, 2017, 38(08): 6-10.
[13] 赵伟伟 汪滨 王娇娜 裴广玲 李从举. 静电纺聚酰胺6纳米纤维膜的制备及其性能[J]. 纺织学报, 2017, 38(03): 6-12.
[14] 高利超 祝志峰 刘立超 徐珍珍. 聚氧乙烯相对分子质量对预氧化聚丙烯腈纤维短纤经纱上浆性能的影响[J]. 纺织学报, 2016, 37(09): 78-83.
[15] 郁萍华 张顺花 毛雄亮. SiO2包覆TiO2粒子与聚丙烯共混物的剪切流变性能[J]. 纺织学报, 2015, 36(08): 6-10.
Viewed
Full text


Abstract

Cited

  Shared   
  Discussed   
No Suggested Reading articles found!